Печатается по статье: arXiv:1010.5400 (см. также arXiv:1010.5400v1). Статья опубликована в книге «Gribov-80 Memorial Volume: Quantum Chromodynamics and Beyond». Singapore: World Scientific, 2011. P. 439–448. См. также: Физика. 2011. №1. С. 36–40.
Эта заметка представляет собой попытку просто объяснить, почему знаменитое соотношение E = mc2 неправильно выражает суть теории относительности Эйнштейна. Заметка в основном адресована школьным преподавателям, а часть её — тем университетским профессорам, которые позволяют себе говорить, что масса тела растёт с ростом его скорости или импульса, и тем самым вводят в заблуждение школьных преподавателей и их учеников.
Нравственное здоровье современного общества и его материальное благополучие невозможны без высокого статуса науки в стране. А это, в известной мере, определяется тем, насколько адекватно наука отражается в зеркале массовой культуры. Более двадцати лет я собираю артефакты массовой культуры (от открыток и футболок до научно-популярных статей и книг), посвященные «знаменитой формуле Эйнштейна».
Недавно друзья подарили мне кружку, которая называется Relativity Floxy Noxy mug. Если набрать эти четыре слова в поисковике компьютера, то можно рассмотреть кружку. Она в некотором смысле представляет собой квинтэссенцию моей коллекции, так как содержит основные научно-популярные штампы по этой теме. Поскольку эти штампы продолжают попадать в газеты и в учебники, я решил воспроизвести надписи на кружке и кратко объяснить, что в них неверно. Думаю, что получившаяся заметка может быть полезна многим.

На кружке имеются три колонки текста — направо от ручки (1), налево от ручки (2), напротив ручки (3).
Колонка 1.
In 1905 at the age of 26, Einstein proposed the Special Theory of Relativity, using the equation: E = mc2 where E = energy, m = mass, c = the speed of light.
Special relativity expresses the concept that matter and energy are really different forms of the same thing. Any mass has an associated energy and vice versa.
В 1905 г. 26-летний Эйнштейн предложил специальную теорию относительности, используя уравнение E = mc2, где E — энергия, m — масса, c — скорость света.
Специальная теория относительности выражает мысль, что материя и энергия являются, в сущности, различными формами одного и того же. Любая масса имеет связанную с ней энергию, и наоборот.
Колонка 2.
Albert Einstein’s SPECIAL Theory of RELATIVITY.
In the 1850’s it was calculated that light traveled at a fixed speed of 670 million mph. However, whatever speed we traveled at, we would never catch up with the speed of light. Einstein proposed that if the speed of light is always fixed, something else must give way i. e. mass must change. An object must get heavier as it approaches the speed of light. He concluded that energy and mass must be interrelated.
СПЕЦИАЛЬНАЯ теория ОТНОСИТЕЛЬНОСТИ Альберта Эйнштейна.
В 1850-х годах было вычислено, что свет движется с фиксированной скоростью 670 миллионов миль в час. Однако, как бы быстро мы ни двигались, догнать свет мы не можем. Эйнштейн предложил, что если скорость света всегда фиксирована, то что-то другое должно изменяться, а именно: должна изменяться масса. Предмет должен становиться тяжелее по мере того, как его скорость приближается к скорости света. Он заключил, что энергия и масса должны быть связаны друг с другом.
Колонка 3.
His formula suggested that tiny amounts of mass can be converted into huge amounts of energy... which revealed the secret of how stars shine and unlocked the key to atomic energy.
Его формула означала, что маленькие количества массы можно превратить в огромные количества энергии, что раскрыло секрет сияния звёзд и послужило ключом к атомной энергии.
Колонка 1. Как известно, в 1860–1870 гг. Максвелл объединил оптику с физикой электрических и магнитных явлений, открыв уравнения, описывающие не только статическое, но и движущееся в вакууме со скоростью света электромагнитное поле.
В 1880–1890 гг. ряд физиков, обнаружив, что уравнения Максвелла не согласуются с уравнениями механики Ньютона, попытались сохранить уравнения Ньютона и при скоростях, сравнимых со скоростью света, запрятав всё новое в гипотезу о том, что масса тела растёт с ростом его скорости. Эти попытки продолжались и в ХХ в.; они кратко описаны в статьях [1 , 2]. Однако довольно скоро выяснилось, что так можно поступить не со всеми уравнениями Ньютона; например, так нельзя поступить со знаменитым уравнением F = ma, где F — сила, а a — ускорение. Оказалось, что надо изменить сами уравнения механики Ньютона, сохранив при этом независимость массы от скорости, но установив новую, очень важную связь массы и энергии. Заметим, что связь силы с импульсом при этом сохранилась: F = dp/dt, но связь импульса co скоростью p = mv стала, как мы увидим, иной. Всё это сопровождалось изменением языка и философии физики.
Летом 1905 г. Эйнштейн опубликовал детальную статью [3], в которой предложил теорию, вскоре названую теорией относительности Эйнштейна, поскольку в ней на электромагнит-
ные явления был распространён принцип относительности Галилея–Ньютона. Согласно этому принципу, никакими опытами внутри замкнутого пространства (например, каюты корабля) невозможно выяснить, движется ли оно прямолинейно и равномерно или покоится. Затем эту теорию распространили и на только что открытые ядерные явления, и за ней закрепилось название специальная теория относительности (СТО). По существу, СТО — это теория движения и взаимодействия быстрых частиц, скорость которых сравнима со скоростью света. Такие частицы стали называть релятивистскими. (В 1915 г. Эйнштейн предложил общую теорию относительности — ОТО, описывающую гравитационные явления. Но в этой заметке мы её касаться не будем.)
Осенью 1905 г. появилась короткая заметка Эйнштейна [4] о том, что масса тела есть мера содержащейся в нём энергии. В теории относительности полная энергия свободного тела E равна сумме его кинетической энергии, т. е. энергии движения тела как целого Ek и энергии, содержащейся в покоящемся теле, т. e. энергии покоя E0:
Разумеется, представление о свободном теле, изолированном от всех внешних воздействий, является идеализацией, абстракцией. Но абстракция лежит в основе научного метода и является исключительно плодотворной.
Осознание того, что любое покоящееся тело обладает энергией, было величайшим открытием ХХ в. Величина этой энергии выражается через массу тела m соотношением Эйнштейна:
(Именно в таком виде написал Эйнштейн уравнение (44) в лекциях «Сущность теории относительности» [5], прочитанных им в 1921 г., хотя понятие энергии покоя E0 появилось уже в заметке [4] 1905 г.)
Поскольку кинетическая энергия обычных окружающих нас тел даётся известной формулой механики Ньютона Ek = mv2/2 и поскольку скорость обычных тел v много меньше скорости света c, то их кинетическая энергия неизмеримо меньше их энергии покоя. Но в каждодневной жизни энергия покоя не проявляется. Эйнштейн сразу же заметил, что часть этой энергии выделяется при распаде радиоактивных ядер.
К сожалению, как в начале, так и на протяжении всего ХХ в., многие известные физики формулировали соотношение Эйнштейна в «упрощённом виде», опуская индекс «ноль» у энергии:
и трактуя это соотношение как возрастание массы с ростом не только энергии, но и импульса, и скорости тела.
Известно письмо 1948 г. Барнетту — автору книги «Вселенная доктора Эйнштейна», в котором Эйнштейн предупреждает о том, что не следует пользоваться понятием массы, зависящей от скорости (смотрите копию рукописи этого письма в [1]). Но временами, особенно в научно-популярных текстах, и он опускал индекс «ноль». По существу, семантическое завихрение в его творчестве возникло при столкновении двух языков —старого нерелятивистского и нового релятивистского.
Колонка 2. Утверждение о том, что свет всегда имеет фиксированную скорость 670 миллионов миль в час, — правильное, но утверждение, что это было вычислено в 1850-х гг., не вполне верное. Что скорость света конечна, а не бесконечна, выяснил в 1676 г. Рёмер, определивший её по наблюдениям спутника Юпитера. Из них следовало,что она составляет примерно 200 000 км/с. Первые и более точные измерения в земных условиях произвёл Физо в 1849 г. А то, что скорость 300 000 км/с с высокой точностью фиксирована, т. е. не зависит от скорости источника света и наблюдателя, обнаружили в 1887 г. Майкельсон и Морли.
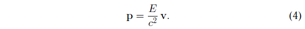
Заключение о том, что энергия и масса связаны друг с другом, несомненно правильное, поскольку E0 = mc2. А вот утверждение о том, что масса тела должна меняться вместе с его скоростью, заведомо неверное. В теории относительности, в отличие от механики Ньютона, мерой инерции является не масса тела m, а его полная энергия E, а импульс тела p связан с его скоростью v не соотношением Ньютона p = mv, а соотношением

В результате изменить импульс тела тем трудней, чем больше его энергия E. И только при нулевом импульсе, когда E = E0, т. е. когда полная энергия равна энергии покоя, только тогда E/c2 = m.
Прочувствовать, что именно энергия частицы является мерой её инерции можно на примере Большого электрон-позитронного коллайдера LEP, работавшего в ЦЕРН в последнее десятилетие ХХ в. В его кольцевом туннеле длиной 27 км электроны и позитроны с энергией около 50 ГэВ летели навстречу друг другу. Удерживались они в этом кольце довольно слабым полем железных магнитов, расположенных в туннеле. (Если бы не было поля, частицы летели бы по инерции по прямой линии.) Точно так же удерживало бы это поле и протоны с тем же импульсом и почти той же энергией, несмотря на то, что масса протона почти в 2000 раз больше массы электрона. В 2010 г. в том же туннеле заработал Большой адронный коллайдер (БАК, LHC). Чтобы удерживать в нём протоны с энергией 3500 ГэВ, понадобилось в 70 раз более сильное поле сверхпроводящих магнитов.
Итак, мерой инерции частицы является её полная энергия.
Колонка 3. Здесь всё правильно, если говорить о формуле E0 = mc2 и учесть, что в ядерных реакциях в звёздах, на Солнце и на Земле часть энергии покоя сгорающих частиц превращается в энергию движения продуктов горения. Это же, разумеется, относится и ко всем процессам горения.
Теперь я хотел бы сказать несколько слов тем, кто более или менее знаком с четырёхмерным математическим аппаратом теории относительности, введённым Минковским в 1908 г. [6].
В четырёхмерном мире (4-мире) Минковского временная координата события ct и 3-вектор его пространственного положения r образуют четырёхмерный вектор. Аналогичным образом энергия свободного (изолированного) тела E (более точно, E/c2) и три компоненты его импульса p (более точно, p/c) образуют четыре компоненты псевдоевклидова 4-вектора. Масса тела m представляет собой скаляр, равный длине этого 4-вектора:

(Слово «псевдоевклидовый» указывает на то, что квадрат длины 4-вектора равен не сумме, а разности квадратов его E- и p-компонент.)
Тейлор и Уилер в книге [8] откладывают величины энергии и импульса по ортогональным осям, а на гипотенузе прямоугольного треугольника откладывают величину массы с помощью утолщённого отрезка. Но можно просто изобразить соотношение (5) в виде прямоугольного треугольника, если переписать его в виде E2 = m2c4 + p2c2 (см. статью [7]). Тогда энергия — гипотенуза, а масса и импульс — катеты. Отсюда, в частности, следует, что
Основное соотношение специальной теории относительности (5) проверено в тысячах опытов с точностью до десятка значащих цифр. Из него, для тела, обладающего массой, при импульсе, равном нулю, следует формула E0 = mc2, где индекс «ноль» у энергии указывает на то, что E0 — это энергия не движущегося, а именно покоящегося тела. Если же переписать это же соотношение в виде (Ec−2 − m)(Ec−2 + m) = p2c−2, то при Ek « E0 без разложения квадратного корня получается ньютоновское Ek = p2/(2m). Аналогичным образом для релятивистских частиц получаем E − |p|c = mc2/(2E). (Это уравнение очень существенно при описании нейтринных осцилляций.) Из того же соотношения (5) и формулы (4) для скорости v = p c2/E следует, что скорость безмассового фотона при любой энергии равна c.
Так что специальная теория относительности безупречна, чего нельзя сказать о её популяризациях.
К сожалению, внезапная болезнь и смерть Минковского не позволили ему убедить его современников в преимуществахчетырёхмерного мира, и они продолжали «засовывать» содержание теории относительности в трёхмерные уравнения механики Ньютона. Хотя Эйнштейн использовал четырёхмерие при формулировке общей теории относительности как теории гравитационного взаимодействия, уравнения E2/c4 − p2/c2 = m2 в его собрании сочинений мне найти не удалось. Впервые оно появилось в статьях Клейна [9], Фока [10], Гордона [11] (1926) и особенно трудах Дирака [12] (1930), в которых была создана релятивистская квантовая механика. (Эйнштейн, несмотря на то, что он стоял у истоков понятия кванта, так и не принял квантовой механики.) И только позднее эта формула появилась не только в квантовой, но и в классической электродинамике, в учебнике «Теория поля» Л. Д. Ландау и Е. М. Лифшица в 1941 г. (на русском языке) [13].
Четырёхмерие позволило единым образом описывать как массивные, так и безмассовые частицы материи. Оно позволило понять, что масса и материя — это не одно и то же, что энергия и импульс — это меры всех процессов и всех движений в природе.
Что же касается массы частиц, то она становится несущественной в процессах при очень высоких энергиях E ≫ mc2.
Существование универсальной максимальной скорости c даёт возможность выражать любую скорость v в единицах c как безразмерное число β = v/c. При этом очевидно, что для самой c получается β = 1. Это позволяет вообще избавиться от буквы c в уравнениях теории относительности, записав уравнения (2), (4), (6) в виде
Уравнение же (3) E = mc2 сводится к E = m. Оно явно противоречит уравнению (1) E = Ek + E0 = Ek + m и, следовательно, неправильно.
В 1980-х гг. Володя Грибов, взгляды которого на E = mc2 полностью совпадали с моими, по-дружески советовал мне не бороться с этим неверным уравнением, так как победить его нельзя. C ощущением постоянного поражения писал я предыдущие строки для тома «Грибов-80» летом 2010 г. во время небывалой жары и смога в Москве, что не могло не ухудшить качество текста. Осенью, несколько недель тому назад, Юлия Нири напомнила мне, что этот текст является по существу продолжением того, что я опубликовал в томе «Грибов-75» [14]. Там я сравнил формулу E = mc2 с вирусом.
Действительно, понятие релятивистской массы, запрятанное в этой формуле, — это семантический вирус, очень похожий на компьютерные вирусы. Заражённые им люди (они часто называют себя релятивистами) убеждены, что Релятивистская Масса — это основной портал, ведущий в здание Теории Относительности. Они убеждены в этом, потому что считают массу мерой инерции. Они игнорируют тот факт, что масса является мерой инерции только для очень медленных тел и частиц, у которых энергия покоя E0 настолько больше, чем кинетическая энергия Ek, что кинетической энергией можно пренебречь. При не очень малых скоростях масса — это только приближённая мера инерции. Для быстрых же частиц (фотонов, нейтрино, протонов в Большом адронном коллайдере), для которых Ek ≫ mc2, мерой инерции является их энергия E.
Общеизвестно, что формулы в физике — это продолжение обычного языка: уравнения — это закодированные фразы, а символы, из которых состоят уравнения, заменяют обычные слова или термины. Чтобы не возникала путаница, каждый символ должен быть однозначно связан с соответствующим ему термином.
Можно ли ввести в теорию относительности понятие релятивистской массы? Безусловно, можно: mr =E/c2, хотя это будет просто другим обозначением энергии, поскольку c — универсальная константа.
Можно ли вслед за этим ввести понятие релятивистской массы покоя: mr0 = m? Безусловно, можно. Конечно, можно ввести и то, и другое; но незачем, потому что СТО и без mr, и без mr0 является законченной, самосогласованной теорией. А вот эту релятивистскую массу покоя mr0 обозначать символом m0 и называть её просто массой покоя уже нехорошо, так как это уже как бы подразумевает, что в СТО масса m зависит от скорости. А все мы прекрасно знаем, что в СТО m — лоренцевский инвариант: масса m одна и та же в покое и в движении, и навешивать на неё индексы бессмысленно.
Но настоящая беда возникает, когда mr называют массой и обозначают символом m, а обычную ньютоновскую массу m в СТО называют массой покоя и начинают обозначать m0. Это смешение двух языков («французского с нижегородским») уродует прекрасную теорию, приводит к невообразимой путанице, длящейся уже сто лет, препятствует пониманию сути СТО. А «релятивисты-философы» утверждают при этом, что ньютоновская механика якобы не является предельным случаем эйнштейновской и что эти две теории якобы несоизмеримы.
В результате обратного воздействия массовой культуры на научную литературу, в лучшем учебнике по физике ХХ в., вышедшем в 1960-х гг., — «Фейнмановских лекциях по физике» [15] во многих главах повторяется утверждение, что согласно теории относительности, масса растёт с ростом скорости. То же утверждает и маленькая популярная книжечка Ландау и Румера «Что такое теория относительности?» [16]. (Эта книга была написана в 1930-х гг., до ареста обоих авторов, а вышла из печати в 1950-х гг., после освобождения Румера из ссылки. Ландау пробыл в тюрьме год.) «Теория поля» Ландау и Лифшица [13], вышедшая из печати в 1940-х гг., была первым учебником в мире, в котором масса последовательно не зависела от скорости. Тем не менее, понятие энергии покоя и символ E0 в ней отсутствовали, а формула Эйнштейна была дана в форме E = mc2. Это несоответствие сохранилось даже в последнем издании книги, вышедшем в XXI в. Поистине, никто не совершенен. Не совершенен наш язык: «мысль изреченная есть ложь».
Невозможно в этой краткой заметке перечислить книги и статьи авторов, создавших теорию относительности, но их легко найти, если кликнуть гиперссылки [1, 2, 7, 14, 17, 18], приведённые ниже. Седьмая гиперссылка [ 19] содержит слайды доклада о том, что всё преподавание физики должно быть основано на двух фундаментальных константах природы: c и ħ. Оперируя этими двумя константами, я предполагаю изложить основы физики в маленькой книжечке «Азы физики» на ста страницах.
Благодарности. Я благодарен Эрике Гуляевой, Мареку Карлинеру, Эле и Виталию Кисиным, Дмитрию Надёжину, Борису Окуню и Зурабу Силагадзе, общение с ними помогло мне написать эту заметку.
Работа поддержана грантом Президента РФ НШ-4172.2010.2.
1. Okun L.B. The concept of mass // Physics Today. June 1989. P. 31–36. 
URL: http://www.itep.ru/theor/persons/lab180/okun/em_3.pdf      
2. Окунь Л. Б. Формула Эйнштейна: E0 = mc2. «Не смеётся ли Господь Бог?» // УФН. 2008. Т. 178, №5. С. 541–555.
URL: http://ufn.ru/ufn08/ufn08_5/Russian/r085g.pdf
3. Einstein A. Zur Electrodynamik bewegter K¨orper // Ann. Phys. 1905. Bd. 17. S. 891–921. Русск. пер.: К электродинамике движущихся тел // Собр. науч. трудов. — М.: Наука, 1965. — Т. 1. — С. 7.
4. Einstein A. Ist die Tr¨agheit eines K¨orpers von seinem Energieinhalt abh¨anging? // Ann. Phys. 1905. №18. S. 639–641. Русск. пер.: Зависит ли инерция тела от содержащейся в нём энергии? // Собр. науч. трудов. — М.: Наука, 1965. — Т. 1. — С. 36.
5. Einstein A. Four lectures on the theory of relativity held at Princeton University in May 1921 // Collected papers of Albert Einstein. V. 7, doc. 71. — Princeton, 1997. Русск. пер.: Сущность теории относительности // Собр. науч. трудов. — М.: Наука, 1965. — Т. 2. — С. 5.
6. Minkowski H. Raum und Zeit // Phys. Zeit. 1909. Bd. 10. S. 104–111. Русск. пер.: Пространство и время // УФН. 1959. Т. 69. С. 303–320.
7. Окунь Л. Б. Теория относительности и теорема Пифагора // УФН. 2008. Т. 178, №6. С. 647–653.
URL: http://ufn.ru/ufn08/ufn08_6/Russian/r086j.pdf
8. Taylor E. F., Wheeler J.A. Spacetime physics. — N.Y., 1992. — (P. 246–252 Dialog: Use and Abuse of the concept of mass).
9. Klein O. Quantum Theorie und f ¨unfdimensionale Relativit¨atstheorie// Zeit. f ¨ur Physik. 1926. Bd. 37. S. 895–906.
10. Fock V. ¨Uber die invarianten Form der Wellenund der Bewegungsgleichungenf ¨ur einen geladenen Massenpunkt // Zeit f ¨ur Physik. 1926. V. 39. P. 226–232. Русск. пер.: Об инвариантной форме волновых уравнений и уравнений движения заряженной точечной массы // УФН. 2010. Т. 180. С. 874–877.
11. Gordon W. Der Compton Effect nach der Schr¨odingerschen Theorie // Zeit. f ¨ur Physik. 1926. Bd. 40. S. 117–133.
12. Dirac P.A.M. The principles of quantum mechanics. 1930. Русск. пер.: Принципы квантовой механики. — М.: Наука, 1979.
13. Ландау Л.Д., Лифшиц E.M. Теория поля. — М., 1941.
14. Okun L.B. The virus of relativistic mass in the year of physics in Gribov memorial volume (quarks, hadrons and strong interactions)/ Eds.: Yu. L.Dokshitzer, P. Levai, J.Nyiri. WS. 2006. P. 470–473. http://www.itep.ru/theor/persons/lab180/okun/em_22.pdf
15. Feynman R. P., Leighton R. B., Sands M. The Feynman lectures on physics. — Addison-Wesley, 1963. Русск. пер.: Фейнмановские лекции по физике. — М.: УРСС, 2004.
16. Ландау Л.Д., Румер Ю. Б. Что такое теория относительности? — М.: Сов. Россия, 1959.
17. Okun L.B. Energy and Mass in Relativity Theory. — World Scientific, 2009.
URL: http://www.worldscibooks.com/physics/6833.html
18. Okun L.B. Mass versus relativistic and rest masses // Am. J. Phys. 2009. V. 77(5). P. 430–431.
http://www.itep.ru/theor/persons/lab180/okun/doc/AJP000430.pdf 
19. Основные понятия и законы физики и свойства элементарных частиц материи: Доклад на Президиуме РАН 27.10.2009 (сайт ОФН РАН).
URL: http://www.elementy.ru/lib/432007