Петя с Женей пошли в школу, и наши занятия переехали с утреннего времени на вечернее.
18 октября 1982 года (понедельник). 1630–1730 (1 час). Дима, Петя, Женя.
Открытие учебного года: мы с Димой подарили Пете и Жене по комплекту фломастеров и открытку «Поздравляем с началом учебного года».
Задание 1. Сказка. Я рассказал детям сказку об очень умном юноше, которого полюбила прекрасная принцесса. Чтобы принцесса не вышла за него замуж, король решил казнить юношу. Но, вняв мольбам принцессы, он объявил: «Ты будешь тащить жребий. Я положу в эту чашу две бумажки; на одной будет написано ЖИЗНЬ, а на другой СМЕРТЬ. Какую бумажку ты вытащишь, так и решится твоя судьба». Однако в душе король задумал коварство: он велел своему министру написать на обеих бумажках одно и то же слово СМЕРТЬ. Принцесса подслушала их разговор и сумела предупредить юношу.
— Как вы думаете, ребята, — спросил я, — что должен сделать юноша?
В ответ мальчики лишь пожимали плечами. Потом Дима предложил:
— Он мог сказать, что там неправильные бумажки.
Я объяснил последствия такого действия (ему всё равно в одном случае из двух грозит смерть).
[Надо было добавить, что и принцессу могли сильно наказать, а он её любил и не хотел этого.]
Тогда я продолжал триумфальным голосом:
— Но я ведь вам сказал, что это был очень умный юноша! Он сказал: «Я вытаскиваю вот эту бумажку!» — и с этими словами достал одну бумажку... — и съел!
Мальчики смотрели на меня широко раскрыв глаза: как же это можно — съесть бумагу? Они явно не понимали, к чему идёт дело. Я продолжал повествовать:
— Тогда все закричали: «Но как же мы теперь узнаем, что было написано на той бумажке, которую ты съел?». А юноша улыбнулся и ответил: «Но ведь осталась вторая бумажка! Можно посмотреть, что написано на ней!» Посмотрели — а на ней написано СМЕРТЬ. Значит, на той, что вытащил юноша, должно было быть написано ЖИЗНЬ. Королю было стыдно признаваться в своём коварстве — и юноша был спасён!
Мне это решение не показалось лучше тех, которые предлагали мы. — Дима.
Такой поворот дел произвёл на ребят сильное впечатление: они долго смотрели на меня круглыми глазами. (А вечером Петя задавал эту задачу родителям.)
Задание 2. Перепутанные надписи. В трёх коробочках лежат спички, кнопки и скрепки. На них имеются также надписи: СПИЧКИ, КНОПКИ и СКРЕПКИ. Но ни одна из надписей не соответствует содержимому. Разрешается открыть всего одну коробку, и при этом требуется узнать содержимое всех трёх коробок.
Сначала, так же, как и в предыдущем задании, дети лишь вяло пожимали плечами. Вообще по всему видно, что они за лето совершенно разучились шевелить мозгами. Как-то мне всё-таки удалось разбудить их активность, и в итоге Женя первый решил задачу, хотя и не очень толково объяснил. После этого я, меняя по-разному содержимое и расположение коробок, задал ту же задачу 6 раз (по два раза каждому).

Вечером Дима целый час занимался тем, что корябал какие-то надписи на коробках — придумывал задачу для меня. В итоге родилось нечто даже занятное. В коробках лежали: в одной — кнопки и скрепки, в другой — кнопки и спички, в третьей — скрепки и спички. Надписи же были такие: КНОПКИ И СКРЕПКИ, опять КНОПКИ И СКРЕПКИ, и КНОПКИ И СПИЧКИ. Дальше условие то же: все надписи неправильные, и заглядывать разрешается лишь в одну коробку. Специфика этой задачи в том, что набор «кнопки и скрепки» может лежать только в коробке с надписью КНОПКИ И СПИЧКИ, так как в двух других коробках он лежать не может. Так что в эту коробку и заглядывать нет смысла, про нее все известно заранее, а заглядывать нужно в одну из двух коробок с одинаковыми надписями. В моей задаче все коробки были равноправны: ни про какую из них её содержание не было известно заранее, но и заглядывать можно было в любую. Может быть, дать эту задачу детям на следующем занятии?
Задание 3. Подобие. Каждый получил лист клетчатой бумаги и карандаш. Я рисовал им разные фигурки на бумаге, а они должны были нарисовать фигурку вдвое большую — как на рис. 88.
Дима справился со всеми заданиями без ошибок, только иногда его фигурки (удвоенные) налезали на мои исходные, так как он не мог рассчитать необходимое место. Женя тоже с этой задачей справлялся неплохо — хоть и делал ошибки, но когда я ему их показывал, он их сам исправлял. А у Пети эта задача почему-то совсем не пошла: он всё делал неверно, указанные мной ошибки сам исправить не мог. Я ему объяснял, как делать, и даже Наташа ему помогала, но без особого успеха.
В следующий раз договорились эту задачу продолжить.
Задание 4. Игра в 15. Я подробно и обстоятельно объяснил правила игры, после чего раздал ребятам три игры с одинаковым начальным условием и устроил нечто вроде соревнования (хотя ребятам сказал, чтобы они не спешили обгонять друг друга). Всем троим я слегка помогал в трудные моменты.

Рис. 89. Передвигая плашки по одной, перевести начальную позицию в конечную.
Игра в 15 — классическая математическая головоломка, изобретённая Сэмом Лойдом в 70-х годах XIX века. На квадратном поле размера 4 × 4 расположены 15 квадратных плашек с написанными на них числами от 1 до 15. Одно поле остаётся пустым. Разрешается передвигать на пустое поле любую из соседних плашек. Цель игры — перевести все плашки в стандартное положение (рис. 89). Нужно иметь в виду, что цель игры достижима ровно для половины начальных позиций; для другой половины сделать это невозможно.
Первым закончил Петя, вторым Женя. Дима работал хорошо, но он с самого начала невнимательно вгляделся в то, какая позиция является целью. Он первым выстроил строку, но когда я посмотрел на его игру, то увидел, что эта строка стоит не вверху, а внизу:

Я ещё раз объяснил ему условие задачи и через некоторое время обнаружил вот такую «змейку»:

Пришлось ему ещё раз переделывать своё решение. От моей помощи он отказался и закончил всё тогда, когда Женя с Петей уже ушли домой.
1 ноября 1982 года (понедельник). 1700–1800 (1 час). Дима, Петя, Женя.
(1) Диме, Пете и Жене дали два мяча и лопату. Что у кого было, если у Димы и Жени были одинаковые предметы?
(2) Тем же дали два карандаша и авторучку, причём у Димы и Пети были разные предметы.
(3) Нам четверым дали три машины и барабан, причём у Димы и Пети были одинаковые предметы, а у Пети и Жени — разные.
(Во втором случае ответ неоднозначный.)
Задание 2. Димина задача. Дал задачу, придуманную Димой — см. предыдущее занятие, п. 3. Пошла довольно плохо, так как никто из детей не мог толком запомнить всех трёх комбинаций по два предмета.

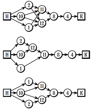
Рис. 90. В каком порядке можно устанавливать части этой конструкции?
Задание 3. Удвоение фигуры (гомотетия). Петя наконец освоил гомотетию и к концу удваивал довольно сложные фигурки совсем без ошибок. Дима, наоборот, сначала совсем не делал ошибок, а потом стал работать неаккуратно, так что нельзя было разобрать, есть в его рисунке ошибки или нет. Женя, как и в прошлый раз, в целом выполнял задание хорошо, хотя иногда и ошибался.
Ребятам очень нравилось задание, и они не хотели его прекращать, вынудив меня дать каждому на две фигурки больше, чем я намеревался.
Задание 4. Сетевые графики. Не знаю, как правильно назвать это задание. Термин «сетевые графики» заимствован из теории исследования операций; однако в появившемся позже учебнике «Алгоритмика»1 мы соответствующую главу назвали «Параллельное программирование». В самом деле, ведь речь здесь идёт о «работах», которые иногда можно исполнять параллельно. Класс задач о «директоре строительства» (ещё одно название) оказался необычайно богат разнообразными идеями; в этом дневнике из них используется лишь малая часть.
Я взял несколько предметов из Диминого деревянного конструктора и на каждом фломастером написал номер. Каждый из мальчиков был назначен директором строительства. Сначала мы построили очень простой объект (рис. 90).

Рис. 91. «Сетевой график» исполнения работ при строительстве конструкции, показанной на рис. 90. Буквы Н и К означают «начало» и «конец».
Мы подробно обсудили, в каком порядке можно ставить детали, и в итоге изобразили этот порядок в виде схемы, показанной на рис. 91. (На более учёном языке речь идёт о частичном порядке и о его возможных линейных продолжениях.) Надо сказать, что вопрос о порядке работ был детям вполне понятен, а вот позаимствованная мной из теории исследования операций форма представления ответа в виде ориентированного графа оказалась не очень удачной. Это надо обдумать.
Я подробно объяснил ребятам смысл параллельности работ 1 и 2 (их можно строить в любом порядке независимо друг от друга, а можно и одновременно, если есть две бригады; зато работу 4 можно делать только после того, как закончены работы 1 и 2). Каждый из мальчиков получил лист бумаги и фломастер. Дальнейшая работа происходила так: я строил сооружение, ребята самостоятельно рисовали графики, потом мы каждый график обсуждали, после чего рисовался окончательный проект. Сооружения, использованные в данном занятии, а также соответствующие сетевые графики показаны на рис. 92.

Рис. 92. Три конструкции и соответствующие им планы строительства.
15 ноября 1982 года (понедельник). 1730–1830 (1 час). Дима, Петя, Женя.
Задание 1. Устные вопросы на транзитивность.
(1) Коля бутее, чем Вася, а Вася бутее, чем Таня. Кто бутее всех? Ответил правильно Дима, но и он, и остальные мальчики долго приставали ко мне, что значит «бутее».
(2) Гобр согже, чем Вурм, а Вурм согже, чем Ступ. Кто согже всех? Тоже ответил Дима.
Мне пришлось несколько раз переспросить, чтобы запомнить все имена и слово «согже». — Дима.
(3) Толя сильнее, чем Миша. Миша младше, чем Вова. Вова ниже, чем Толя. Толя старше, чем Вова. Вова слабее, чем Миша. Миша выше, чем Толя. Кто из ребят самый сильный, кто самый старший и кто самый высокий?
Мы написали на трёх бумажках инициалы трёх мальчиков: Т, М и В, и для каждого отдельного признака стали их раскладывать в порядке убывания этого признака. Я каждый раз читал весь текст целиком, а ребята должны были сами выбирать из моих фраз те, что относятся к делу.
Дима с задачей совершенно не справлялся: каждый раз забывал, какой именно признак мы сейчас упорядочиваем. В основном задачу вёл Петя, остальные двое только сбивали.
Задание 2. Фигурки на клетчатой бумаге. Сначала я дал, как и раньше, одну фигурку удвоить; все легко с этим справились. Тогда я велел ту же фигурку утроить. Дима справился с утроением так же легко, что и с удвоением. Женя допустил пару ошибок, но легко исправимых. Петя же, к моему удивлению, совершенно ничего не смог сделать. Это особенно странно потому, что удвоение он выполнял быстрее и лучше других.

Рис. 93. Разработать «план строительства» вот такой башни.
Это трудно сформулировать, но, видимо, дети как-то по-разному обучаются решать задачи. Похоже на то, что в данном случае Дима сумел понять логическую структуру задачи, а Петя вместо этого усвоил некую механическую последовательность действий, которая приводит к успеху, никак её не осмысляя. Более точно выразить мысль не могу. Я помню, однако, по своим школьным годам: я очень плохо понимал физику (и сейчас плохо её понимаю), но каким-то «чутьём отличника» угадывал, что и как нужно написать в контрольной, чтобы получить пятёрку.
Дальше я задал ребятам ту же фигурку положить на левый бок, положить на правый бок, затем вверх ногами. Потом было ещё одно задание: я нарисовал несимметричную фигурку и велел сначала отразить её в горизонтальном зеркале, а потом нарисовать вверх ногами — и сравнить результаты. Задача, как и следовало ожидать, далась не очень легко: мальчики не понимали, в чём разница между этими двумя действиями. После моих подсказок Дима первый справился с задачей, а остальные у него срисовали, но тоже всё поняли.
Немножко неудобно мне здесь чаще других хвалить Диму, но он и в самом деле занимается успешнее Пети и Жени (чего совершенно не скажешь, например, о кружке рисования или о занятиях английским).
Задание 3. Сетевые графики. Башня, которую требовалось построить, изображена на рис. 93.

Рис. 94. Первая схема принадлежит Жене, вторая — Пете, третья — Диме.
Все мальчики нарисовали схемы допустимые, т. е. не противоречащие логике расположения фигурок, но только Дима нарисовал схему оптимальную. Все три схемы показаны на рис. 94. Фактически изображения были несколько иными — из-за неудачного расположения цифр на рисунке, из-за не очень ясного рисунка, и, наконец, самое главное, из-за того, что не всегда дети умеют выразить рисунком логическое отношение. Приведённые рисунки появились после моего обсуждения с ребятами того, что нарисовали они. Следует обратить внимание на то, что Женино решение, требовало пересечения стрелок графа друг с другом; он не решился сделать такие пересечения, из-за чего получил неверный рисунок; однако устно он всё объяснил правильно и потом согласился с моим рисунком. Диму же пересечения не смутили и он нарисовал логически безупречную схему с пересекающимися стрелками. Только потом я ему подсказал, как расположить кружочки с цифрами, чтобы избежать пересечений. Характерна также позиция Пети: он понимал, что предложил не наилучшее решение, но думать более напряжённо ему, видимо, не хотелось. Зато он лучше других понимал «модальную логику» ситуации: по его схеме построить башню можно (схема не противоречит расположению фигурок), и поэтому он как «директор строительства» может приказать строить её так, а не иначе. Так он свою позицию и сформулировал.
Успеху Димы отчасти способствовало также то, что где-то посреди недели он по собственной инициативе построил какое-то строение и рисовал его схему.
Спирограф. Уже после окончания кружка мы увлеклись игрой «спирограф», которую принесла Наташа, и долго рисовали с её помощью разные эпи- и гипоциклоиды. Интересное предложение выдвинул Дима: катать не маленькое колесико вокруг большого, как это делали все, а большое вокруг маленького.
Спирограф — это набор зубчатых колесиков и колец разного диаметра. Их можно катать друг вокруг друга, а маленькие колесики можно также катать внутри больших колец. На разных расстояниях от центра в колесиках проделаны отверстия. В них можно вставлять карандаш и, закрепляя одно колесико и катая вокруг него другое, рисовать разные занимательные кривые (рис. 95).

Рис. 95. Спирограф и некоторые кривые, которые можно с его помощью нарисовать.
22 ноября 1982 года (понедельник). 1715–1800 (45 мин.). Дима, Петя, Женя.

Рис. 96. Набор фигурок пентамино.
Задание 1. Устные вопросы. Заменить одним словом выражение «сделать так, чтобы был...». Например:
сделать так, чтобы был дом = построить дом.
Другие примеры:
дерево – посадить,
свет – зажечь,
книга – написать,
суп – сварить,
картина – нарисовать,
порядок – навести,
задача – придумать,
яма – выкопать.

Рис. 97. Перевернув плашку вверх ногами, получаем ей симметричную. Поэтому при построении сложных фигур из пентамино можно использовать любую из них (но только одну).
Потом я предложил ребятам самим придумать примеры. Дима тут же выдал:
— Сделать так, чтобы была рыба.
И, увидев мой недоуменный взгляд,сам ответил:
— Я имел в виду — родить.
Дальше примеры перешли в ещё более опасную область. Петя сказал:
— Сделать так, чтобы был ребёнок.
Я поспешил сам решить эту задачу:
— Тоже родить, — и перевёл разговор в другую плоскость.
Задание 2. Пентамино. Задание состояло в том, чтобы сложить заданную фигуру из двух фигурок пентамино. Было сложено шесть фигурок, ещё две я показал сам.
Двенадцать фигурок пентамино показаны на рис. 96. Каждая из них состоит из пяти клеток. Задание, как правило, состоит в том, чтобы построить из них заданную фигуру (причём её разбиение на фигурки из набора не сообщается). Уровень таких задач варьируется от лёгких до необычайно трудных. В частности, выгрузив фигурки из прямоугольной коробки (встречаются коробки двух типов: 5 × 12 и 6 × 10), не так-то просто уложить их обратно.
Из рисунка видно, что не все фигурки обладают осевой симметрией. Их, однако, разрешается переворачивать вверх ногами, и таким образом получать вместо одной фигурки другую, ей симметричную (рис. 97).

Рис. 98. «Японский волчок». Здесь он показан неподвижным; а если его закрутить, он вскочит на ножку.
Задание 3. План комнаты. Каждый из ребят получил «комнату» — нарисованный на листе бумаги прямоугольник с «дверью». Кроме того, каждый получил вырезанные из перфокарт диван, секретер, пианино, стол, книжные полки и т. п. Все эти предметы надо было разместить в «комнате»-прямоуголь-нике так же, как они стоят в нашей реальной комнате. Ребята справились с заданием так быстро и легко, что мне пришлось на ходу придумывать им другое задание.
Я принёс каждому по листу бумаги и по фломастеру и попросил теперь план комнаты нарисовать. Трудно определить, справились они с заданием или нет: расположение предметов соответствовало истинному, но масштаб не соблюдался самым чудовищным образом, особенно у Димы, у которого пианино вышло меньше книжной полки. Вообще он работал очень небрежно, всё рисовал кривое, а на замечания реагировал смехом.
В заключение я показал Пете и Жене японский волчок, который вскакивает на ножку (он показан на рис. 98).
После занятия, когда все ушли, я показал Диме книгу С. В. Голомба «Полимино», и, в частности, показал три фигуры, про которые до сих пор неизвестно, можно ли их сложить из пентамино. Дима, не раздумывая, сказал:
— Сейчас попробую, — и принялся их складывать.
Потом он придумывал для меня задачи — складывал разные совершенно несимметричные фигуры (просил меня не подглядывать) и аккуратно их зарисовывал на клетчатой бумаге.

Рис. 99. Головоломка «пифагор»: квадрат разрезан на семь частей, и из этих частей надо складывать разные фигуры.
На этом месте в наших занятиях наступил перерыв более, чем на два месяца. Сначала у Димы была операция; потом он болел ветрянкой; потом Женя (наша) болела ветрянкой; потом наступил Новый год; потом мальчики ходили в театр Образцова и на разные ёлки, что заняло ещё два понедельника. Когда же, наконец, можно было начинать снова заниматься, я с ужасом обнаружил, что сошёл с накатанной колеи и вообще забыл, чем мы занимались и что такое наш кружок. В результате я за обычное время не успел подготовиться к занятию и вынужден был сам перенести его ещё на неделю. Отсюда я извлёк тот урок, что следует не давать себе поблажек и передышек и проводить занятия каждую неделю без пропусков, хотя бы даже на них было по два, а то и по одному человеку. Этому пониманию в особенности способствовало то, что заболела ветрянкой Саня (младшая сестра Пети), так что Петя попал в карантин, а потом ещё, может быть, заболеет и он сам... Так или иначе, Петино присутствие откладывается ещё минимум на месяц.

Рис. 100. Три способа построить из пентамино прямоугольник 3 × 5.
Дима за это время не стоял на месте. Особенно много во время болезни он занимался пентамино и «Пифагором».
Головоломка «пифагор» имеет множество версий и множество названий (часто её можно встретить под именем «танграм»). Квадрат либо прямоугольник разрезается на несколько частей, и потом из этих частей предлагается складывать разнообразные фигуры. На рис. 99 показан тот вариант, который был у нас.
По своему обыкновению, он не решал задачи, а придумывал. Но я применил неожиданный ход, который только сейчас осознал как ход (сейчас, когда пишу). Я ему стал подсказывать, какую задачу можно было бы придумать. Например:

Рис. 101. Прямоугольник 3 × 10. Заметьте, что он вовсе не составлен из двух прямоугольников 3 × 5, показанных на предыдущем рисунке — такое решение было бы слишком лёгким.
— А попробуй придумать задачу, в которой надо было бы сложить из пентамино квадрат 5 × 5.
— Как это?
Я объяснял, и он охотно «придумывал» такую задачу, не догадываясь, что на самом деле он её решает.
Я это понимал так, что я (с папиной помощью) придумываю задачи кому-то другому. — Дима.

Рис. 102. Три прямоугольника 4 × 5. Приложив к любому из них полоску 1 × 5, можно сделать квадрат 5 × 5.
Таким образом, он построил, в частности, серию прямоугольников 3 × 5, 4 × 4, 5 × 5, 6 × 5, 7 × 5, но продолжать дальше ему надоело. Некоторые из его построений показаны на рис. 100–103.
После этого наступил трудный педагогический момент: Дима твёрдо вознамерился свои задачи опубликовать.
Иначе непонятно, для кого же я их придумывал. — Дима.
— Тебе хочется, чтобы тебя хвалили за то, что твои задачи напечатали?
Он ответил:
— Но как же они могут меня хвалить? Ведь они меня не знают (т. е. не знакомы лично).

Рис. 103. Пара более экзотических фигурок.
Видимо, им руководили примерно такие соображения, что вот, мол, работа проделана, и теперь она пропадёт зазря, и кому-то придётся потом проделывать то же самое. Кроме того, по-видимому, публикация представляется ему делом простым и обыденным. В самом деле — на полках стоят книги, написанные дедушкой, мамины и папины переводы, книги Петиных родителей, книги Миши Шубина2 и т. п. — всё это люди, живущие в том же доме, с детьми которых он гуляет во дворе, занимается рисованием и проч. Может быть, ему так представляется, что обыденная жизнь всех людей из этого и состоит: люди чистят зубы, стелют постель, публикуют книги, гуляют с детьми, стирают бельё — всё в одном ряду.
Тут папа меня переоценил. Я тогда и понятия не имел обо всех этих книгах. Тем не менее я не видел никаких трудностей в публикации. — Дима. [Это не совсем точно. Я хорошо помню, как Дима показывал Алле одну из книг на полке и говорил:
— Мама, тут почему-то твоя фамилия написана.
Это была монография Диминого дедушки, Виктора Ноевича Ярхо, об Эсхиле. Видимо, Дима тогда не придал этому значения, а потом забыл. — А. 3.]
Забавно осознавать, насколько кардинально это отличается от моего детства. Для меня тогда писатели существовали в какой-то другой Вселенной, не имеющей контактов с нашей. Как-то раз на заводе в Витебске, где работала моя мама, была организована встреча с каким-то третьеразрядным писателем. В конце встречи он раздавал автографы. Мама подошла к нему и попросила подписать книжку для меня: «Мой сын — отличник». Вечером она принесла домой книжку с надписью: «Отличнику Саше Звонкину от автора». Я не мог поверить своим глазам. Настоящий писатель — и мне...!

Рис. 104. Фигурка, сделанная из набора «пифагор».
В конце концов я объяснил Диме, что бывают родители, которые любят хвастаться своими детьми, и я не хочу, чтобы про меня так подумали, а посему вот тебе журнал «Квант», и если ты найдёшь в нём адрес, то и пиши на здоровье, а я тебе ни в чём помогать не буду. Приём дешёвый, но успешный. Адреса он, конечно, не нашёл, но зато перелистал внимательно весь журнал, прочитал все заголовки, о многих меня расспросил и потом даже Алле говорил, какой интересный журнал.

Рис. 105. Эти фигуры кажутся одинаковыми, но на самом деле правая чуть шире, чем левая.
Потом он занялся «Пифагором» и тоже придумал парочку неплохих задач: они показаны на рис. 104–106. Про две похожих друг на друга фигурки рис. 105 он решил, что они одинаковы, что на самом деле не так. К набору прилагался вкладыш с приблизительно сотней фигур-задач, которые требовалось сложить. В основном это были зайчики, петушки да бычки, но некоторые из них вполне имели вид геометрических фигур, как у нас. Я стал искать Димины фигуры на вкладыше, но обнаружил только похожую на них фигуру № 87, которая при ближайшей проверке оказалась вообще невозможной. (Две фигурки из «пифагора» представляют собой маленькие треугольники; остальные можно разрезать либо на 2, либо на 4 таких же треугольника; всего таких треугольников получится 16 штук; фигура же № 87 требует 19 таких треугольников.) Этот вопрос мы с Димой обсудили.

Рис. 106. Ещё одна Димина задача для «Пифагора».
Я, по-моему, не понял. — Дима. [Ну естественно! Ведь моё объяснение требует понимания закона сохранения площади. Я так долго и упорно настаивал на том, что этого понимания пока нет, а как дошло до дела — т. е. до необходимости его «применения» — так обо всём и забыл. — А. 3.]
Ещё из его успехов можно упомянуть, что, когда мы были в гостях у одного знакомого, он успешно разделил (в уме, разумеется) 31 на 4, получив 7 3/4. Забавно, что обращаться с дробями, имеющими в знаменателе степень двойки, ему помогают ноты, он сам это признавал.
И ещё была очень смешная его попытка оценить количество возможных «алфавитов», т. е. перестановок из 33 букв; в его рассуждениях проявились какие-то зачатки комбинаторного мышления. Он считал, что букв 33 и мест 33, поэтому эти числа надо перемножить (перемножил он их неправильно). Но потом ещё вспомнил, что для второй буквы есть всего 32 возможности, и потому из произведения вычел единицу. Позже я объяснил ему про п!, а когда мы были у меня на работе, то даже стали вычислять 33! на калькуляторе «Искра», но добрались только до 18!, а дальше машинку зашкалило.
Кстати (всё время вспоминаю что-то ещё), в день ёлки для детей у нас на работе я устроил Диме и ещё одному мальчику чуть постарше небольшую экскурсию в наш ВЦ, а потом ребята ещё набили по одной перфокарте на перфораторе.
31 января 1983 года (понедельник). 1600–1700 (1 час). Дима, Женя.
Задание 1. Устные вопросы. Килограмм мяса варится два часа. Сколько будет вариться полкилограмма такого же мяса?
Дима:
— Час.
— Почему?
— То есть нет, тоже два часа.
— А ты, Женя, как думаешь? Дима продолжает:
— Я не знаю, может быть, всё-таки меньше, чем два часа. Потому что тепло быстрее проходит. Ведь его не разрезали?
— А если разрезали?
— Тогда одинаково.
К этому времени Женя проснулся и до него тоже дошло условие задачи. Он говорит:
— Час.
— Почему? Молчание.
— Ну хорошо, — говорю я, обращаясь к Жене. — Одна сосиска варится две минуты; сколько времени варится пять сосисок?
Женя (немного подумав):
— Пять.
— Почему пять?
— Но ведь сосисок больше!
— Во сколько раз больше?
— ...В три...
Начинаем восстанавливать условие задачи; вскоре с некоторым трудом Женя приходит к ответу «10 минут», причём сам объясняет, что варить надо по очереди.
Дима и Наташа наперебой пытаются объяснить ему решение. Он понимает, но как-то без озарения, без этого «Ах, да, ну конечно!..», а как-то скучно:
— Ну, две так две...
Вообще явно видно мощное отупляющее влияние школы3.Наташа сама признаёт, что Женя, пойдя в школу, сильно деградировал; да это видно и из приведённой сцены. А недавно Алла слышала, как Дима говорил Пете:
— А знаешь, мне папа рассказал такую смешную историю, как одному человеку надо было пройти 100 километров, а он прошёл 99 и сказал: «Ой, что-то далеко туда, пойду-ка я обратно».
На что Петя ответил:
— Ну да, ему ведь обратно 1 километр идти.
А Дима закричал:
— Ты что! Ему нужно 198 километров пройти!
Нечто аналогичное Аллины родственники рассказывают про нашего племянника Борю. До первого класса он свободно обращался с трёхзначными числами, а в начале первого класса легко справился с контрольной за четвёртый класс. К концу первого класса он уже владел только однозначными числами. А сейчас, в третьем классе, он уже совершенно разучился думать и, решая задачу, беспокоится лишь о том, к какому из имеющихся шаблонов её отнести. В скором будущем и нас всё это ждёт; я надеюсь на какое-то чудо с Димой (что он сохранится), но никаких оснований для такой надежды нет, кроме только моего сильного желания, чтобы это так было.
Пока же на кружке меня ожидают чисто практические трудности. Дима и раньше был слегка впереди Пети и Жени, а теперь он продвинулся вперёд, а они — назад.
Задание 2. Вероятностная игра. Каждый из нас (я тоже играл) бросал кубик три раза и из полученных очков составлял трёхзначное число. Делалось это так: первое выпавшее число становилось на выбор либо числом сотен, либо десятков, либо единиц — т. е. ставилось в одну из трёх клеточек небольшой планшетки, показанной на рис. 107, второе — в одну из оставшихся клеточек, третье — в последнюю пустую клеточку.

Рис. 107. Планшетка для вероятностной игры. Бросают игральный кубик, и выпавшее число ставят в одну из клеток; затем кубик бросают ещё раз, и выпавшее число ставят в другую клетку; то же повторяется и в третий раз. Выигрывает тот, чьё получившееся в результате трёхзначное число окажется наибольшим.
Выигрывал тот, у кого число получалось наибольшим. Дима первый придумал разумную стратегию: большие числа ставить в сотни. Тем не менее, из 9 партий 4 выиграл Женя, 3 — я и 2 — Дима. Женин успех частично объясняется тем, что он не очень аккуратно бросал кубик: держал его низко над столом пятёркой вверх, стараясь, чтобы он не кувыркался (шестёркой вверх то ли не догадался, то ли не решился).
[Хочется заметить, что нахождение настоящей оптимальной стратегии в этой игре — задача далеко не тривиальная; я её не смог рассчитать даже для двух игроков и для двузначных чисел (двух клеточек). В самом деле, задача, по крайней мере для второго игрока, не сводится к максимизации математического ожидания. Допустим, выпало 5; ставить ли его в первую клетку (десятки) или во вторую (единицы)? Ответ зависит от того, что стоит в 1-й клетке у 1-го игрока. Если там стоит 6, то, ставя 5 в 1-ю клетку, мы хотя и максимизируем своё математическое ожидание, но делаем вероятность выигрыша равной нулю, в то время как поставив её в другую клетку, мы могли бы ещё надеяться, что в следующий раз выпадет 6 и мы выиграем.
А первый игрок — должен ли он максимизировать своё математическое ожидание, или его наилучшим ответом на оптимальную стратегию второго игрока является какая-то другая стратегия? С ростом количества игроков ситуация усложняется ещё сильнее.]

Рис. 108. Один из этих рисунков лежит перед вами на столе; вам нужно нарисовать то, что видит человек, сидящий напротив вас.
Задание 3. Что видит человек, сидящий напротив? Я посадил Диму и Женю за столом напротив друг друга, и, кладя между ними по очереди 5 листов с рисунками, дал такое задание: Дима должен нарисовать то, что видит Женя, а Женя — то, что видит Дима. Картинки, которые я использовал, показаны на рис. 108.
Мальчики справились с заданием неплохо, по крайней мере лучше, чем я ожидал, хотя, конечно, были и ошибки. Естественно, это задание оказалось труднее другого, дававшегося ранее: нарисовать фигурку вверх ногами. Забавно вот что: Дима один раз схитрил — нарисовал фигурку как видит её он сам, а потом перевернул лист бумаги. Но даже и это не помогло ему догадаться, что задача эквивалентна переворачиванию фигуры.
Кроме геометрической идеи, содержащейся в этой задаче, в ней имеется ещё идея рефлексии («что знает другой?»). Я давно мечтаю придумать задачи на эту тему, но всё нет идей. Впрочем, сейчас родилась одна мысль: показывать карточки с числами одной стороной к одному игроку, другой к другому. Надо обдумать.
Картинки из книги Глейзера «История математики в школе»4 — изображение цифр и чисел в разные времена у разных народов. Я преследовал две цели. Во-первых, одним из моих замыслов, пока плохо осуществляемых, является подчёркивание семиотической функции математики, и, в частности, той идеи, что системы обозначений можно изобретать, что они могут быть разными для одного и того же и что они вообще существуют и важны. А вторая цель — по существу не цель, а так... просто я решил, что надо почаще показывать детям картинки из разных книг, сделав это традицией. Кроме общекультурного интереса, это решает и проблему утомления, которое неизбежно возникает к концу занятия.
7 февраля 1983 года (понедельник). 1700–1815 (1 час 15 мин.). Дима, Женя.
Задание 1. Расстановка стульев.Лист бумаги — это «комната», фишки — «стулья». Требуется расставить 4 стула так, чтобы у каждой стены стояло по 2 стула. Дима сказал:
— А Боря уже решал с нами эту задачу, — и расставил стулья по углам.
Я добавил 5-й стул (задание то же — должно быть по два стула у каждой стены). Ребята справились (один стул в углу надо заменить на два стула у двух стен, примыкающих к этому углу). Я добавил 6-й стул; тоже справились. Я добавил 7-й стул. Тут наступила заминка. Решения для пяти и шести стульев они не воспринимали как модификацию предшествующих решений, а как самостоятельные решения отдельных задач. Однако на них продолжала давить идея, что стулья надо ставить в углы. Для 7 стульев лишь один из них надо было поставить в угол; однако мальчики начинали с того, что ставили несколько стульев в углы — и вот всё дело стопорилось. После множества неудачных попыток они уж было совсем отчаялись, и я даже уже сказал, что это будет их домашним заданием, но тут Дима сделал последнюю попытку — и справился с задачей.
Тогда я добавил 8-й стул; эта задача тоже была решена (опять Димой). Я предложил ещё и 9-й стул; никто не выразил твёрдого убеждения, что это невозможно, но все согласились, что это, наверное, трудно.
Задание 2. Ребусы. Ребусы были примитивные, односложные:

Решение первой задачи я объяснил сам, а остальные три решили ребята.
Задание 3. Вероятностная игра. Игра та же, что в задании 2 предыдущего занятия, только тот, чьё число было самым большим, получал 3 очка, следующий — 2 очка, а обладатель самого маленького числа — 1 очко.
Таким образом (хотя детям это было, конечно, всё равно), задача стала проще: каждый мог заботиться только об увеличении собственного числа, без оглядки на остальных. Впрочем, это не так уж очевидно: стратегия должна зависеть от количества очков. Если, например, числа 1, 2 и 3 заменить на 0, 0 и 1000, то игра сведётся к предыдущей. В общем, «задача для взрослых» пока остаётся открытой.
После девяти туров у меня оказалось 21 очко, у Димы — 18, у Жени — 17. Это означает, что кто-то ошибся в подсчёте, так как сумма должна была равняться 54. Но я этого почему-то не заметил. К тому же мальчики чересчур расшалились, так что я торопился перейти к следующей игре.
Картинки с многогранниками. Рассматривали картинки из книги Веннинджера5, читали названия фигур. Конечно, по сравнению со звёздчатыми фигурами обычные правильные многогранники никакого впечатления на ребят не произвели.
Задание 4. Игра с рефлексией. Имеется 12 карточек из непрозрачного картона. На четырёх из них написано с одной стороны число 1, с другой 2; ещё на четырёх — с одной стороны 2, с другой 3; и на оставшихся четырёх — с одной стороны 3, с другой 4.
Сначала я показываю ребятам карточки; мы устанавливаем, что на двух сторонах карточки всегда написаны соседние числа, и что самое большое число — 4.
После этого все карточки перемешиваются (и стороны тоже) и кладутся в вертикальную коробку. Мальчики садятся друг напротив друга. Я по очереди вынимаю карточки и показываю их одной стороной Жене, а другой Диме. Каждый из них должен назвать число, которое видит другой. (Отыгранную карточку я переворачивал и клал в конец колоды, так что она через 12 ходов возвращалась в игру, но повёрнутая наоборот, что восстанавливало «справедливость» игры.) В игре очень отчётливо проявились следующие стадии.
1-я: мальчики плохо понимают задачу, называют не чужое число, а своё.
2-я: условие понято. Тот, кто видит у себя 1 или 4, называет противоположное число правильно; но тот, кто видит 2 или 3, пытается угадывать наобум; я велю им говорить «не знаю».
3-я: тот, кто видит 2 (соотв. 3), начинает понимать, что если противник твёрдо и сразу называет его число, то у него 1 (соотв. 4). Пока ещё часты ошибки; я ввожу новое правило: если кто-то ошибся, карта не засчитывается. Число ошибок уменьшается.
4-я: тот, кто видит 2 (соотв. 3), начинает понимать, что если противник говорит «не знаю», значит, у него 3 (соотв. 2). Первый догадался до этого Дима.
5-я: происходит очень смешная сцена. Женя видит 2, а Дима 3. Каждый из них должен был бы сказать «не знаю»; но по опыту предыдущих игр они уже убедились в том, что если поторопиться и сказать первым «не знаю», то противник сразу угадает твоё число, в то время как если бы ты потерпел, пока он скажет «не знаю», то сам бы угадал его число. Поэтому оба выжидают: каждый желает быть вторым, а не первым. В этот момент вдруг Дима соображает, что если бы у Жени было 4, он бы уже давно всё угадал. А он молчит, и уже давно; значит, выжидает. Тогда Дима твёрдо заявляет: 2! А Женя, ошибочно истолковав его уверенность, говорит: 1! Наступает долгий смех и прояснение ситуации. Дима сам всё объясняет:
— Я вижу, что он (т. е. Женя) сомневается и всё на папу поглядывает...
6-я: у Жени 1, у Димы 2. Женя неожиданно применяет блеф: вместо того, чтобы сразу заявить, что у Димы 2, он довольно картинно колеблется и даже, памятуя объяснение Димы, косится на меня. И Дима попадается! Он говорит, что у Жени 3. Буря восторга.
Мне вообще-то казалось, что Женя колеблется как-то неестественно. Но если бы я сказал 1, то могло бы получиться, что в прошлый раз я всё сделал правильно, а теперь опять ошибся — это неприятно. Наоборот, когда сделал так же, как и в прошлый раз, только теперь это не сработало, то всё вполне объяснимо. — Дима.
Я понимаю, что теперь уже ребята поняли всю задачу до конца, и пытаюсь остановить игру. Мальчики требуют ещё.
После конца занятия, уже повозившись со змеёй Рубика, они садятся сами играть в эту игру ещё раз. В общем, я этой задачей очень доволен и считаю её одной из лучших своих находок. Кроме того, я очень рад, что удалось-таки овеществить идею рефлексии (хотя идея гораздо богаче, и наверняка из неё можно извлечь ещё множество задач). Но один чисто технический недостаток у этой задачи есть: в неё можно играть только вдвоём.
Змея Рубика. Я показал её Наташе и Жене и сложил из неё несколько фигурок, в том числе фигуру № 86 из книги Веннинджера («малый ромбогексаэдр»).
После этого, как я уже говорил, дети уселись сами играть в игру с карточками.
14 февраля 1983 года (понедельник). 1710–1800 (50 мин.). Дима, Женя.
Задание 1. Устные вопросы.(1) Два отца и два сына поделили между собой три апельсина, да так, что каждому досталось по целому апельсину. Как это могло случиться?
Эту задачу ребята не решили, предлагая в качестве ответа разные глупости. Тогда я задал другой вопрос:
(2) У одного отца 6 сыновей, и у каждого сына есть сестра. Сколько всего детей у отца? Последовал ответ: 12. Трудный момент: я не знаю, что делать в такой ситуации. Я спросил, сколько у отца получилось сыновей и сколько дочерей; оказалось, 6 сыновей и 6 дочерей.
— Значит, сколько у каждого сына сестёр?
— Шесть.
— А тогда решите такую задачу: у отца 6 сыновей, и у каждого сына 6 сестёр; сколько всего детей?
— Ой, это совсем много считать надо!

Рис. 109. Закрыты четыре клетки; сумма чисел, стоящих в этих клетках, равна 17. Разгадка в том, что сумма чисел в пяти соседних клетках всегда равна 20; поэтому, видя, что в пятой клетке стоит 3, мы находим 20 – 3 = 17.
Я решил попробовать с другого конца. Сначала показал, как получить 4 + 4 = 5 (взял 4 пальца на одной руке и другие 4 пальца на той же руке). Потом сказал, что 2 умножить на 2 будет 4, а 2 десятка умножить на 2 десятка вовсе не будет 4 десятка. Тут Дима стал считать; сначала сказал, что будет 40 десятков.
— То есть, 400? — спросил я.
Но он мне не поверил, что будет 400, стал считать — и насчитал 280! Опять затык. Когда, наконец, досчитали, то уже все забыли, зачем мы это делаем.
Короче, когда мне всё же удалось натолкнуть их на правильное решение первых двух задач, они восприняли их без особого интереса, и всё кончилось к полному взаимному неудовлетворению.
Задание 2. Сумма невидимых чисел (фокус). В клетках таблицы (в моём конкретном примере таблица имела размер 12 × 12) стоят разные числа. Я отворачиваюсь, а ребята закрывают плотной непрозрачной полоской 4 соседние клетки по горизонтали или по вертикали. После этого я взглядываю на таблицу и сразу называю сумму спрятанных чисел. Разгадка фокуса в том, что сумма чисел в любых 5 соседних клетках (по горизонтали или по вертикали) всегда одна и та же, в данном случае 20. Поэтому, чтобы найти сумму спрятанных чисел, нужно из 20 вычесть число, стоящее рядом с полоской (слева или справа, если полоска лежит горизонтально, сверху или снизу, если вертикально), рис. 109.
Фокус произвёл колоссальное впечатление. Ребята вполне были готовы предположить, что я просто запомнил расположение всех чисел, или что я как-то умею проглядывать сквозь полоску, или ещё что угодно.

Рис. 110. Пользуясь периодичностью таблицы, находим строку, содержащую те же числа, и складываем их.
Дима долго выклянчивал у меня разгадку. Я не говорил. Вечером он уселся изучать таблицу. Ещё раньше он заметил, что строки и столбцы периодичны: если сдвинуть их на 5 клеток, то числа повторяются. Пользуясь этим, он научился находить полоску из 4 клеток, параллельную закрытой полоске и содержащую те же числа, и потом их складывал (рис. 110). Так что в итоге он научился показывать этот фокус, но только очень медленно.
До этого, когда он предлагал всякие нелепые объяснения, я каждый раз повторял:
— Ну, так ты сам теперь можешь показывать этот фокус? Если ты считаешь, что я просто запомнил все числа, запомни их и ты, вот и весь секрет.
Теперь, когда он и в самом деле научился показывать фокус и почти пришёл к выводу, что я просто считаю быстрее, чем он, мне пришлось открыть ему секрет.
Задание 3. Та же задача на рефлексию, что и в прошлый раз, но со слегка изменёнными условиями: кто первый правильно ответил, получает 2 очка, кто второй правильно ответил, получает 1 очко. За неправильный ответ (или неопределённый ответ «не знаю») — 0 очков независимо от очерёдности. Игра окончилась вничью: каждый заработал по 28 очков.
Характерно, что Женя применял смешанные стратегии: видя 2, он не выжидал, а сразу и твёрдо заявлял либо 3, либо 1 — и иногда угадывал, получая 2 очка. При этом он своей решительностью сбивал Диму: например, Дима видит 3, и при этом Женя твёрдо заявляет:
— Три!
Тогда Дима говорит:
— Четыре, — и получает 0 очков. Интересно, какая стратегия здесь
оптимальна.
Картинки. Я показал несколько картинок из «Кванта» и из других книг, в основном связанных с многогранниками. В частности, знаменитую картинку Кеплера (из «Мировой гармонии») с последовательно вписанными друг в друга сферами и правильными многогранниками (сферы представляют собой планетные орбиты).
К сожалению, картинки никакого впечатления не произвели, как и прекраснейшая армиллярная сфера Региомонтана (из книги Д. Херрмана «Открыватели неба»). В чём здесь дело, я не понимаю, но я был огорчён их равнодушием.
21 февраля 1983 года (понедельник). 1700–1810 (1 час 10 мин.). Дима, Петя, Женя.
Задание 1. Устный вопрос. Я показал им стоящие на полке 1-й и 2-й тома энциклопедии и сказал, что в каждом из них по 600 страниц. А сколько страниц расположено между 1-й страницей 1-го тома и последней страницей 2-го тома? (Правильный ответ — ноль.) Как это часто бывает с устными вопросами, течение тут же унесло нас куда-то в сторону от существа дела. Дима сложил 600 + 600 и получил 1200; Петя тоже сложил 600 + 600 и получил 1002; между ними завязался спор; Женя молчал. Я предложил Жене быть судьёй. Он сказал:
— Неправильно.
— Что неправильно?
Оказалось, что он успел забыть условие задачи (складывал 60 + 60; точнее, не складывал, а просто сидел и ждал). Но когда я ему напомнил условие, он сложил правильно и стал на сторону Димы. В этот момент Дима решил, что поскольку спрашивают про страницы между первой и последней, то они сами не должны учитываться, и, значит, надо вычесть 2 (но вычитание произвёл с ошибкой, получив 1180). Женя заявил, что нужно вычесть 4 (видимо, имея в виду не две страницы, а два листа).
Мы ещё немного поговорили о том, что в книгах примерно по 600 страниц и что 1200 – 2 ≈ 1200. После этого я, наконец, снял с полки книги и показал им правильный ответ: 0 страниц. Первым понял Петя. Потом я ещё объяснял ребятам, что для получения правильного ответа не требовалось знать количество страниц в книгах.

Рис. 111. Какая комната больше — вот эта, или прямоугольник размера 5 × 4?
Задание 2. Какая комната больше? На листках клетчатой бумаги нарисованы две «комнаты». Требуется определить, какая из них больше. Что значит «больше», я не объяснял, но Дима сам стал считать количество клеточек, объясняя, что в такой комнате «больше помещается».
В качестве комнат сначала шли прямоугольники 3 × 5 и 3 × 6; потом 3 × 6 и 5 × 3 (т.е. второй из прямоугольников — вертикальный). Видно, что в первый раз меняется только одно измерение, а во второй раз — одно измерение и расположение. На третьем листке были прямоугольники 3 × 6 и 5 × 4 (именно в этот момент Дима стал считать клеточки). Дальше начинались фигурки посложнее, и довольно быстро они стали весьма причудливыми, например, как на рис. 111.
Тем не менее, дети ответили правильно на все вопросы. Точнее, было так: Дима считал, Женя определял на глаз (и ни разу не ошибся), а Петя молчал.
Под конец Дима начал сам рисовать комнаты-лабиринты, так что я его едва остановил.
Задание 3. Фокус с кубиками. Секрет этого фокуса очень простой, и я был уверен, что Дима до него догадается: я ему недавно рассказывал, что сумма чисел на противоположных гранях кубика всегда равна 7. Я его даже предупреждал, чтобы он, если догадается, никому не говорил. Но он не догадался.
А фокус был такой. Я дал ребятам два кубика и сам вышел в коридор. Я велел им бросить кубики и подсчитать сумму очков; затем перевернуть оба кубика вверх ногами и снова подсчитать сумму очков; наконец, обе суммы сложить. Наташа следила за правильностью всех манипуляций. Когда все вычисления были закончены (по секрету от меня), я объявил результат: 14.
После этого фокус был повторён с тремя, затем с четырьмя кубиками (с результатами 21 и 28 соответственно). Эффект, как и у предыдущего фокуса, был потрясающим.
Дима безумно оживился, велел принести таблицу предыдущего фокуса и стал сам его показывать Пете и Жене, и даже пытался намекать на разгадку, но я его остановил, хоть и не без проблем. (Это уже начинает напоминать одного купца из Салтыкова-Щедрина, все истории про которого заканчиваются одной и той же фразой: «Насилу его увели». Я, конечно, радоваться должен — всё-таки речь идёт о Димином интересе к математике. Но, с другой стороны, иногда посещают сомнения: а не перебарщиваю ли я? Ведь ему ещё нет даже семи.)
Между прочим, я явно недооценил трудность задачи с таблицей и соответствующим фокусом. Во вторник вечером Дима показывал этот фокус Грише Гальперину, и получаса размышлений Грише не хватило, чтобы, понять, в чём тут дело6. Потом, когда я ему рассказал Димино решение, он пришёл в восторг и сказал, что оно ему нравится больше, так как получено в результате исследования и рассуждения, а не угадывания.
В общем, линию фокусов надо будет продолжить.
Картинки. На этот раз мы рассматривали книгу В. Гильде «Зеркальный мир» (о симметрии). Но этим дело не ограничилось. В книге есть фотографии опытов с двумя зеркалами. Я снял зеркало на кухне, и мы долго и очень бурно развлекались, ставя его параллельно зеркалу в коридоре, а также под углом.
28 февраля 1983 (понедельник). 1715-1815 (1 час). Дима, Петя, Женя.
О понятии множества. Мы выясняли, каким словом называется много коров (стадо), много птиц (стая), много цветов (букет), много спортсменов (команда) и т. д. Потом я объяснил, что в математике, чтобы не вводить так много разных слов, говорят всегда одинаково: множество. Поэтому нельзя сказать «букет коров» или «стая цветов», но можно сказать «множество коров» и «множество цветов».
Задание 1. Устная задача. Брат старше сестры в два раза; а год назад он был старше её в три раза. Как это могло произойти?
Мальчики предлагали самые фантастические объяснения: что это другие дети; что сестра — дочка не той же мамы, а мачехи; что брат мало ел и поэтому медленнее рос (Дима спрашивал: «Он старше по росту или по возрасту?»). Когда я все эти объяснения отмёл, они твёрдо заявили, что такого быть не может.
Дальнейшее показало (см. задание 4), что они не знают, что значит «в два раза старше» и «в три раза старше». В частности, Петя, придя домой, рассказал родителям эту задачу так:
— Брат старше сестры на два года; а год назад он был старше её на три года...
Задание 2. Смертная казнь, или как воздействовать на удачу. Один из ребят («палач») выходил в коридор; другой («казнимый») получал 8 шариков — 4 белых и 4 чёрных. Эти шарики он должен был разложить, как сам пожелает, по двум коробкам. Затем возвращался палач, выбирал наудачу одну из коробок, а из неё — наудачу один из шариков. Чёрный шар означал «казнь», а белый спасение. Каждый подвергался этой процедуре 6 раз, а чтобы не забыть, получал после каждой казни
черный жетончик, а после каждого спасения — белый жетончик.
В итоге Дима был казнён 3 раза, Петя тоже 3, а Женя — 2 раза. Петя с самого начала избрал наилучшую стратегию: в одну коробку клал один белый шар, а в другую — 3 белых и 4 чёрных. При этом вероятность спастись равна

а вероятность гибели, соответственно, 2/7. Однако результат его после первых двух испытаний был 1:1, хуже, чем у Жени, который играл без всякого особого смысла, но оба первых раза выиграл. Дима же с самого начала избрал наихудшую возможную стратегию: клал отдельно один чёрный шар (при этом, наоборот, вероятность погибнуть равна 5/7, а вероятность спастись — 2/7 ). Петя даже воскликнул один раз: — Ой, Димка, что ты себе сделал! Тем не менее, и его результат, как и у Пети, был 1:1. Отчасти это, как и дальнейшие результаты, объяснялось ещё и тем, что Женя, будучи палачом, подглядывал в коробки перед тем, как вытащить шар.
Логику Димы можно себе представить примерно так: авось повезёт, и коробку с чёрным шаром не выберут; а тогда во второй коробке будет зато на один чёрный шар меньше (ну, если не повезёт и выберут первую коробку, так уж ничего не поделаешь; в конце концов, ведь в любом случае может не повезти). Следуя этой логике дальше, он потом немного улучшил свою стратегию: стал изолировать в отдельной коробке сначала два чёрных шара, а затем все четыре; таким образом, он пришёл от наихудшей стратегии к средней, дающей равные шансы на выигрыш и проигрыш. Характерно, однако, что под его влиянием Петя ухудшил свою стратегию и тоже свёл её к средней. Женя же применил третью схему. Он заметил (по его словам), что коробки — разного цвета, одна сиреневая и одна синяя, и все всегда выбирают сиреневую коробку. Вот он и стал класть в неё по 2 белых шара.
Вообще, эта задача (точнее, не сама задача, а её материальное воплощение, данное мной) обладает двумя недостатками. Во-первых, это «субъективизм» в выборе коробки (Женя заметил, что чаще выбирают сиреневую; я сам заметил, что чаще выбирают левую). Надо бы сделать процедуру выбора более объективной, например, выбирать коробку подбрасыванием монеты. Во-вторых, шарики, положенные в коробку, детям не видны, и поэтому они не могут «следить за развитием событий». Надо бы обдумать эту задачу ещё раз.
Задание 3. Фокусы с задуманными числами (см. стр. 113). Демонстрация фокуса столкнулась с непредвиденными трудностями: Петя и Женя совершенно разучились считать. Когда я говорил «умножьте на 2», они не понимали, что это значит. Когда я говорил «поделите пополам», Петя мысленно представлял себе две половины, но обе вместе, и когда я после этого говорил «прибавьте 1», он не понимал, к чему прибавить (к одной половине или к обеим?).
Надо сказать, что Дима сам демонстрировал этот фокус, и притом вполне успешно: задавал довольно хитроумные последовательности действий и при этом не ошибался. Он всё порывался поскорее раскрыть секрет, а когда я ему не дал, он показал последний свой фокус так: «Задумай число, прибавь 1, отними задуманное; получилось 1». Но, кажется, его никто не понял.
Выяснилось также, что где-то посреди недели Дима успел рассказать Пете секрет фокуса с таблицей. Так что Петя попросил принести таблицу и стал показывать этот фокус Жене. Дима тоже порывался, но Женя ему отрезал:
— От тебя я уже видел.
После занятия Петя попросил разрешения унести таблицу домой, чтобы показать фокус родителям. Думаю, что теперь из справедливости следует рассказать секрет Жене тоже.
Паркеты (картинки). В заключение я показал мальчикам симметричные «паркеты» (заполнения плоскости) из книги Г. Штейнгауза «Математический калейдоскоп», а также «паркет из ящериц» с гравюры Эшера.
Когда Петя с Женей уже одевались, я им задал задачу из книги Труднева7, которую уже раньше задавал Диме:
По тропинке вдоль кустов
Шло 11 хвостов.
Сосчитать я также мог,
Что шагало 30 ног.
Это вместе шли куда-то
Петухи и поросята.
А теперь вопрос таков:
Сколько было петухов?
И узнать я был бы рад,
Сколько было поросят.
Задача вызвала большое оживление и хохот, но никто не потрудился вдуматься в её содержание, только Женя всё твердил, что нужно 11 поделить пополам, и когда мы ему объяснили, что получится пять с половиной поросят, он удивлённо спрашивал, а что же ещё можно сделать. Впрочем, потом он мне позвонил из дома, чтобы уточнить условие (сколько хвостов и сколько ног) — подозреваю, что под влиянием родителей.
Что мне нравится в Диме — так это то, что он потом действительно думает над задачами, которые не получились. В частности, во вторник он самостоятельно решил задачу 1 (он хотел объяснить Алле, что такого не может быть, стал приводить примеры, и случайно наткнулся на пример (3, 9) → (6, 12)).
Я ещё раньше понял, что отношение получается другое, когда увидел, что через год детям будет 10 и 4, но при этом 10 на 4 не делится. Но уверенности не было. Когда стало ясно, что отношение меняется, то думать дальше мне стало неинтересно. Хотя в задаче сказано, что мальчик стал в 2 раза старше через год, а не через 3, я был вполне удовлетворён своим решением. — Дима.
Кроме того, он ещё заставил Аллу играть с ним в игру с шариками, однако пришёл лишь к стратегии (1 белый, 1 чёрный), (3 белых, 3 чёрных).
Забавная история произошла во вторник у меня на работе. Я стал рассказывать про фокус с задуманным числом, но никто, кроме одной сотрудницы, не смог понять, в чём секрет, а, наоборот, все были поражены тем, как это мне удаётся угадать результат.
Алла заметила, какая характерная реакция была у мальчиков в конце задачи с шариками. Я сказал, что ответ я им не скажу, но кто-то один из них несколько раз играл самым лучшим способом... — на что Петя сказал:
— Это наверно я.
А Дима сказал:
— Это наверно Женя.
(У Жени было меньше всех чёрных жетонов.)
— ...А кто-то один из вас, — продолжал я, — играл несколько раз самым худшим способом.
На что Петя сказал:
— Это наверно я.
А Женя сказал:
— Это наверно Дима.
Здесь все характеры как на ладони.
14 марта 1983 года (понедельник). 1700–1800 (1 час). Дима, Петя, Женя.
Задание 1. Я напомнил ребятам про задачу, в которой брат старше сестры сначала в три раза, а потом в два раза, и попросил Диму рассказать решение. Он рассказал оба придуманных им решения: (3, 1) + 1 = (4, 2) и (9, 3) + 3 = (12, 6). Петя, оказывается, решение уже знал — ему Дима успел рассказать, а Женя был очень удивлён и всё спрашивал, как же это так получается.
Задание 2. Смертная казнь с «прозрачными процедурами». Я повторил игру со смертной казнью, но при этом полностью изменил её физическое представление. Я взял планшет с дырочками для игры в Mastermind, а также 10 фишек из этой игры — 5 белых и 5 чёрных (т. е. число белых и чёрных шариков тоже увеличено с четырёх до пяти). Вместо коробок фишки располагаются в два ряда, и ребята всё время их видят. Таким образом, весь процесс случайного выбора происходит непосредственно у них на глазах (рис. 112).

Рис. 112. Если случайная цифра чётная, выбираем первый ряд, если нечётная — второй. Если мы попали в первый ряд, ищем очередную случайную цифру в пределах от 1 до 7; если во второй — ищем цифру в пределах от 1 до 3. Эта цифра и указывает нам, какую фишку выбрать. Ну и, наконец, если фишка чёрная, нас «казнят», а если белая, то мы спасены.
Сам случайный выбор («судьба» или «палач» — можно называть как угодно) осуществляется с помощью таблицы случайных чисел. По первой цифре, в зависимости от её чётности, мы определяем «коробку», т. е. какой из двух рядов мы выбираем. Если в выбранном ряду, к примеру, 7 фишек, то мы, просматривая очередные цифры таблицы случайных чисел, выбираем первую из них, лежащую в пределах 1 < i < 7, и она указывает нам номер шарика в выбранном ряду.
Каждый из ребят расставлял фишки так, как он считал разумным, после чего проводилось 10 игр. Результаты записывались: по предложению Димы спасение обозначалось крестиком, а смертная казнь ноликом.
Первым играл Дима. Он поставил комбинацию [3, 2] + [2, 3]; счёт игры 5:5. Следом играл Женя. Он долго переставлял разные фишки туда и сюда, и в итоге остановился на комбинации [2, 3] + [3, 2]. Я намекнул, что это та же самая комбинация, что уже была. Однако сыграли. Счёт 3:7, т. е. 7 раз казнили. После этого Петя снова поставил [3, 2] + [2, 3]! Это меня уже шокировало. Я ещё раз объяснил, что комбинация та же самая, и что мы только что убедились на двух примерах, что она либо безразлична, либо даже невыгодна.
Папа несколько раз, опираясь на статистику, повторял, что эта комбинация немножко невыгодная, чем совершенно сбил меня с толку. Я даже стал придумывать причины, почему она невыгодная, хотя симметричная. — Дима.
Тем не менее сыграли снова со счётом 5:5. Очередь опять перешла к Диме, и он поставил своё излюбленное наихудшее решение: [0, 1] + [5, 4] (т. е. один чёрный шар отдельно, а остальные 9 в другом ряду). Демонстрация была эффектной: он проиграл все 10 раз! Все очень веселились, в том числе он сам. К концу игры глаза его засветились, и он сказал:
— А! Я знаю, как я в следующий раз буду играть! — он явно в этот момент понял, каково правильное решение.
Очередь, однако, перешла к Жене, и он снова поставил [3, 2] + [2, 3]. Даже Дима удивился и сказал:
— Опять то же самое!
А я так вообще расстроился. Сыграли ещё раз — снова со счётом 5:5. Я решил на этот раз поговорить подробнее, и мы стали ещё раз все вместе обсуждать это решение. В частности, подвели суммарные итоги четырёх игр по этому варианту — 18:22. Так что, сказал я, надо пробовать какие-то другие варианты, надо думать, а не только рассчитывать на удачу и везение. Вот Женя не захотел подумать...
— А зато у Димы было ещё хуже, — вставил Женя.
Я согласился и сказал, что зато Дима пробовал что-то новое, и что он «ценой собственной жизни» нашёл хорошее решение, и что он его ещё покажет... Так я выступал минут пять. Следующим играл Петя, и к моему полному ужасу и отчаянию он снова поставил [2, 3] + [3, 2]!
А к моему облегчению. Всё это время я страшно боялся, что кто-нибудь тоже придумал наилучший вариант, и я окажусь не первый. Чтобы никто не стал думать, я старался делать вид, что ничего особенного не придумал (хотя у меня даже зубы стучали от возбуждения). Моя фраза «Опять то же самое!» была вызвана тем же притворством: видите, всё нормально, я даже удивляюсь, что опять то же самое. Но тут папа, как назло, стал всем говорить, что я придумал хорошее решение! Только когда Петя поставил [2, 3] + [3, 2], я, наконец, успокоился. — Дима.
Я даже не удержался от комментариев:
— Петя всё-таки ни за что не хочет думать, не хочет использовать свой ум. Ну, смотри, Петя, голова твоя, и казнить будут тебя самого, а не нас.
Петя в ответ лишь хихикал кокетливо: вот, мол, какой я очаровательный — даже подумать не хочу. А Женя сказал:
— А зато у Димки было ещё хуже! Сыграли. Ответ, как всегда, 5:5. Очередь опять вернулась к Диме.
Он, как я и ожидал, поставил на этот раз наилучшую комбинацию [1, 0] + [4, 5] — и выиграл со счётом 9:1. Женя сказал, что он хочет оставить ту же комбинацию — и тоже выиграл, с тем же счётом 9:1. Наконец, и Петя оставил ту же комбинацию, и тоже выиграл, хотя и с меньшим счётом 6:4. После этого мы подсчитали и суммарную статистику 24:6.
Меня эта операция удивила: только что было соревнование, а теперь вдруг все результаты складываются. — Дима.
Заметим, что вероятность выигрыша при этой комбинации равна

так что судьба нам ещё слегка благоприятствовала, сделав правильность решения более наглядной.
Как это порой бывало и раньше, кое-что прояснилось для меня после окончания занятия: мальчики долго спорили о том, как лучше расставить фишки внутри одного ряда! Так что я был не совсем справедлив, а правильнее было бы сказать — совсем несправедлив, и все эти однообразные [3, 2] + [2, 3], возможно, вовсе не казались им такими уж одинаковыми. Может быть, они даже внимательно наблюдали (как игрок в рулетку), какие цифры выпадают чаще, и пытались ставить белые шарики на эти места. Если это так, то во время занятия всё это, к сожалению, прошло полностью мимо меня. Я был совершенно ослеплён своим высшим знанием — «самоочевидностью» того, что шансы не зависят от места. По отношению к феноменам Пиаже литература заранее подготовила меня к тому, чего следует ожидать, т. е. к нормальным реакциям нормальных детей. А вот по поводу восприятия случайности я ничего такого не читал. В результате я мгновенно превратился в стандартного «поучателя», который «знает как надо» и поэтому требует от детей одного лишь подчинения своим идеям.

Рис. 113. Было 8 вертикальных полосок, а стало 7. Куда девалась восьмая?
Геометрический фокус. Предыдущее задание заняло почти весь час, так что у меня осталось всего минут пять. Времени на ещё одну задачу не было; поэтому за оставшееся время я только успел показать детям один простенький фокус. На их глазах нарисовал на листе бумаги несколько параллельных полосок, затем разрезал листок по линии, соединяющей противоположные концы противоположных полосок. После этого одна половинка сдвигается относительно другой (рис. 113) — и количество полосок оказывается на одну меньше!
Однако дети легко разгадали этот фокус.
На этом занятие закончилось.
— А картинки? — спросил Петя.
Однако картинки у меня были подобраны к той задаче, которую я дать не успел. Я это объяснил и обещал показать их в следующий раз.
21 марта 1983 года (понедельник). 1610–1710 (1 час). Дима, Петя, Женя.
Задание 1. Разрезные шансы. Мы вернулись к задаче со смертной казнью и проделали что-то вроде «подсчёта шансов» на выигрыш. Конечно, не было никакой надежды на сложение дробей, а тем более на использование формулы полной вероятности. Однако я убедился в том, что интуитивно дети эту формулу понимают. Я поступил следующим образом. Заготовил множество одинаковых полосок бумаги — шириной 1,5 см и длиной 40 см. Каждая полоска была разделена линией ровно пополам, на 20 и 20 см: это означало, что с равными шансами можно попасть в левую и в правую коробку. Далее каждая половина была тоже разделена на равные части, но на разное количество частей — например, левая на 2 равные части, а правая на 8, или левая на 3, а правая на 7 и т. д.; в том числе были и такие, что левая сторона вообще не поделена, а правая поделена на 9 частей.
Затем ребята по очереди расставляли каким-нибудь образом шарики, и мы «вычисляли» шансы на спасение и гибель: разрезали сначала полоску пополам, а затем каждую часть разрезали в пропорции белых шариков к чёрным в соответствующей коробке, после чего клали «белые» (выигрышные) куски полоски налево, а «чёрные» — направо. В результате было наглядно видно, какое решение лучше, а какое хуже — просто сравнением длин шансов на выигрыш.
Надо сказать, что всё-таки две идеи остались слегка туманными. Во-первых, Петя ещё не усвоил различие между законом сохранения числа и законом сохранения длины (когда-то мы этим специально занимались — см. задачу про короткие и длинные дорожки, занятие № 51; тогда эту разницу понимал один Женя). Петя спорил со мной, что «здесь 5 шансов, и здесь тоже 5», показывая на полоски одинакового количества, но разной длины. Я попытался объяснить, в чём дело, но боюсь, что моё объяснение повисло воздухе.

Табл. 4. Буквы, расположенные в одном столбце, гомеоморфны друг другу; в разных столбцах — нет.
Во-вторых, мальчики по-прежнему пытались переставлять шарики в одном ряду. У меня была идея вырезать, скажем, из девяти равных частей, на которые поделена правая половина, не первые четыре части, а те четыре, которые соответствуют местам, занимаемым белыми шариками — чтобы они сами заметили, что это безразлично. Но я боялся сделать задачу слишком длинной и скучной.
Забыл упомянуть, что перед началом задачи я им показал картинку из книги Куна «Легенды и мифы Древней Греции», на которой Гермес взвешивал жребий Ахилла и Мемнона, чтобы определить, кто из них победит. Потом сказал, что поскольку у нас нет весов, мы будем сравнивать не по весу, а по длине.
Задание 2. Гомеоморфизм букв. Говорят, что эту задачу В. И. Арнольд любит давать студентам: требуется классифицировать буквы русского алфавита по топологической эквивалентности. Сначала я попытался, насколько возможно, описать задачу в наглядных терминах, т. е. объяснил, что фигурки, которые я буду рисовать, сделаны из такой мягкой проволочки, которую можно как угодно мять, сжимать и растягивать, но только нельзя рвать и склеивать. Потом каждый из нас нарисовал гомеоморфный образ окружности. Потом я стал по очереди рисовать буквы, и мы их раскладывали в ряд, а те, что гомеоморфны, клали друг под другом, как показано в табл. 4. Некоторые буквы я писал в двух вариантах; например, букву И можно нарисовать в двух видах:

В первом случае она попадает в один класс с буквой Г, а во втором — в один класс с буквой Н. Иногда при обсуждении я нарочно называл треугольник кружочком и т. п. Надо сказать, что мальчики прекрасно справлялись с задачей, гораздо лучше, чем можно было ожидать. Дошли мы до буквы У. В следующий раз я собираюсь эту задачу продолжить, а заодно включить в список также и буквы латинского алфавита.
Картинки. На этот раз я показал ребятам книгу А. Т. Фоменко и А. С. Мищенко «Дифференциальная геометрия и топология», объяснив, что книга не для школьников, а уже для студентов.
Сначала я показал им жирафа, который гомеоморфно преобразуется в бегемота; потом остальные картинки (иногда кое-что поясняя). Когда мы дошли до листа Мёбиуса, меня поразил Женя, вспомнив, что мы когда-то клеили такой же на нашем занятии. А ведь это было более двух лет назад, в феврале 1981 года! Вслед за Женей вспомнили и Петя с Димой. Отсюда следует сделать вывод, что ничто из наших занятий не пропадает понапрасну — любая вещь, даже непонятая, может в нужный момент выплыть.
Под конец я, не удержавшись, показал ещё на книге дарственную надпись Фоменко.
Задание 3. Фокус. Я вообще-то показывать фокус на этом занятии не собирался (я имею в виду фокус с таблицей). Просто, поскольку Дима уже рассказал секрет Пете, и к тому же Петя носил его домой показывать, я решил, что будет справедливо рассказать секрет Жене тоже, и чтобы он тоже мог самоутвердиться и показать фокус родителям.
Однако Санька8 у Пети мою таблицу порвала, и я решил сделать другую вместе с Димой. Для этого в пятницу мы с ним нарезали 25 квадратиков из бумаги, написали на каждом по цифре (предварительно позаботившись, чтобы их сумма равнялась 5 – 20 = 100), после чего Дима стал сам раскладывать их так, чтобы получился «магический квадрат» и чтобы по возможности в каждом ряду не было совпадающих цифр. В конце я ему немного помогал. То, что в итоге получилось, показано ниже.

Таблица для фокуса состоит из девяти одинаковых квадратов. При этом сумма пяти соседних цифр равна 20 даже когда часть этих цифр лежит в одном квадрате, а часть в другом. Я не мог понять, почему так получается, но и спрашивать не стал. — Дима.
На базе этого квадрата Алла в воскресенье начертила таблицу для фокуса размером 15 × 15, так что ещё в воскресенье Дима имел возможность показать этот фокус дедушке с бабушкой.
Заодно возникла идея нового фокуса: закрывать не 4 цифры, а 6. Ясно, что сумма будет равна 20 + (крайняя цифра). Эту крайнюю цифру можно определить по периодичности.
Этот последний фокус я несколько раз показал к концу занятия, но не настойчиво, а так — для разговора. В основном же я объяснял Жене идею фокуса. Его реакция была, я бы сказал, «школьной». Как это часто бывает, когда говорят не всем, а обращаются к нему лично, он сжался в комок, окаменел и отключился. При этом он усиленно кивал головой, хотя видно было, что ничего не воспринимает. Так я всё рассказал и спросил:
— Понятно?
Он продолжал кивать головой. Я закрыл четыре цифры и спросил, сколько будет в сумме. Его глаза округлились от ужаса: оказывается, от него не отстали, несмотря на поддакивание, и теперь приходится отвечать самому, а ведь он всё пропустил! Видно было, как он напрягся, пытаясь прокрутить в голове, что это такое я ему только что говорил. Уже через полминуты он прекрасно всё сообразил и сказал:
— Надо отнять четыре...
Ещё минуту у него заняло вычитание четырёх из двадцати — он всё никак не мог освободиться от скованности. Но когда это, наконец, удалось, он стал показывать фокус так же легко и быстро, как Дима.
28 марта 1983 года (понедельник). 1715–1800 (45 мин.). Дима, Петя.
Занятие было более коротким, чем обычно: мы ждали гостей, и я немножко спешил.
Задание 1. Гомеоморфизм букв. (продолжение). Мы закончили русский алфавит, затем добавили к нему латинский, потом цифры, а потом ещё ноты и разные другие музыкальные значки (бемоль, диез, бекар). Вся эта совокупность фигур была расклассифицирована по топологической эквивалентности. Мальчики прекрасно справлялись с задачей, и, как правило, всё делали сами. Лишь в некоторых случаях они не смогли угадать гомеоморфизмов:
и некоторых других. Но и в этих случаях они сразу и легко понимали мои объяснения, а иногда достаточно было одного лишь ответа.
Надо будет придумать им ещё задачи на гомеоморфизм.
Задание 2. Домики и колодцы. Классическая задача: есть три домика и три колодца, и требуется от каждого домика к каждому колодцу провести по тропинке, да так, чтобы никакие две тропинки не пересекались (рис. 114).

Рис. 114. Три домика, три колодца и девять тропинок. Нарисовать тропинки на плоскости так, чтобы они не пересекались, невозможно.
У меня с этой задачей связано одно своеобразное воспоминание. Возраст не помню. Наша соседка по коммунальной квартире, вскоре умершая от алкоголизма, дала мне эту задачу, снабдив её таким комментарием, что, мол, тот, кто её решит, заработает очень много денег. Я, помню, долго возился... Через несколько лет я узнал её (не соседку, а задачу) как старую знакомую в какой-то популярной книжке по математике.
Задача, как известно, неразрешима — соответствующий граф, обозначаемый К3,3, не является планарным. Поэтому мальчики некоторое время повозились с нею, а потом я задал её в качестве домашнего задания. Дима всё удивлялся, что каждый раз получаются все тропинки, кроме самой последней.
28 апреля 1983 года (четверг). 1700–1820 (1 час 20 мин.). Дима, Петя, Женя.
Задание 1. Игра «ним». Первый игрок пишет число от 1 до 10, второй добавляет к нему число от 1 до 10, третий тоже и т. д. Выигрывает тот, кто первый напишет число 100. Вообще-то игра рассчитана на двух участников. Если участников трое, то никто из игроков не может обеспечить себе победу, но в определённый момент один из них может по своему усмотрению «отдать» победу либо следующему за ним игроку, либо через одного. Так, получив от предшествующего игрока число 88, он уже не может выиграть сам (если его партнёры не поведут себя глупо), но может, написав, соответственно, 90 либо 89, дать победу следующему или через одного. Рано или поздно кто-нибудь из игроков обязательно оказывается в такой ситуации. Дима один раз отдал победу Жене и один раз Пете, Женя — один раз Диме и один раз мне (я участвовал в одной партии, последней).
Задание 2. Четыре краски. Сначала я показал детям географическую карту и объяснил, почему разные страны закрашиваются в разные цвета. Потом мы обсудили вопрос о том, что не обязательно все цвета делать разными (важно только, чтобы соседние страны можно было отличить друг от друга).
После этого я рисовал ребятам на листе бумаги разные «карты», всё более сложные, и они их «закрашивали» четырьмя красками. Слово «закрашивали» я взял в кавычки, так как фактически у нас были картонные жетоны четырёх цветов, и мы их просто клали на соответствующую страну. Такая система помогала легко пробовать разные варианты, менять раскраски, удалять ошибки и т. д.
Всего мы раскрасили три карты. В заключение я рассказал мальчикам о проблеме четырёх красок, о том, что её 100 лет никто не мог решить, и, наконец, о решении и о вычислительных машинах, которые делают миллион операций в секунду и которые работали 1200 часов, чтобы решить эту задачу.
Картинки. На этот раз мы рассматривали книжку И. Я. Депмана «Мир чисел». Беседа оказалась очень содержательной и в некотором роде «развивающей». Мы успели посмотреть всего несколько страниц и наткнулись на маленький рисунок Стоунхенджа. Ребята спросили меня, что это такое, я стал рассказывать и принёс сразу три книги про Стоунхендж: «Разгадка тайны Стоунхенджа», «Солнце, Луна и древние камни» и «Кроме Стоунхенджа». Из этих книг мы посмотрели некоторое количество фотографий. Потом перевернули ещё пару страниц в книге Депмана и наткнулись на египетские пирамиды. Оказалось, что никто из мальчиков никогда ничего не слышал о пирамидах. Я стал рассказывать, достал альбом «Искусство Древнего Египта», и мы ещё порассматривали и его. На этом занятие окончилось.
* * *
На самом деле на этом закончился учебный год; видимо, что-то помешало нам продолжить занятия в мае (праздники? болезни? — не помню). В дневнике на эту тему есть только одна фраза, записанная в конце лета: «Занятия с мальчиками я планирую возобновить с октября. А с нового года, если хватит сил, начну заниматься с девочками».
Выдающийся американский педагог Сеймур Пейперт в своей главной книге «Переворот в сознании»9 пишет: «Что, если математика имеет с шутками, снами и истерией больше общего, чем принято думать?». Сны и истерию мы, пожалуй, оставим более серьёзным людям; ну а в том, что касается юмора, нет никаких сомнений в его тесной связи с логикой. Тот факт, что Льюис Кэрролл является также и одним из основоположников современной математической логики, ни в коей мере не является случайностью.
После того, как я однажды записал разговор о зоопарке и обезьянах (см. стр. 71), мне пришло в голову, что, быть может, такие вот разговоры сами по себе являются интегральной частью наших математических занятий. Время от времени я стал записывать их тоже. Иногда это было что-то «умное» (например, наша с Димой беседа о том, какие тела падают быстрее); иногда просто смешное. Следует откровенно признать, что записанные разговоры до некоторой степени являются воображаемыми. Дело в том, что они возникают и развиваются совершенно спонтанно — и моментально улетучиваются из головы. Я пытался вспомнить несколько из них: я помню обстоятельства, реакцию детей и многое другое, но не могу вспомнить тему разговора. Однако даже когда тему удаётся удержать в голове, всё равно разговор, восстановленный по памяти, это почти что заново сочинённый. К тому же, реальный разговор может прерваться в совершенно произвольном месте, а вовсе не там, где этого требовала бы логика развития сюжета. Да и вообще в таком жанре вовсе не грех что-нибудь присочинить потом. Думаю, что Кэрролл именно так и поступал: разговаривал с реальной Алисой Лидделл, а потом сочинял что-нибудь вокруг... Однако исходно я писал дневник, а не беллетристику, и сейчас решил придерживаться того, что было записано тогда.
В этом разделе жанр постепенно эволюционирует — от обыкновенной болтовни сначала к более серьёзным темам и, ближе к концу, к обсуждению математических тем и задач; ведь мы с Димой обсуждали математику и вне рамок кружка тоже.
1. Разговор за обедом. Конец марта 1983 года. Всем раздаётся жареная рыба.
Я: Женечка! А что ты у рыбки больше любишь — ножку или крылышко?
Женя: Ножку.
Дима: Женя, а разве у рыбок есть ножки и крылышки?
Женя: Да.
Дима: Нет, нету. Ведь рыбки плавают в воде, и им там ножки не нужны.
Женя: Но, Дима, это же не настоящая рыбка! Она же сейчас не плавает! Потому что мы её будем есть.
Дима: Но раньше-то она плавала!
Я: Что-то я тут не понимаю; я вот, например, тоже раньше плавал, но у меня, тем не менее, ножки есть.
Женя: Папа плавал в озере!
Дима: Но всё равно! Рыба почти всегда двигается по воде, а папа по земле!
Алла: Как паровоз.
(Смех.)
Дима: Нет, не так быстро!.. А, знаю, ты сейчас скажешь «улитка». (Задумывается.) Ну, всё равно — паровоз едет, улитка ползает, а папа идёт.
Алла: Как дождь.
(Общий хохот.)
Дима: Нет!! Дождь падает сверху вниз, а папа не падает!
Я: Я думаю, что если меня положить на тучу, так я тоже буду падать.
Дима: Нет, дождь падает отдельными каплями. И вообще, дождь капает, а папа не капает.
Алла: Ну почему же, папа иногда тоже капает.
(Мы с Аллой переглядываемся: замечание вышло несколько двусмысленное.)
Дима: Нет, не капает! Ну когда он капает?
Алла: Ну, например, когда помоется в душе.
Дима: Так это не он капает, а с него капает!
Я (после паузы): Ну, хорошо, допустим, мы даже согласимся с тем, что папа не капает. Но как отсюда следует, что у рыб нету ног? Вот чего я не понимаю!
(Опять общий хохот.)
Тут, однако, выясняется, что Дима, увлечённый разговором, весь измазался в еде. Мы его посылаем умываться, и на этом обсуждение кончается.
2. Отвлекающие манёвры. Начало мая 1983 года. Дети пришли с прогулки. Женя капризничала, кричала, чтобы Дима ей помог расстегнуть куртку. Дима ей отвечал сурово:
— Попроси хорошим голосом.
(Как старший брат, он не упускает возможности её повоспитывать.) Женя кричала:
— Я говорю хорошим голосом!!
Тут я вмешался.
Я: Женечка, а какой у тебя есть самый-самый хороший голос?
Женя Нет у меня никакого голоса, есть только голова!! (???...Странный ответ, но он был именно таков. Учтём, что Жене три с половиной года.)
Я: А что такое голова?
Женя: Это то, что стоит! (???)
Я (показывая на шкаф): Вот — стоит, значит, это голова?
Женя: Нет, это шкаф.
Я: А где же голова?
Женя (немного смягчившись — показывает): Вот голова.
Я: Нет, это шапочка.
Женя (снимает шапочку): Ну вот, во-от!
Я: Нет, это волосики.
Вмешивается Дима, который обожает такие разговоры и уже прыгает от нетерпения.
Дима: Ну, голова — это вот, вот (чертит в воздухе рукой вокруг головы).
Я: Что «вот, вот»?
Дима: Голова — это нос, рот, волосы, подбородок, усы, глаза — ну, всё!
Женя (повторяет Димины движения, обкручивая руки вокруг лица, как бы умываясь): Голова — это вот, вот! (уже весело).
Я: Значит, ты говоришь, голова — это глаза, рот, усы... Например, твои глаза, мои усы, Женин нос...
Дима: Нет, только мои глаза, мой нос!
Я: Ну, хорошо, я бы всё понял; только я не понимаю, что значит «твой».
Дима: Ну как! Мой — значит то, что моё, то, что у меня!
Я: А что такое «ты»?
Дима: Я — это я. Вот я (тычет в себя пальцем).
Я: Что, «ты» — это вот эта пуговица?
Дима: Нет — вот я!
Я: А-а, вот эта рубашка!
Дима: Нет, и рубашка, и пуговица, и вообще всё моё.
Я: А я, значит, это всё моё?
Дима: Да.
Я: Вот, например, Женя — моя? Моя! Ведь она моя дочка.
Дима: Нет, Женя не твоя часть! Ты — это все твои части.
Я: Какие части?
Дима: Ну, руки, ноги, голова...
Я: Голова! Но ведь я не знаю, что такое голова! Ты мне как раз это объяснял.
Дима: Но ведь я тебе уже объяснил. (Он явно не видит логического круга.)
На самом деле видел, но не хотел признаваться. — Дима.
Я: Когда ты объяснял мне, что такое голова, ты употребил непонятное слово «мой». Поэтому я не понял, что такое голова, и попросил тебя объяснить, что значит «мой». А теперь ты объясняешь слово «мой» через слово «голова», которого я ещё не знаю.
Женя: Пить хочу! Папа, дай, пожалуйста, гриба10. Папа, я хорошая девочка и поэтому говорю «пожалуйста».
Я (чтобы закончить): Вот видишь, Дима, как бывает трудно объяснить самые простые вещи.
[Не хочу создать у читателя представление, что я всегда так ловко выходил из трудных воспитательных ситуаций. Но об успехах писать приятнее.]
3. О «принципе фальсифицируемости» по Карлу Попперу. Лето, Новые Сенжары (Украина). Шли мы как-то вдоль реки Ворсклы, и было на берегу очень много лягушек. Алла спросила, как мы думаем, сколько мы встретили лягушек. Сама она считала, что примерно штук сто. Дима сказал, что, по его мнению, примерно штук тридцать. Я сказал, что триста. А когда мы спросили у Жени, она ответила:
— Много. Я спросил:
— Как ты думаешь, Дима, кто из нас четверых наверняка прав?
— Наверное, ты, — ответил он.
— Нет, — сказал я, — наверняка права Женя. Каждый из нас, может быть, и ошибся, а уж Женя точно сказала правильно: лягушек и вправду много.
Конечно, тут есть повод умилиться Жениной детской непосредственности. Но я не мог упустить такой удобный момент для философских выводов.
— А отсюда мораль, — сказал я. — Если человек всегда говорит всё правильно, то это ещё вовсе не значит, что он самый умный.
— Почему?
— Потому что умный человек тот, который говорит не только правильные вещи, но и нетривиальные, не очевидные сами по себе. Если он при этом иногда и ошибётся, он всё равно умный. А другой говорит только то, что и без того понятно, что и говорить не обязательно. И, хоть он всегда говорит всё правильно, но ума большого для этого не надо.
На что Дима спросил:
— Папа, а почему ты всегда говоришь какую-нибудь мораль?
4. Парадокс Зенона. 5 мая 1983 года. Некоторое время назад мы, пользуясь указаниями «Физики для малышей», делали стробоскоп, т. е. нечто вроде примитивного мультфильма. Видимо, по мотивам этой деятельности Дима задал мне такой вопрос:
— Папа, вот я понимаю, как в мультфильме: там показывают ногу вот так, потом вот так, маленькими скачками, а нам кажется, что она движется. А как просто нога, сама? Ведь там же нет никаких скачков, даже самых маленьких. Как же тогда она может двигаться?
И дальше, немного сбивчиво, но вполне понятно, он изложил мне фактически полный эквивалент парадокса Зенона о стреле. Дальше идёт моя часть, которая не так интересна. Я ему рассказывал про Зенона, и про Диогена, и про стихотворение Пушкина («Движенья нет — сказал мудрец брадатый...»), и даже кое-что про квантовую механику (почему нельзя увидеть, как летит электрон). Но главная мысль, которую я пытался ему внушить, состояла в том, что речь в его вопросе идёт не о самом явлении, а о наших мыслях о нём, что мы «не можем точно знать, как на самом деле», а можем только мыслить без противоречий. По его ремаркам мне казалось, что он понимает меня, однако вечером он снова стал спрашивать, как же всё-таки нога движется на самом деле.
Если я правильно помню этот разговор, то, по-моему, папа мне действительно не ответил, а только рассказал, что тот же вопрос задавал Зенон. Я, правда, думаю, что честный ответ (с устремлением времени и расстояния к нулю) меня бы не удовлетворил, даже если бы я его понял. — Дима.
Да, ещё я ему говорил, что когда мы якобы «просто видим», то это вовсе не так просто: лучи света отражаются от предмета, преломляются через хрусталик, отпечатываются на сетчатке, палочки и колбочки посылают сигналы в мозг, он их обрабатывает и т. д. А нам кажется, что мы «просто видим», и всё.
Характерно не столько то, какие Дима задаёт умные вопросы (чаще бывают глупые), сколько область его интересов. Например, Женя, если задаёт умные вопросы, то совсем другого сорта:
— А почему Карабас Барабас дал Буратино пять золотых монет, а Буратино не дал Карабасу Барабасу золотой ключик?
5. Семантика. Начало сентября 1983 года.
— Папа, а знаешь, откуда произошло слово «тем не менее»?
Я ответил, что «тем не менее» — это не слово, а три слова: тем—не—менее. «Не менее» — значит «более», а «тем не менее» значит «тем более».
— Нет, неправильно, — вдруг сразил меня Дима. — Не обязательно «более». Может быть более, а может быть и столько же.
Возвращаемся к нашей основной теме, а вместе с тем и отступаем назад во времени.
1. Задача Гаусса. 3 апреля 1983 года. Десять дней назад, 23 марта, исполнилось 3 года нашему кружку. А вчера, 2-го апреля, произошло событие, которое мне кажется достаточно важным для того, чтобы его здесь отметить: Дима решил задачу Гаусса, т. е. сложил все числа от 1 до 100.
Произошло это так. Примерно год тому назад я рассказал ему известную историю о том, как Гаусс в возрасте 7 лет в первом классе за одну минуту сложил числа от 1 до 100 (в то время как учитель ожидал, что дети будут заниматься этим весь урок). Дима, конечно, сразу стал спрашивать, как он это сделал. А я, конечно, ему не ответил.
Потом он в течение года раза два или три приставал ко мне:
— Ну-у па-ап... Ну всё-таки — расскажи, как он это сделал...
Но я отказывался. И вот вчера он меня подзывает (а он сейчас, надо сказать, болеет, и, как всегда, именно в этот период у него большой интеллектуальный прогресс — от безделья, видимо) — так вот, подзывает он меня и объявляет, что решил эту задачу.
— Как? — спрашиваю я.
— Знаешь как? Вот берёшь 0 и 100; потом 1 и 50; потом 2 и... т. е. нет, не так! Берёшь 0 и 100, потом 1 и 99, потом 2 и 98. И последний раз получится 50 и 50.
— Всё правильно, только одна ошибка: 50 будет всего один раз.
— Так как же тогда делать?
— Очень просто: всё время по 100, а последний раз 50.
— А-а, понятно.
— Ну так ты уж посчитай тогда, сколько получится, раз так.
— Сейчас.
Через минуту снова подзывает меня:
— Папа, я когда дохожу до семисот, каждый раз почему-то сбиваюсь.
— Так зачем же ты так считаешь?
— А как?
— Ты просто посчитай, сколько будет сотен.
— А-а...
Я был уверен, что он в чём-нибудь собьётся: или неправильно определит количество сотен, или неправильно умножит, или, наконец, забудет про 50. Но нет: всего через минуту он прокричал мне из другой комнаты ответ: 5 050.
Возможно, что впечатление, произведённое на меня этим событием, несколько преувеличено историческими аллюзиями, связью с Гауссом и проч. Тем не менее следует признать, что это всё-таки и в самом деле серьёзный успех, в особенности с учётом двух факторов: во-первых, задача решалась устно; во-вторых, Диме ещё нет 7 лет (осталось полтора месяца). Уместно упомянуть, что формулу суммы арифметической прогрессии проходят в 8-м классе. (А ведь она выводится точно так же! И при этом, надо сказать, мало кто из школьников её хорошо понимает.) Но, пожалуй, гораздо важнее другое: то, что Дима помнил задачу, обдумывал её и наконец добрался до решения. То есть он не производит впечатления мальчика, блещущего ярким, бьющим в глаза талантом, но у него есть одно несомненно ценное качество: он всерьёз и подолгу задумывается над непонятными вещами и упорно приводит их в систему. По складу характера он меньше похож на Галуа, а больше на таких людей, как Дарвин или Бор. (Я сравниваю не масштаб личности, а её тип; не величину вектора, а направление.)
Я похвалил его; он со скромной улыбкой заметил, что всё-таки не совсем сам решил задачу — ему помогло то, как мы с ним составляли таблицу для фокуса. Я сказал, что в связи с таким событием хочу сделать ему какой-нибудь подарок. Я долго шарил глазами по полкам, но не смог найти ничего лучше книги Херрмана «Открыватели неба» — истории астрономии с большими, красивыми картинками. Дима довольно равнодушно посмотрел на первую картинку:
— Это что, Луна?
— Да.
— А здесь что нарисовано (про вторую картинку)?
— Там есть подпись, прочти сам. Но он поленился читать, и, показав
на кубик Рубика, сказал:
— Я хочу вот что...
— Хочешь, чтоб я подарил тебе кубик?
— Нет, я хочу, чтобы ты научил меня его собирать.
На том мы и договорились, только я предупредил Диму, что дело это сложное и потому долгое.
Привить ему интерес к книгам пока не удаётся.
2. Сколько секунд в сутках? 27 апреля 1983 года. Сегодня Дима меня удивил ещё раз, подсчитав (разумеется, устно) количество секунд в сутках: 86 400. Я ему слегка помогал; моя помощь свелась к следующему: во-первых, я сообщил ему, что в сутках 24 часа (и вообще объяснил, что такое сутки). До этого он вычислял, сколько секунд в «дне», а день, по его понятиям, состоял из 12 часов. Во-вторых, я ему подсказал, что если он уже умножил 36 на 12, то не обязательно заново умножать 36 на 24, а можно просто результат умножить на 2. Далее, после действий 60 · 60 = 3 600, 36 · 12 = 432, 432 · 2 = 864 он забыл, что следует делать дальше, и спросил у меня. На этот раз я отказался отвечать, сказав, что это как раз и есть самое главное в вычислениях — не собственно считать, а понимать, что ты делаешь и зачем. Минуты две Дима восстанавливал ход своих рассуждений и в итоге понял, что осталось умножить результат на 100. Но к этому моменту он забыл сам результат. Это был третий пункт моей помощи: я ему напомнил, что результат 864, а он уже сообщил мне ответ: 86 400. В общем, кажется, можно заключить, что моя система себя оправдала. Под «системой» я понимаю здесь то, что я никогда не учил его специально считать, никогда не вырабатывал никаких «навыков», не тренировал и т. п. На самом кружке занятий с числами тоже было относительно немного, и даже когда приходилось считать, то я никогда не акцентировал внимание на вычислениях. Вычисляли мы обычно, складывая очки на двух или трёх костях, играя в «ним» и т. п., и никогда для того, чтобы «решить пример».
Характерная деталь — даже при самых больших успехах полнейшая ненадёжность детей в вычислениях. Недавно Дима умножал 60 на 10 и получил в результате 320!
Через две недели ему будет 7 лет.
3. Сколько жильцов в нашем доме? Ещё одна история про вычисления, вовремя не записанная; относится где-нибудь к концу 1982 или к началу 1983 года. В какой-то момент наши мальчики неожиданно осознали, что та гигантская галактика, вокруг которой они гравитируют, как малые планеты — это и есть наш ДОМ. Огромный, полукруглый, каких немало в Ясенево; только чтобы его обойти вокруг, нужно минут двадцать.
— Сколько же в нём людей живёт? — спросил Дима.
Стали считать: 12 подъездов; в каждом подъезде — по 16 этажей; на каждом этаже — по 4 квартиры.
— А в каждой квартире по 4 человека, — это уже Дима сам решил.
Нас четверо, значит и везде четверо.
Подробностей вычисления не помню. Помню только, что заняло оно немало времени. Перебираясь, как через бурелом, через ошибки и забытые данные, Дима преследовал свою добычу и в итоге пришёл к правильному ответу.
4. Никогда не хвастайтесь детьми! Этот совет, уважаемый читатель, я даю не вам, а себе. Я, вообще-то, хорошо это знаю; но бывает трудно удержаться...
Вскоре после предыдущей истории мы пошли в гости к моей двоюродной сестре Ирине. А надо вам сказать, что она — учительница начальной школы, и притом совершенно замечательная, одна из лучших, кого я знаю. В дальнейшем, когда я сам стал работать со школьниками, я не раз пользовался её советами. Но и до того — и даже когда я ещё не был женат — когда бы я ни пришёл к ним в дом, речь всегда заходила о школе, и всегда было так увлекательно! Вот и сейчас, естественно, разговор сам собой перешёл на то, что Диме скоро в первый класс, и Ира решила проверить его «готовность к школе». Она попросила его сложить 5 и 3. И вот тут меня заело!
— А ну-ка, Дима, — говорю. — Помножь-ка нам лучше 33 на 17.
(Или что-то аналогичное по трудности — точно я не помню.)
— Как это? — спросил Дима недоумённо, как будто впервые в жизни слышал про умножение.
Я стал объяснять; он как-то плохо понимал; возможно, на него давило то, что мы в гостях; и отвлекали, конечно же, Ирины ремарки, что я сошёл с ума. Ну, так или иначе, он принялся за дело, с грехом пополам и с ошибками помножил 17 на 30, после чего стал ещё 3 раза 17 отнимать вместо того чтобы прибавлять. Я ему на это указал; он не сразу понял, а когда понял, забыл к чему надо было прибавлять. В общем, он почувствовал, что не выдержал экзамен, и даже расплакался. Стыдно было безумно.
Но если отвлечься от всех этих эмоций, то следует обратить внимание на один важный параметр, который мы редко учитываем: это мотивация. В одном случае просто жжёт как хочется поскорее узнать, сколько же людей живёт в таком огромном доме. В другом — просто умножить и всё, без всякого смысла и толка. Зачем?
5. Этажи. Я спросил у Димы:
— Человек поднялся сначала на 5-й этаж, а затем ещё на столько же. Где он оказался?
Дима, конечно, тут же ответил:
— На 10-м этаже. Я сказал:
— Неправильно.
Дима задумался. Потом сказал:
— Вот я помню, что мама когда-то сказала, что до 5-го этажа ехать столько же, сколько от 5-го этажа до 10-го, а ты тогда сказал маме, что это неправильно, но почему, я так и не понял.
Потом он ещё некоторое время подумал и сказал, что, наверное, дело в том, что на первый этаж совсем не нужно нисколько подниматься. Однако объяснить, как одно связано с другим, не сумел.
Задача непереводима на французский язык: во Франции этажи считают начиная с нулевого (который называется rez-de-chaussee). Дом, который мы бы назвали двухэтажным, французы называют «дом с этажом».
6. Сто гусей. Лето 1983 года. Во время одной из прогулок я задал Диме классическую задачу:
Летит гусь, а навстречу ему стая гусей. Вот гусь и говорит:
— Здравствуйте, сто гусей! А гуси ему отвечают:
— Нас не сто гусей. Вот если бы нас было столько, да ещё столько, да ещё пол-столька, да ещё четверть-столька, да ещё ты один гусь — вот тогда нас было бы сто гусей.
Вопрос: сколько гусей в стае?
По Диминым внешним проявлениям очень трудно угадать, что творится у него внутри. С этой задачей повторилась классическая схема: он её выслушал и пошёл себе дальше, не проявляя никакого интереса. Однако на следующий день утром он, ещё лёжа в постели, позвал меня и сказал, что решил задачу про гусей, назвав при этом правильный ответ: 36.
7. Про кур-несушек. Сентябрь 1983 года. Как-то за ужином я задал Диме такую задачу. Две курицы сносят два яйца за два дня. Сколько яиц снесут четыре курицы за четыре дня?
Это упрощённый вариант замечательной задачи А. Азимова из рассказа «Escape!». Полторы курицы сносят полтора яйца за полтора дня. Сколько яиц снесут 9 кур за 9 дней? (Чтобы не мучить читателя, скажу правильный ответ: 54.)
На этот раз предыдущая схема выполнилась лишь наполовину: Дима выслушал задачу без всякого интереса, но и потом больше к ней не возвращался. А может, это уже школа влияет? Но о школе — отдельно...
8. Как поделить 17 верблюдов. Сентябрь 1983 года. Как-то перед сном я рассказал Диме такую арифметическую сказку (уже не помню, где и когда я её вычитал, но она тоже вполне классическая):
У одного старика было три сына. Когда он умер, то оставил им в наследство 17 верблюдов. При этом старшему сыну он завещал 1/2 всего стада,среднему сыну 1/3, а младшему 1/9.
Стали сыновья делить наследство — и не знают, что делать: ведь 17 пополам не делится! И на 3 части не делится! И на 9 частей 17 верблюдов тоже поделить нельзя. Как тут быть?
Ехал мимо мудрец. Братья обратились к нему за советом. Мудрец выслушал их и сказал:
— Давайте я подарю вам своего единственного верблюда. Может быть, тогда ваша задача станет легче.
Стало теперь у братьев 18 верблюдов. Старший забрал себе половину (сколько это будет? — правильно!) — 9 верблюдов; средний забрал 1/3 часть, т. е. 6 верблюдов; младший забрал 1/9 часть — 2 верблюда. Всего же оказалось 9 + 6 + 2=17 верблюдов: один верблюд оказался лишним, и это был верблюд мудреца! Мудрец забрал обратно своего верблюда, попрощался с братьями и уехал. А братья остались довольные тем, как ловко им удалось разделить наследство.
Собственно говоря, задачи никакой в этой сказке нет. Это просто беллетризованное утверждение о том, что

а вовсе не 1, как неявно предполагалось в завещании. Тем не менее детьми, и, в частности, Димой эта история воспринимается как парадокс. Дима был ею совершенно потрясён и всё спрашивал:
— Так что, значит 17 всё-таки можно поделить пополам?
Но я молчал, и история так и осталась загадочной.
* * *
А между тем наступил октябрь, а с ним и новый учебный год — я имею в виду не школу, а наш кружок.
1 Последнее издание: А. К. Звонкин, С. К. Ландо, А. Л. Семёнов «Информатика. Алгоритмика», учебник для 6-х классов (М.: Просвещение, 2006).
2 Наш близкий друг, математик. Ныне — профессор одного из американских университетов.
3 Я хочу сделать здесь одно важное замечание. В дальнейшем тексте будет ещё много инвектив и филиппик в адрес школы. Я не хочу их убирать: именно так я тогда думал и так чувствовал. Однако несколько позже я приобрёл собственный — совсем небольшой — опыт работы в школе. Я не хочу сказать, что моя точка зрения кардинально изменилась; но она очень сильно обогатилась большим количеством дополнительных нюансов и более ясного понимания школьных проблем. Проблемы эти столь трудны, что мне сегодня кажется почти чудом тот факт, что школа умудряется решать хотя бы даже небольшую их часть. При этом она в очень большой степени лишена моральной поддержки со стороны общества. От авторов вроде меня учителя не слышат в свой адрес ничего кроме критики. Увы.
4 Г. И. Глейзер «История математики в школе, IV–VI классы», М.: Просвещение, 1981; то же, VII–VIII классы, 1982; то же, IX–X классы, 1983. Поразительно! Полез на полку за книгами, чтобы дать точную ссылку — а там лежат закладки на тех же местах!
5 М. Веннинджер «Модели многогранников», М.: Мир, 1974. У изображённых в книжке фигур очень смешные названия: малый битригональный додекоикосододекаэдр, большой кубокубооктаэдр, квазиромбокубооктаэдр, большой вывернутый обратнокурносый икосододекаэдр и т. п.
6 Г. А. Гальперин не только прекрасный математик (ныне — профессор Чикагского университета), но ещё и страстный любитель всевозможных задач на смекалку.
7 В. П. Труднев «Считай, смекай, отгадывай!» (М.: Просвещение, 1964).
8 Петина младшая сестричка.
9 С. Пейперт «Переворот в сознании: дети, компьютеры и плодотворные идеи» (М.: Педагогика, 1989.)
10 Напиток.
Рис. 88. Гомотетия на клетчатой бумаге.