
В современных человеческих популяциях уровень полученного образования обладает высокой наследуемостью, то есть сильно зависит от генов. Выявлены десятки аллелей, влияющих на этот признак. При этом образование, как правило, отрицательно коррелирует с дарвиновской приспособленностью: образованные люди хуже размножаются. Это указывает на возможный отбор против «генов образования». Новое исследование, основанное на данных по 110 000 исландцев, родившихся между 1910 и 1975 годами, показало, что «гены образования» действительно подвергаются отрицательному отбору. Эти аллели, многие из которых коррелируют также с повышенным интеллектом, крепким здоровьем и долгой жизнью, снижают приспособленность независимо от того, реализовал ли человек обусловленную ими склонность к получению хорошего образования. Исследование подтвердило опасения о том, что эволюция современного человечества направлена в сторону ухудшения генетического базиса признаков, связанных с интеллектом. Социально-культурное развитие пока с лихвой компенсирует генетическую деградацию, но со временем ее последствия могут стать существенными.
Идею о том, что в современных человеческих популяциях эволюция направлена совсем не в ту сторону, в какую нам хотелось бы, впервые подробно изложил и обосновал величайший генетик-эволюционист XX века Рональд Фишер в заключительных главах своей знаменитой книги «Генетическая теория естественного отбора» (1930).
Исследования в этой области продвигались медленно, в том числе по причинам, не имеющим отношения к науке. Тем не менее к настоящему времени накопилось немало данных, косвенно подтверждающих, что генетический базис признаков, связанных с физическим и умственным здоровьем, постепенно размывается и деградирует, особенно у жителей развитых стран. Генетики обсуждают два основных механизма такой деградации (см.: M. A. Woodley of Menie, 2015. How fragile is our intellect? Estimating losses in general intelligence due to both selection and mutation accumulation).
Первый механизм — ослабление очищающего отбора против мутаций, нарушающих работу тех или иных органов и систем организма, в том числе иммунной системы и мозга. Раньше такие мутации снижали приспособленность (их носители оставляли в среднем меньше потомства) и поэтому вычищались отбором. Однако развитие медицины, социального обеспечения и других благ цивилизации сделало эти мутации менее вредными в эволюционном смысле. Или даже вовсе безвредными (нейтральными). Поэтому они стали свободно накапливаться в генофонде. Развитие и работа коры головного мозга зависят от слаженной работы огромного количества генов, что делает наши когнитивные способности особенно уязвимыми для мутационной деградации (G. R. Crabtree, 2013. Our fragile intellect).
Второй механизм — отрицательный отбор по признакам, помогающим (или помогавшим в прошлом) добиваться успеха в жизни. Раньше такие признаки повышали дарвиновскую приспособленность, а в современном обществе, возможно, стали ее снижать — например, в силу того, что талантливые, образованные и экономически успешные люди стали откладывать рождение детей «на потом». Так, есть данные, согласно которым в США и других странах люди с высокими показателями интеллекта оставляют меньше потомства (R. Lynn, 1999. New evidence for dysgenic fertility for intelligence in the United States). Есть также основания предполагать, что в развитых странах после промышленной революции направленность отбора по признакам, связанным с социальным и экономическим успехом, сменилась на противоположную. Скажем, если раньше умелый сапожник и сметливый торговец оставляли больше потомства, чем их криворукие и бестолковые конкуренты, то начиная с XIX века всё стало наоборот (V. Skirbekk, 2008. Fertility trends by social status).
Впрочем, до сих пор в распоряжении ученых были в основном лишь косвенные свидетельства генетической деградации человечества. Не хватало прямых доказательств того, что гены, способствующие развитию ценимых нами психологических и когнитивных признаков, действительно подвержены отрицательному отбору, и что этот отбор эффективен (то есть ведет к снижению частоты встречаемости соответствующих аллелей). И вот благодаря развитию методов сравнительной геномики и созданию больших баз данных по медицинской генетике такие доказательства, наконец, появились, с чем нас всех можно поздравить.
Исландские генетики изучили связь между генами, влияющими на уровень образования, и дарвиновской приспособленностью на примере выборки, включающей значительную часть (примерно половину) всех исландцев, родившихся с 1910 по 1975 год.
Уровень полученного образования, измеряемый числом лет, потраченных на учебу (educational attainment, EA) — удобный для изучения фенотипический признак, который, по-видимому, тесно связан с когнитивными способностями и такими чертами психики, которые мы обычно считаем достоинствами (целеустремленность, тяга к знаниям, способность планировать свою жизнь, открытость новому опыту). Надежно установлено, что EA в современных человеческих популяциях имеет высокую наследуемость. Различия между людьми по уровню образования как минимум на 30–40% объясняются генами (остальные 60–70% — результат различающихся условий среды и онтогенетического шума, см.: Developmental noise).
Недавно на выборке из 20 000 американцев впервые удалось показать, что генетический базис EA подвергается отрицательному отбору (J. P. Beauchamp, 2016. Genetic evidence for natural selection in humans in the contemporary United States). Новая работа исландских генетиков не только подтвердила этот вывод на более представительной выборке, но и показала реальное снижение частоты встречаемости аллелей, способствующих высокому EA, в течение XX века.
Обсуждаемая работа во многом основывается на исследовании 2016 года, в котором анализировалась выборка, включающая 293 724 лиц европейского происхождения. Анализ этой выборки позволил выявить 74 конкретных участка генома (локуса), достоверно влияющих на уровень образования (подробнее см. в новости Уровень полученного образования отчасти зависит от генов, «Элементы», 16.05.2016). Данные, собранные в ходе этой работы, исландские генетики использовали, чтобы вывести формулу для вычисления комплексного показателя генетической предрасположенности к получению образования — educational attainment polygenic score (POLYEDU). Этот показатель с точностью, зависящей от размера использованной выборки, отражает совместный вклад множества генов (в идеале — всех генов генома) в предрасположенность данного человека к получению образования. Показатель POLYEDU складывается из индивидуальных «весов», которые были рассчитаны для каждого из 620 000 генетических маркеров (полиморфных локусов) в зависимости от того, как аллельные варианты каждого из этих локусов соотносятся с EA. Если наличие аллеля ассоциировано с немного повышенным средним EA, аллелю придается небольшой положительный вес, и т. д. Авторы перепробовали несколько способов вычисления POLYEDU и убедились, что методические тонкости (например, способы обхода статистических проблем, связанных с неравновесным сцеплением) слабо влияют на итоговые результаты.
Чтобы избежать лишних трудностей при интерпретации результатов, при разработке формулы для POLYEDU из исходной выборки в 293 724 человек были исключены все исландцы, которые туда входили (49 970 человек), а вместо них добавили 111 349 человек из базы данных UK Biobank. Увеличение выборки привело к тому, что индивидуальных локусов, достоверно коррелирующих с EA, стало уже не 74, а 120.
Показатель POLYEDU, вычисляемый по полученной формуле, позволяет объяснить 3,74% вариабельности по EA. Иными словами, этот показатель характеризует примерно одну десятую часть всего генетического базиса EA (поскольку весь генетический базис объясняет 30–40% вариабельности). Если же формулу для POLYEDU вывести на основе меньшей выборки — без учета данных из UK Biobank, — то получившийся показатель будет объяснять лишь 2,52% вариабельности. По-видимому, для того чтобы рассчитать вес каждого аллеля еще точнее — так, чтобы итоговый показатель объяснял большую часть генетически обусловленной вариабельности по EA, — нужны данные не по сотням тысяч, а по миллионам людей. Показатель POLYEDU откалибровали таким образом, чтобы его среднее значение равнялось нулю, а стандартное отклонение — единице, и затем измеряли его в этих «стандартных единицах».
По полученной формуле авторы вычислили POLYEDU для 109 120 генотипированных (см.: Genotyping) исландцев, родившихся c 1910 по 1975 год. Индивидуальные значения POLYEDU были сопоставлены с тремя репродуктивными показателями:
1) общим количеством потомков, оставленных человеком за всю жизнь (number of children, NC), не считая умерших во младенчестве (этот показатель близок по смыслу к дарвиновской приспособленности);
2) возрастом родителя в момент рождения первого ребенка (age at first child, AGFC);
3) средним возрастом родителя при рождении потомства (average age at child birth, AACB).
Результаты анализа приведены на рис. 1.

Рис. 1. Таблица, показывающая корреляцию между POLYEDU и тремя репродуктивными показателями. Значения в столбце «Effect» означают, что увеличение POLYEDU на единицу сопровождается изменением данного признака на указанную величину. Число детей (NC) измеряется в штуках, возраст (AGFC, AACB) — в годах. Таким образом, таблица показывает, что у женщин увеличение POLYEDU на единицу соответствует уменьшению количества детей на 0,084, увеличению возраста рождения первого ребенка на 0,59 лет, а среднего возраста деторождения — на 0,46 лет. Соответствующие значения для мужчин: −0,054, 0,44 и 0,37. Из обсуждаемой статьи в PNAS
Оказалось, что гены, способствующие высокому уровню образования, достоверно снижают репродуктивный успех у обоих полов. Кроме того, они способствуют сдвигу начала репродукции на более поздний возраст. Все эффекты обладают высоким уровнем статистической значимости, но у женщин они выражены сильнее, чем у мужчин. При этом AGFC увеличивается с ростом POLYEDU сильнее, чем AACB. Это позволяет предположить (а дополнительные расчеты подтвердили это предположение), что «гены образования» снижают плодовитость в основном за счет того, что рождение первого ребенка сдвигается на более поздний возраст (я использую некорректный термин «гены образования», чтобы не писать каждый раз длинные формулировки типа «комплекс аллелей, наличие которых положительно коррелирует с повышенным уровнем образования»).
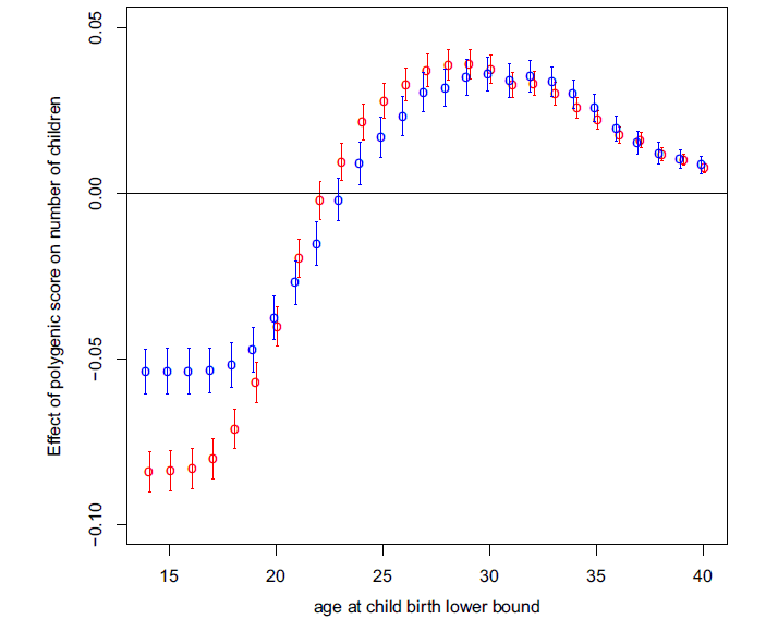
Результаты более детального анализа влияния POLYEDU на плодовитость в зависимости от возраста родителей показаны на рис. 2. «Гены образования» резко снижают раннюю плодовитость, тогда как на деторождение в позднем возрасте они влияют положительно. Ранний отрицательный эффект сильно перевешивает поздний положительный, так что итоговое число детей оказывается существенно ниже у людей с высоким POLYEDU. График на рис. 2 устроен таким образом, что он возрастает до тех пор, пока люди с низким POLYEDU рожают больше детей, чем люди с высоким POLYEDU. Таким образом, перелом происходит в возрасте около 30 лет, когда график достигает максимума. Вплоть до этого возраста лучше размножаются люди с низкими значениями POLYEDU После 30 лет обладатели высокого POLYEDU немного сокращают разрыв по числу детей, но догнать соперников уже не могут. Общая оценка влияния POLYEDU на приспособленность (число детей за всю жизнь) соответствует двум левым значениям на графике (−0,084 для женщин и −0,054 для мужчин). Это те же самые значения, которые приведены и в таблице на рис. 1.

Рис. 2. График, показывающий совокупное влияние «генов образования» (effect of polygenic score) на количество детей, рожденных в возрасте, показанном на горизонтальной оси, или позже. Красные значки соответствуют матерям, синие — отцам. Самые левые значения, соответствующие возрасту 14 лет, показывают влияние «генов образования» на общее число детей, рожденных за всю жизнь (14 лет — минимальный возраст деторождения в исследованной выборке). Эти значения соответствуют цифрам, приведенным в таблице (−0,084 для матерей и −0,054 для отцов) и представляют собой итоговую оценку влияния «генов образования» на дарвиновскую приспособленность. Самые правые значения показывают влияние «генов образования» на число детей, рожденных возрасте 40 лет и более. Рисунок из обсуждаемой статьи в PNAS
В данной работе авторы сосредоточились на совокупном влиянии множества генов, а не на роли отдельных аллелей. Индивидуальные вклады большинства генов в вариабельность по EA очень малы, поэтому для их изучения размер выборки должен быть больше. Но некоторые аллели авторы всё же отметили. Например, минорный (более редкий) вариант полиморфного локуса rs192818565 негативно влияет на EA. При этом он, по-видимому, подвергается положительному отбору, то есть повышает дарвиновскую приспособленность (существует ряд эффективных методов поиска следов положительного отбора в геномах). Известно также, что присутствие этого аллеля коррелирует с невротизмом и уменьшенным объемом черепной коробки. Как выяснилось, этот явно «плохой» аллель (кому же хочется быть невротиком с маленьким мозгом?) достоверно коррелирует с большим числом детей и ранним началом деторождения. Как справедливо отмечают авторы, «это поразительный пример генетического варианта, который ассоциирован с фенотипом, обычно рассматриваемым как неблагоприятный, и одновременно — с повышенной приспособленностью в эволюционном смысле».
Следующий вопрос, который авторы попытались решить, касается механизма влияния POLYEDU на приспособленность. Поскольку известно, что POLYEDU влияет на образование, а образование негативно сказывается на деторождении, то логично предположить, что отрицательное влияние POLYEDU на репродукцию целиком и полностью объясняется положительным влиянием POLYEDU на образование (EA). Чтобы проверить, так ли это, авторы провели совместный анализ влияния двух факторов (POLYEDU и EA) на репродуктивные показатели. Оказалось, что EA влияет на репродуктивный успех женщин примерно так же, как и POLYEDU, снижая общее число детей (на 0,045 за год обучения) и сдвигая начало репродукции на более поздний возраст (на 4,2 месяца за год обучения). Однако эффекты этих двух факторов нельзя свести друг к другу: они действуют в значительной степени независимо. Если рассчитать влияние POLYEDU на приспособленность с поправкой на EA, это влияние лишь слегка уменьшается, оставаясь высоко достоверным. Например, если взять только женщин, получивших 10-летнее образование (это обязательный минимум в Исландии), то внутри этой выборки мы увидим, что женщины с высоким POLYEDU родили меньше детей, чем женщины с низким POLYEDU, — несмотря на то, что уровень образования у всех одинаковый. Таким образом, гены, повышающие склонность к получению образования, снижают приспособленность независимо от того, реализовал человек эту склонность или нет. То же самое получается, если рассчитать влияние EA на приспособленность с поправкой на POLYEDU: образование снижает приспособленность независимо от того, насколько выражена у человека генетическая предрасположенность к образованию.
У мужчин негативное влияние POLYEDU на приспособленность тоже нельзя объяснить влиянием POLYEDU на образование. Более того, оказалось, что образование само по себе не снижает, а даже немного увеличивает репродуктивный успех мужчин! Каждый лишний год образования прибавляет исландскому мужчине в среднем по 0,011 ребенка. Таким образом, генетическая склонность к образованию снижает приспособленность мужчин вопреки тому, что образование само по себе повышает репродуктивный успех.
Из этого напрямую следует, что «гены образования», помимо своего влияния на EA, имеют и другие фенотипические эффекты, негативно сказывающиеся на приспособленности. Что же это за эффекты?
Авторы обнаружили, что POLYEDU положительно коррелирует с продолжительностью жизни, а также с целым рядом параметров, связанных с физическим здоровьем. В частности, люди с высоким POLYEDU имеют пониженный уровень триглицеридов в крови, реже страдают ожирением и меньше курят. Кроме того, POLYEDU положительно коррелирует с показателями интеллекта, такими как способность решать задачки из тестов на IQ. О положительной корреляции между интеллектом, образованием и долголетием «Элементы» рассказывали и раньше (см.: Умные и старательные дети живут дольше, «Элементы», 23.10.2008; Иммунный статус макак зависит от социального, «Элементы», 01.12.2016).
Отрицательное влияние физического здоровья на репродукцию представить себе довольно трудно. Скорее, дело тут в интеллекте. Например, можно предположить, что умные люди планируют свою жизнь и стараются не заводить детей слишком рано. Это самый простой и очевидный механизм, посредством которого интеллект может снижать приспособленность и способствовать естественному отбору на поглупение. Поскольку интеллект положительно коррелирует с физическим здоровьем, такой отбор может попутно делать нас более слабыми и болезненными.
Таким образом, исследование показало, что POLYEDU отрицательно коррелирует с дарвиновской приспособленностью. Это значит, что естественный отбор работает против «генов образования». Следовательно, частота встречаемости этих генов в генофонде популяции должна со временем снижаться. Авторы проверили это, сравнив средние значения POLYEDU у исландцев, рожденных в разные годы. Оказалось, что частота встречаемости «генов образования» действительно снижалась в течение всего исследованного отрезка времени. Это видно по неуклонному снижению среднего значения POLYEDU (рис. 3). Таким образом, отрицательный отбор по «генам образования» вполне эффективен: эти гены постепенно выбраковываются из генофонда. Наблюдаемая скорость снижения POLYEDU примерно совпадает с ожидаемой на основе данных по плодовитости, приведенных на рис. 1.

Рис. 3. Среднее значение POLYEDU у исландцев в зависимости от года рождения. Данные сгруппированы по декадам. Видно устойчивое снижение POLYEDU на протяжении большей части XX века. Рисунок из обсуждаемой статьи в PNAS
График на рис. 3 вроде бы показывает, что снижение POLYEDU постепенно замедляется (синяя линия на рисунке). Однако дополнительные расчеты показали, что это замедление — артефакт, связанный с тем, что люди с высоким POLYEDU живут в среднем дольше. По мере старения когорты среднее значение POLYEDU в ней повышается из-за избирательной смертности людей с низким POLYEDU. На молодые когорты это не должно сильно влиять, поэтому наиболее адекватное представление о динамике процесса, по-видимому, дает красная линия тренда на рис. 3.
Поскольку POLYEDU положительно коррелирует с IQ, отрицательный отбор по «генам образования» должен вести к поглупению популяции. Чтобы оценить масштаб поглупения, авторы сделали правдоподобное допущение: они предположили, что те влияющие на образование гены, чьи эффекты не учитываются показателем POLYEDU, влияют на приспособленность и IQ так же, как гены, чьи эффекты отражены в POLYEDU. В таком случае получается, что ухудшение генетического базиса IQ под действием отрицательного отбора по генам образования должно вести к снижению среднего IQ популяции на 0,3 балла за десятилетие. Если такой отбор будет продолжаться несколько столетий подряд, последствия будут весьма ощутимыми.
Правда, реальные показатели интеллекта людей в настоящее время растут за счет социально-культурных факторов (см. Эффект Флинна). Средняя скорость этого роста с 1932 по 1978 год составила 3,0 балла за десятилетие, что с лихвой перекрывает предполагаемую генетическую деградацию. Но эффект Флинна не имеет отношения к «генам интеллекта» и к биологической эволюции: наблюдаемый рост идет слишком быстро, чтобы пытаться связать его с эволюционной генетикой. Он отражает социальные и культурные процессы, способствующие более полному раскрытию врожденных способностей к интеллектуальному росту. Сами же эти способности, к сожалению, деградируют. Читателям, которые будут утешать себя тем, что всё это касается только исландцев, я бы посоветовал почитать статьи, ссылки на которые приведены в конце новости, и подумать еще раз. Картина, к сожалению, складывается вполне целостная и убедительная.
Мы не знаем, как долго будет работать эффект Флинна, но вряд ли стоит на него рассчитывать в долгосрочной перспективе. Есть данные, указывающие на ослабление и даже полное исчезновение эффекта Флинна в некоторых популяциях начиная с 1990-х годов. Впрочем, мы не знаем и того, как долго будет продолжаться отрицательный отбор по образованию и интеллекту. Ведь в ходе антропогенеза те же самые гены, очевидно, подвергались положительному отбору, и никто не знает, как будет меняться направленность отбора в будущем.
Так или иначе, исследование убедительно показало, что опасения Рональда Фишера не были беспочвенными. Если тенденции, выявленные у исландцев, действуют и в других странах (а вероятность этого очень высока) и если всё это будет продолжаться еще несколько столетий, то генетическая деградация может стать для человечества серьезной проблемой. Чтобы ей противостоять, необходимо побыстрее развивать науку (пока еще есть кому). Разумеется (и к счастью), сегодня речь уже не может идти о варварских методах искусственного отбора, обсуждавшихся основоположниками евгеники. Но есть смысл думать о разработке высокотехнологичных, эффективных и гуманных методов коррекции неблагоприятных эволюционных тенденций. В том числе — методов, связанных с генной инженерией, генной терапией и отбором гамет или ранних эмбрионов.
Источник: Augustine Kong, Michael L. Frigge, Gudmar Thorleifsson, Hreinn Stefansson, Alexander I. Young, Florian Zink, Gudrun A. Jonsdottir, Aysu Okbay, Patrick Sulem, Gisli Masson, Daniel F. Gudbjartsson, Agnar Helgason, Gyda Bjornsdottir, Unnur Thorsteinsdottir, and Kari Stefansson. Selection against variants in the genome associated with educational attainment // PNAS. Published online before print January 17, 2017. DOI: 10.1073/pnas.1612113114.
См. также:
1) Фильм «Идиократия», который может стать реальностью.
2) Уровень полученного образования отчасти зависит от генов, «Элементы», 16.05.2016.
Несколько статей об ухудшении генетических характеристик, связанных с интеллектом:
1) Jonathan P. Beauchamp. Genetic evidence for natural selection in humans in the contemporary United States // PNAS. 2016. DOI: 10.1073/pnas.1600398113.
2) Michael A. Woodley of Menie. How fragile is our intellect? Estimating losses in general intelligence due to both selection and mutation accumulation // Personality and Individual Differences. 2015. V. 75. P. 80–84. DOI: 10.1016/j.paid.2014.10.047.
3) Gerald R. Crabtree. Our fragile intellect. Part I // Trends in Genetics. 2013.
4) Richard Lynn. New evidence for dysgenic fertility for intelligence in the United States // Social Biology. 1999. DOI: 10.1080/19485565.1999.9988992.
5) Vegard Skirbekk. Fertility trends by social status // Demographic Research. 2008. V. 18. P. 145–180. DOI: 10.4054/DemRes.2008.18.5.
целеустремленность, тяга к знаниям, способность планировать свою жизнь, открытость новому опытуне всегда коррелирует с "количеством лет потраченных на образование".




Фильм «Идиократия» изображает мир будущего, в котором из-за отрицательного отбора по интеллекту остались одни дураки. Исследование исландских генетиков показало, что у этой мрачной фантазии есть научные основания. Изображение с сайта adamsmith.org