
Несмотря на то, что в 2018 году в физике элементарных частиц совсем ярких сенсаций не произошло, работа теоретиков и экспериментаторов была очень продуктивной. В первой части обзора основных результатов этого раздела физики мы говорили об успехах Большого адронного коллайдера, ситуации в исследованиях при низких энергиях и о планах по строительству новых установок. Во второй части обсуждаются главные достижения в физике нейтрино и результаты астрофизических наблюдений, полученные в прошедшем году.
Нейтрино — уникальные частицы. Физика нейтрино отличается от исследований на коллайдерах не только предметом исследований, не только инструментарием, но и ожиданиями самих ученых. Если на коллайдерах эпоха гарантированных фундаментальных открытий закончилась и дальше мы исследуем микромир практически вслепую, то нейтринные исследования совершенно точно принесут ответы на целый список важных вопросов: каковы массы нейтрино, чему равны параметры смешивания, есть ли в нейтринном секторе CP-нарушение и насколько сильно оно, совпадают ли нейтрино со своими античастицами или нет (или, другими словами, майорановские это частицы или дираковские), существуют ли дополнительные типы нейтрино и каковы они. На все эти четко поставленные вопросы мы рано или поздно получим количественные ответы, надо лишь дальше развивать технику и методику эксперимента.
В последние годы из данных мало-помалу стали выкристаллизовываться ответы на некоторые из них (см., например, обзор arXiv:1708.01186). Ограничения сверху на массы усиливаются, данные отдают предпочтение так называемому нормальному, а не обратному порядку масс нейтрино, а также появляются все более четкие указания на довольно сильное CP-нарушение в нейтринном секторе. Кажется, что осталось немного надавить — и природа начнет давать ответы. В этом смысле физика нейтрино — беспроигрышная ставка: ближайшее десятилетие принесет громкие открытия, а может быть, и новые Нобелевские премии (в 2015 году, напомним, Нобелевская премия была вручена за экспериментальное открытие осцилляций нейтрино).
Из всей богатой программы нейтринных исследований можно выделить самые запомнившиеся результаты 2018 года. В июне на крупнейшей конференции по физике нейтрино были представлены новые результаты эксперимента NOvA (см. подробную новость Эксперимент NOvA получил первые — и неожиданные — результаты с пучком антинейтрино). Были улучшены измерения параметров смешивания, подтверждено, что данные отдают предпочтение нормальному порядку нейтринных масс, а также была сделана попытка измерить эффекты CP-нарушения. Дело в том, что этот эксперимент может работать в двух режимах, переключаясь с нейтрино на антинейтрино и обратно, и это позволяет ему увидеть разницу в поведении частиц и античастиц. К своему удивлению, экспериментаторы обнаружили, что данные намекают на совсем иную величину CP-нарушения, чем та, что получалась в других экспериментах. Пока что погрешности велики, так что ни о каком серьезном парадоксе пока речи не идет, но в будущем придется разобраться с этим намеком на расхождение. Так или иначе, ответ на этот и многие другие вопросы будет получен в следующем десятилетии, когда заработают грандиозные нейтринные установки Hyper-Kamiokande и DUNE (рис. 1).
Еще большую загадку предъявили физикам обнародованные в мае 2018 года данные эксперимента MiniBooNE. История эта тянется еще с начала 2000-х, когда эксперимент LSND по результатам многолетних наблюдений обнаружил довольно сильный намек на осцилляции электронных антинейтрино в мюонные на дистанции всего в десятки метров. Для энергий нейтрино в десятки МэВ это необычно короткая дистанция, и с тремя известными сортами нейтрино так получиться не могло. Отчаянные оптимисты воспринимали эти данные как намек на новый, четвертый тип нейтрино, а пессимисты списывали все на несовершенство эксперимента.
Эксперимент MiniBooNE как раз был призван окончательно разобраться с загадкой LSND. В первых данных, опубликованных в 2009 году, действительно обнаружилось отклонение от обычной схемы с тремя нейтрино, но не слишком статистически значимое и не совсем такое, как получилось у LSND. Что ж, с проблемой надо было разбираться, поэтому экспериментаторы обновили установку, накопили уже в десять раз больше данных и в 2018 году обновили результаты. Отклонение сохранилось и окрепло (рис. 2); его статистическая значимость составила полновесные 4,7σ. Хотя оно не такое же, как у LSND, эти две аномалии удается «поженить» друг с другом подбором параметров, и тогда их суммарная статистическая значимость достигает сногсшибательных 6σ. Звучит как открытие года!

Рис. 2. Распределение событий, зарегистрированных детектором MiniBooNE, по энергии нейтрино. При низких энергиях видно сильное превышение данных (черные точки) над источниками фона (цветная гистограмма). График из статьи MiniBooNE Collaboration, 2018. Significant Excess of Electronlike Events in the MiniBooNE Short-Baseline Neutrino Experiment
Хотя некоторые теоретики принялись с удовольствием примерять это отклонение к тем или иным теориям Новой физики, в научном сообществе все же преобладает скептическое отношение к этому результату. И дело тут вовсе не в предвзятости. Если гипотеза о четвертом нейтрино верна, то такой же эффект на коротких дистанциях должен быть заметен в том же MiniBooNE, но в другом варианте измерений — с исчезновением нейтрино. Аналогичный сигнал должны были увидеть и другие нейтринные эксперименты. Но никакого подобного эффекта там нет. Поэтому многие физики склоняются к мысли, что, пока MiniBooNE не разберется со своим «внутренним конфликтом», к этому заявлению надо относиться осторожно. Так или иначе, сейчас в Фермилабе уже работает следующий эксперимент из этой серии, MicroBooNE, который должен будет вынести окончательный вердикт.
Любопытно отметить, что MiniBooNE — не единственный нейтринный эксперимент, наблюдающие подозрительные отклонения от трехнейтринной схемы. Аномалии в потоках нейтрино есть и в экспериментах, проводимых вблизи ядерных реакторов, например, в корейском NEOS (arXiv:1610.05134) и в отечественном эксперименте DANSS (arXiv:1804.04046). Авторы статей arXiv:1801.06467 и arXiv:1803.10661, объединив результаты этих двух экспериментов, утверждают, что статистическая значимость их совместного отклонения превышает 3σ и указывает на четвертое нейтрино с массой около 1 эВ (рис. 3). Опровержений этих заявлений пока не прозвучало.

Рис. 3. Данные экспериментов NEOS и DANSS намекают на существование четвертого типа нейтрино с массой около 1 эВ и заметным смешиванием с электронным нейтрино. Рисунок из статьи S. Gariazzo et al., 2018. Model-independent νe short-baseline oscillations from reactor spectral ratios
Одно из самых ошеломляющих открытий современной физики состоит в том, что эволюция звезд и прочих космических объектов, а также Вселенной в целом, неразрывно связана с законами взаимодействий элементарных частиц. Известно несчетное количество связей между микромиром и астрофизическими и космологическими явлениями, и каждый год появляются новые. Вот и 2018 год принес несколько громких астрофизических результатов, которые нашли свое отражение в современной ФЭЧ.
Начнем с темы, которая на слуху уже несколько десятилетий, но в которой, несмотря на впечатляющий экспериментальный прогресс, так и не удается сделать главное открытие — поиск частиц темной материи. Темная материя существует, ее влияние прослеживается в целом ряде независимых друг от друга астрофизических и космологических процессов, но до сих пор не удается отловить отдельные частицы, из которых она состоит. Мы неоднократно писали об экспериментах по прямому поиску частиц темной материи (см. подробную новость 2016 года Рекордные по чувствительности эксперименты LUX и PandaX пока не поймали частицы темной материи, а также «памятку» для охотников за темной материей в самом начале той новости).
В 2018 году поиск продолжился, и в мае появились данные эксперимента XENON1T (arXiv:1805.12562). Сигнала от рассеяния частиц темной материи с массой от нескольких ГэВ до ТэВ по-прежнему не видно, что позволило наложить еще более сильные ограничения сверху на сечение их рассеяния с обычным веществом. Этот отрицательный результат, разумеется, не закрывает темную материю саму по себе — ведь заранее неизвестно, какова масса ее частиц и как они взаимодействуют с атомами, — но он заставляет теоретиков отбрасывать некоторые теоретические модели, согласно которым частицы темной материи уже должны быть видны. Сейчас коллаборация работает над строительством еще более крупного детектора, XENONnT, который должен заработать в 2019 году. Ей на пятки наступают конкуренты (DarkSide G2, LZ, DARWIN), так что через несколько лет их суммарная чувствительность повысится более чем на порядок.

Рис. 4. Детектор XENON1T, несмотря на рекордную чувствительность, пока не смог поймать частицы темной материи. Фото с сайта home.cern
Среди многочисленных отрицательных результатов по поиску частиц темной материи выделяется смелое заявление коллаборации DAMA/LIBRA о безоговорочной регистрации этих частиц. История эта длится больше 10 лет (см. нашу новость 2008 года Эксперимент DAMA по-прежнему «видит» частицы темной материи), статистическая значимость сигнала уже превышает 10σ, однако практически никто, кроме самой коллаборации, в это заявление не верит. Дело в том, что другие, намного более чувствительные детекторы темной материи уже закрыли ту область параметров, на которую указывает сигнал DAMA/LIBRA. Правда, тут есть одно «но». Рабочим материалом в DAMA/LIBRA были кристаллы йодида натрия, а в современных, более чувствительных экспериментах — другие вещества (например, ксенон). Но никто заранее не знает, как именно частицы темной материи должны взаимодействовать с атомами. Поэтому нельзя сбрасывать со счетов пусть экстравагантную, но все же возможность того, что именно ядра натрия или йода в силу своего устройства как-то особенно «живо» реагируют с пролетающими мимо частицами темной материи.
Для того, чтобы разобраться с загадочным результатом DAMA/LIBRA, требуется провести новый эксперимент с точно таким же рабочим веществом. Такой эксперимент, COSINE-100, был запущен в Корее два года назад, и совсем недавно, в декабре 2018 года в журнале Nature вышла статья с первыми его результатами. Два месяца наблюдений, с октября по декабрь 2016 года, никаких подозрительных сигналов не принесли. Эти данные уже вступают в противоречие с данными DAMA/LIBRA (рис. 5), но для окончательного вердикта потребуется обработать данные 2017–2018 годов.

Рис. 5. Отрицательный результат эксперимента COSINE-100 вступает в противоречие с заявлением коллаборации DAMA/LIBRA о регистрации частиц темной материи. Черные точки — ограничение сверху на сечение рассеяния частиц темной материи по данным COSINE-100, пунктирные области — предполагаемые значения масс и сечений, полученные DAMA/LIBRA. График из статьи The COSINE-100 Collaboration, 2018. An experiment to search for dark-matter interactions using sodium iodide detectors
Мы уже упоминали, что темная материя «видна» в самых разных космических явлениях и на самых разных этапах эволюции Вселенной. Самые сильные свидетельства относятся к ранней Вселенной (структура реликтового излучения, красное смещение z около 1000) и к космологически современной эпохе (z порядка 1). Однако не исключено, что мы способны зарегистрировать влияние темной материи и в эпоху «космического рассвета», в эру первых звезд (z ≈ 20). В начале 2018 года в журнале Nature были опубликованы данные установки EDGES, которая изучала небо в радиодиапазоне и обнаружила линию поглощения на частоте около 75 МГц (рис. 6). Это открытие замечательное, долгожданное, возможно, даже заслуживающее Нобелевской премии, — но в целом не неожиданное.

Рис. 6. Обнаруженный экспериментом EDGES провал в интенсивности усредненного по небу микроволнового излучения при красном смещении z от 15 до 20, вызванный светом первых звезд. График из статьи J. D. Bowman et al., 2018. An absorption profile centred at 78 megahertz in the sky-averaged spectrum
Суть, вкратце, вот в чем. Когда загорелись первые звезды, они осветили Вселенную. Их свет, пролетая сквозь огромные облака атомарного водорода, перебрасывал электроны в такое состояние, что атомы водорода начинали поглощать реликтовое излучение с длиной волны 21 см (частота излучения — 1420 МГц). В итоге в спектре микроволнового излучения возник небольшой провал. Поскольку все это происходило в эпоху, отвечающую красному смещению z около 20, то к настоящему времени частота, на которой возник провал, уменьшилась в 1 + z раз и приходится примерно на 70 МГц. Именно его и зарегистрировал эксперимент EDGES, подтвердив представления астрофизиков о той ранней эпохе (более подробные рассказы см. на сайтах N+1, Quora, Quanta).
Неожиданной тут оказалась глубина провала — раза в два больше, чем предсказывалось. Возможны разные варианты объяснения; один из них — новое, негравитационное взаимодействие обычного газа с темной материей, которое дополнительно охладило облака водорода к моменту «космического рассвета». Эта возможность показалась редакторам Nature настолько любопытной, что вслед за экспериментальным сообщением была опубликована и теоретическая статья с обсуждением этой гипотезы. Идея вызвала заметный ажиотаж, — еще бы, мы впервые косвенно видим эффекты негравитационных взаимодействий темной материи! В последующие месяцы вышло несколько десятков статей с обсуждением того, в какие из существующих моделей темной материи вписывается этот результат, — если он, конечно, верен. Оказалось, что вписывается он с большим трудом (см. например статьи arXiv:1803.03245 и arXiv:1803.03091). Дальнейший прогресс тут возможен только с новыми и более точными данными.
Напоследок — самое вкусное. Три года назад человечество научилось «слушать» Вселенную с помощью гравитационных волн. Первые зарегистрированные гравитационно-волновые всплески были порождены слиянием черных дыр, и никакой особенной пользы для физики частиц они не принесли. Но вот событие GW170817 — гравитационно-волновой всплеск, пришедший на Землю 17 августа 2017 года, — оказался особенным: он был сигналом от слияния двух нейтронных звезд. Это событие породило не только гравитационные волны, но и гамма-всплеск, оптическое и ультрафиолетовое свечение, а чуть позже — рентгеновский сигнал и радиовспышку. В октябре 2017 года вышла совершенно шикарная статья за авторством нескольких десятков (!) коллабораций, в которой, как в детективе, перед нами разворачивается охота за уликами и раскрывается картина происшествия.
Формально, это событие относится к 2017 году, но его последствия для физики частиц ощущались в течение всего последующего года. Дело в том, что по форме гравитационного-волнового всплеска можно восстановить не только массы, но и радиусы нейтронных звезд, а также величину приливной деформации в последнее мгновение перед слиянием. А это, в свою очередь, зависит от уравнения состояния ядерной материи внутри нейтронной звезды. То, что раньше всегда было уделом теоретического моделирования и косвенных проверок, стало доступно прямому экспериментальному измерению!

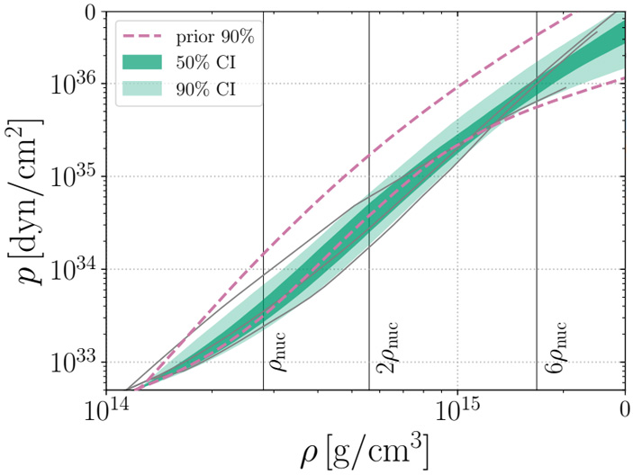
Рис. 7. Уравнение состояния (зависимость давления от плотности) ядерной материи в нейтронных звездах, полученное по результатам обработки гравитационно-волнового всплеска GW170817. Цветные полосы показывают результаты измерений, а область, очерченная пунктирами, — то, что предполагалось изначально. Рисунок из статьи LIGO Scientific Collaboration, 2018. GW170817: Measurements of Neutron Star Radii and Equation of State
В мае 2018 года коллаборации LIGO и Virgo выложили подробную статью, посвященную этим измерениям (arXiv:1805.11581). Кроме этого, за минувший год появилось свыше сотни статей, в которых эти данные анализируются вдоль и поперек. Как изменятся результаты, если внутри нейтронной звезды есть кварковая сердцевина? А если там накоплено заметное количество темной материи? Искажает ли профиль всплеска кора нейтронной звезды? Произошел ли из-за сильной деформации фазовый переход внутри нейтронных звезд в последние секунды перед слиянием?
Подобные вопросы будут интенсивно обсуждаться и дальше. И безусловно, каждый новый гравитационно-волновой всплеск от слияния нейтронных звезд породит и всплеск публикационной активности теоретиков. И сейчас нам остается только предвкушать, насколько бурно будет развиваться эта область ядерной физики через пару-тройку лет, когда мы начнем регистрировать слияния нейтронных звезд каждый месяц.
См. также:
Физика элементарных частиц в 2018 году. Часть 1, «Элементы», 09.01.2019.
Прошу извинить, что текст получился очень длинным. Но, чтобы можно было понять написанное, по-другому не получается.Уважаемый nicolaus,
1. Обратный процесс с "нейтральными токами"Напрямую это невозможно, т.к. Z бозон не способен менять тип кварка.
c + Z -> t.
2. Обратный обычный распадЭто пожалуйста. Но только этот W с больной энергией сначала надо испустить. А для этого нужен кварк с большой энергией, да и вероятность испускания W невелика. Но в принципе процесс возможен.
s + W -> t.














Рис. 1. Эксперимент DUNE станет в следующем десятилетии главной установкой по измерению нейтринных осцилляций. Рисунок с сайта dunescience.org