Как ни удивительно это может поначалу звучать, крупные климатические изменения или другие наземные процессы влияют на продолжительность земных суток (рис. 1). Более того, это изменение надежно регистрируется современными приборами, и его изучение позволяет узнать много интересного о разных климатических и геофизических процессах. В этой задаче предлагается оценить изменение длительности суток, вызванное двумя типами эффектов — сильным землетрясением и сезонным изменением скорости ветров.

Крупные землетрясение происходят, когда механические напряжения, накопившиеся в земной коре во время медленного движения плит, достигают критической точки. Тогда происходит одномоментный сдвиг плит и резко высвобождается запасенная в напряжениях энергия. Во время самых крупных землетрясений смещение плит происходит на большой площади размером в сотни километров. Плиты при этом сдвигаются не только горизонтально, но и вертикально; бывает так, что в результате землетрясения заметно поднимается морское дно и на мелководье образуются новые острова.
Если землетрясение происходит непосредственно в земной тверди, то климатические процессы связаны лишь с атмосферой и гидросферой Земли. В планетарном масштабе циркуляция атмосферы не беспорядочна; на разных широтах и высотах она формирует характерные ячейки и порождает устойчивые воздушные течения (рис. 2).

Рис. 2. Основные паттерны атмосферной циркуляции для идеализированной модели Земли. Схема с сайта kids.britannica.com
В экваториальной зоне с востока на запад дуют пассаты, а в высоких широтах с запада на восток дуют западные ветры. Наблюдения показывают, что при глобальном усреднении западные ветра пересиливают восточные, так что в среднем атмосфера вращается на восток, по направлению вращения Земли, но при этом обгоняя сушу. Сезонные вариации солнечного потока приводят к изменению скоростей ветров, а также к смещению границ атмосферных ячеек. Из-за этого средняя по планете скорость вращения атмосферы относительно суши меняется регулярным образом.
Оцените, насколько изменится длительность суток: 1) после крупного землетрясения, поднявшего морское дно на 1 метр на площади 1000×1000 км, 2) во время сезонного усиления западных ветров, которое увеличивает среднюю скорость вращения атмосферы на экваторе на 1 м/с.
Первым делом надо четко понять, почему при этих процессах вообще может измениться длительность суток, то есть скорость вращения Земли. Вспомните формулы для описания вращения тела, вспомните вращательные явления, сопровождающие изменение формы тела (стандартная иллюстрация: вращающийся фигурист на льду прижимает руки к телу), и постарайтесь сосчитать эти изменения для двух предложенных явлений. Напомним, что для оценок по порядку величины не требуется гнаться за высокой точностью; погрешность оценки в 2–3 раза вполне допустима.
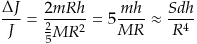
Если обычное линейное движение описывается скоростью и импульсом (произведением скорости на массу), то вращательное движение — угловой скоростью ω, моментом инерции J и их произведением — моментом импульса L = J·ω. Угловая скорость описывает быстроту вращения (она связана с периодом вращения: ω = 2π/T), а момент импульса характеризует «вращательную инертность» тела и различается для тел разной формы. Например, для однородного шара массой M и радиусом R момент инерции составляет J = 2MR2/5; для сферы той же массы и того же радиуса J = 2MR2/3, а для тонкого обруча с этими же параметрами J = MR2.
Законы механики гласят, что в отсутствие внешних сил, влияющих на вращение, неизменным остается именно момент импульса: L = const. И если в силу каких-то причин момент инерции тела изменился (а именно это и происходит при землетрясении) — изменится и угловая скорость вращения. Эти соображения помогут справиться с первой частью задачи.
Для решения второй части обратите внимание, что хоть момент инерции тут не меняется, зато всю Землю можно условно разделить на две подсистемы: атмосферу и «твердую Землю». Их суммарный момент импульса неизменен, но относительный вклад может меняться. Значит, изменится скорость вращения «твердой Земли», и как следствие — длительность суток, измеряемая именно по ее вращению.

Рис. 3. К расчету изменения скорости вращения Земли. Слева: поднятие участка земной коры изменяет момент инерции Земли, справа: изменение скорости вращения атмосферы в силу закона сохранения полного момента импульса влияет и на скорость вращения Земли
Для решения первой части задачи мысленно выделим из всей толщи Земли участок плиты площадью S и толщиной d (и, значит, массой m = ρSd), который приподнимается вверх на высоту h. Момент инерции этого участка раньше составлял mR2 (мы для простоты считаем, что этот участок располагался не слишком близко к полюсам Земли, поэтому расстояние от него до оси вращения Земли порядка радиуса Земли R), а теперь составляет m(R + h)2. Момент инерции оставшейся части Земли не изменился, поэтому полный момент инерции вырос на ΔJ = 2mRh. Относительное изменение момента инерции всей Земли получается равным
Подставляем числа: S = 1 млн км2, h = 1 м, R = 6 тыс. км, а для оценки d возьмем типичную толщину океанической коры (порядка 10 км). Тогда относительное увеличение момента инерции планеты составит по порядку величины 10−11. Поскольку момент импульса остается неизменным, то увеличение момента инерции сопровождается таким же по относительной величине уменьшением скорости вращения, а значит, таким же увеличением продолжительности суток. Итак, при выбранных параметрах землетрясения длительность суток скачкообразно увеличивается на ΔT ≈ 10−11 сут ≈ 1 микросекунда.
Для решения второй части задачи представим атмосферу в виде сферы массой m = 4πR2d ρ0, где ρ0 — плотность воздуха, а d — толщина тропосферы (10 км). Атмосфера вращается с запада на восток, по направлению вращения Земли. Ускорение вращения атмосферы на величину v = 1 м/с (на экваторе) приводит к увеличению момента импульса, запасенного в атмосфере, на ΔL = JΔω = J v/R = 2mvR/3. По закону сохранения полного момента импульса на столько же уменьшится и момент импульса всей оставшейся части Земли, включая приборы для измерения длительности суток. Относительное уменьшение момента импульса твердой Земли (и, следовательно, относительное увеличение длительности суток) составляет
где u = ωR ≈ 500 м/с — экваториальная скорость вращения земной поверхности. Подставив числа и умножив на длительность суток, получаем изменение продолжительности суток на Δt ≈ 3·10−9 сут ≈ 0,2 мc.
Колебания продолжительности суток в долю миллисекунды, конечно, не заметны в повседневной жизни. Однако они хорошо отслеживаются современными приборами. Существует специальная организация — Международная служба вращения Земли (МСВЗ), которая обрабатывает данные по вращению Земли и предоставляет их в виде временной зависимости специально определенных параметров.
Экспериментально измеренная продолжительность суток (length-of-day, LOD) за 1981–2012 годы приведена на рис. 4 (более подробные данные можно найти на сайте службы МСВЗ). На графике явно видно, что длительность суток действительно меняется в пределах нескольких миллисекунд и что в этом изменении прослеживаются периодические компоненты разных периодов. Самые плавные изменения, с масштабом более 2000 дней, наложены прямо на черный график; они вызваны астрономическими и геологическими причинами, например взаимодействием между мантией и внешним ядром. Вслед за ними показаны многолетние, затем очень регулярные сезонные и, наконец, совсем высокочастотные колебания (последние вызваны, прежде всего, приливными силами).

Рис. 4. Результаты измерения длительности суток за 1981–2012 годы. Черным показаны непосредственно данные, разными цветами — компоненты периодичности в разных диапазонах периодов (значения периода в днях приведены во вставке). Изображение с сайта intechopen.com
Любопытно заметить, что пики на графике многолетних колебаний не произвольны, а попадают на те года, когда наблюдалась очень сильная фаза Эль-Ниньо — одного из самых масштабных циклических явлений в земном климате (см. подробный рассказ на сайте oceanographers.ru). Оно усиливается раз в несколько лет, длится месяцами и затрагивает всю экваториальную часть Тихого океана от побережья Южной Америки до островов Юго-Восточной Азии. Во время активной фазы Эль-Ниньо температура океана в этой области повышается, и это сказывается на средней температуре на всей планете. Кроме этого, искажаются ячейки атмосферной циркуляции, изменяется средняя скорость вращения атмосферы и, в соответствии с результатами нашей задачи, изменяется длительность суток. Подробный анализ этого эффекта был выполнен в статье, опубликованной в 2003 году в журнале Global and Planetary Change. Не исключено, что в ближайшее время к этой теме будет вновь обращено повышенное внимание, ведь климатологи предсказывают, что во второй половине 2014 года нас вновь ожидает положительная фаза этого климатического колебания.
Возвращаясь к геофизике, стоит отметить, что совсем недавно было обнаружено, что небольшие, но резкие скачки в длительности суток совпадают с моментами столь же резких изменений геомагнитного поля. Естественно предположить, что причины обоих скачков связаны друг с другом и вызваны электромеханическими процессами взаимодействия между мантией и внешним ядром. Если это так, то сопоставление временных зависимостей двух столь разных величин позволит по-новому изучать то, что происходит в глубинных недрах Земли.
Заинтересовавшимся этой темой можно для первого знакомства порекомендовать популярную статью Н. С. Сидоренкова Природа нестабильностей вращения Земли, опубликованную в журнале «Природа» в 2004 году, а для более серьезного погружения — статью S.-H. Na, 2013. Earth Rotation — Basic Theory and Features и оригинальные публикации.




Рис. 1. Период вращения Земли вокруг своей оси не остается строго постоянным, а слегка изменяется во времени. Точное измерение длительности суток позволяет проследить за этим изменением и обнаружить в нем влияние самых разных эффектов. Изображение с сайта www2.fiu.edu