
Коллаборация Обсерватории космических лучей им. Пьера Оже докладывает об экспериментальном указании на то, что космические лучи (ядра элементов от водорода до железа, летящие из астрофизических источников) с энергиями в миллионы раз больше энергии протонов в БАК прилетают не из нашей Галактики. Вопрос о происхождении этих лучей стоял с момента их первого обнаружения в 1960-х годах. Теперь загадка решена. Оказалось, что лучи с энергией больше 8×1018 эВ (около 1,5 Дж) примерно на 6% чаще прилетают с одной половины неба, чем с другой. Максимум потока находится в 120° от центра Млечного Пути. Сигнал наблюдается со статистической значимостью 5,4σ и основан на наблюдении более чем 30 000 попавших в земную атмосферу космических лучей, что примерно в восемь раз больше, чем в других экспериментах.
Космические лучи изучаются уже около сотни лет. Именно в космических лучах были сделаны многие выдающиеся открытия: первое обнаружение позитрона, мюона, π- и K-мезонов, гиперонов, и многие другие. Долгое время — до появления больших ускорителей — космические лучи были единственным источником энергичных элементарных частиц. И сейчас астрофизика высоких энергий постоянно приносит новые и новые открытия. А с космическими лучами ультравысоких энергий (более 1018 эВ, см. Ultra-high-energy cosmic ray) давно связана одна из самых интригующих тайн современной физики: их энергия настолько огромна, что трудно даже представить, в каких астрономических процессах они могут рождаться. Сегодня мы сделали без преувеличения гигантский шаг к разгадке этой тайны.
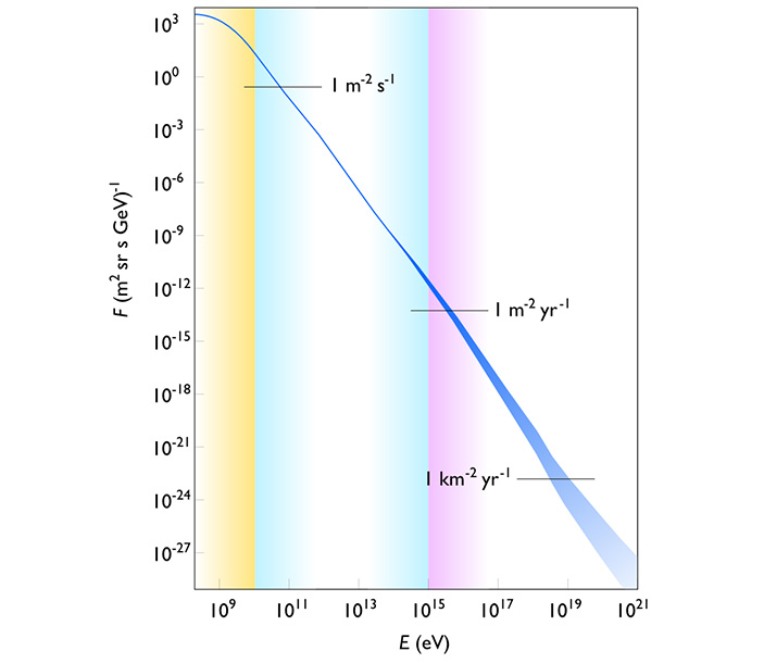
Космические лучи можно классифицировать по их энергии. Дело в том, что от разных источников приходят космические лучи разных энергий, так что такой выбор классификации вполне естественный. Наибольшее количество космических лучей происходит из Солнца, их энергия достигает примерно 10 ГэВ (1010 эВ), а поток составляет примерно 10 000 частиц в секунду на квадратный метр поверхности. При увеличении энергии поток космических лучей падает по степенному закону (рис. 1). Космические лучи, происходящие из различных источников внутри нашей Галактики имеют энергии примерно до 1018 эВ. Поток при энергии 1016 эВ составляет одну частицу на квадратный метр в год. Наиболее энергичные лучи приходят к нам из неизвестных источников за пределами Млечного Пути. Их спектр начинается от 1018 эВ и простирается до 1020 эВ. Обычно такие лучи называют космическими лучами ультравысоких энергий. Их количество уже очень мало: можно ожидать не больше одной частицы с энергией 1020 эВ на квадратный километр в столетие.
Почему ученые думают, что частицы с ультравысокими энергиями имеют внегалактическое происхождение? Потому что для разгона частиц до таких энергий необходимы очень сильные магнитные поля огромной протяженности (общее объяснение разгона частиц в астрофизических источниках можно прочитать в задаче Степенная зависимость из ничего). Грубо говоря, чем больше поле и чем больший объем оно занимает, тем больше энергия частиц, разгоняемых в этом поле. При этом ученым известно довольно мало причин для возникновения таких полей. Некоторые объекты, такие как нейтронные звезды или, например, квазары, могут создавать гигантские поля. Однако, размер таких объектов достаточно ограничен (разумеется, по астрономическим меркам; так-то квазары — скорее всего, это активные ядра галактик — совсем не маленькие). Другие объекты, например, скопления галактик, создают менее интенсивные поля, но зато их протяженность достигает миллионов световых лет. И те, и другие рассматриваются как возможные кандидаты на роль ускорителей, порождающих космические лучи ультравысоких энергий. И ни того, ни другого нет в нашей Галактике. Про скопления галактик это очевидно. С компактными источниками тоже все достаточно просто: если бы в Млечном Пути был хотя бы один такой источник, то в направлениях прилета наблюдалась бы очень сильная неоднородность, указывающая на этот источник. Но такой неоднородности нет. Таким образом, у физиков еще до публикации обсуждаемого результата были достаточно веские основания считать, что космические лучи ультравысоких энергий имеют внегалактическое происхождение. Новые данные, полученные в обсерватории им. Пьера Оже, поставили окончательную точку в этой дискуссии.
Итак, источников космических лучей ультравысоких энергий нет ни в Млечном Пути, ни в его ближайших окрестностях. Однако, где же они? Какие чудовищные источники разгоняют частицы до таких невероятных энергий? Чтобы это узнать, необходимо выяснить, откуда прилетают эти частицы. Но это не так просто, ведь поток таких частиц низкий, а чтобы выяснить хотя бы примерное направление их прилета (не говоря уже о конкретном источнике), требуется достаточная статистика. Получить ее можно, лишь обозревая значительную часть поверхности Земли.
Обсерватория им. Пьера Оже (Pierre Auger Observatory), находящаяся близ городка Маларгуэ в Аргентине, занимает площадь 3000 км2 (это больше площади Москвы — 2561,5 км2 с учетом Новой Москвы). Она была создана специально для исследования космических лучей и порождаемых ими в атмосфере каскадов вторичных элементарных частиц, которые называют ливнями (см. Космические дожди).
Космические лучи с энергиями больше 1014 эВ рождают ливни, которые достаточно велики, чтобы достигнуть поверхности Земли. При энергии луча 1018 эВ количество частиц в ливне достигает 1010, при этом площадь ливня, когда он доходит до Земли, составляет около 20 км2. Ливень распространяется в атмосфере со скоростью, близкой к скорости света. В любой момент времени частицы ливня расположены в достаточно тонком диске, который расширяется по мере приближения к земле (рис. 2).

Рис. 2. В обсерватории им. Пьера Оже ливень частиц, рождающийся в атмосфере при прохождении через нее космического луча, регистрируется при помощи детекторов, расставленных по земле (желтые бочки), и детекторов флюоресцентного свечения, рождающегося в атмосфере (справа внизу). По времени регистрации сигнала в поверхностных детекторах можно судить о направлении прилета первоначальной частицы. Рисунок с сайта apcauger.in2p3.fr
В обсерватории им. Пьера Оже используются детекторы двух типов: флюоресцентные и поверхностные. Флюоресцентные детекторы — это очень чувствительные камеры, которые смотрят на атмосферу над обсерваторией и регистрируют флюоресцентное свечение атмосферного азота, которое появляется при прохождении ливня. Поверхностные детекторы расставлены на земле в узлах треугольной сетки с шагом 1,5 км, всего их 1600 штук (рис. 3). Они регистрируют сигнал непосредственно от частиц ливня.

Рис. 3. Один из поверхностных детекторов обсерватории им. Пьера Оже. Фото из статьи R. Smida, 2010. Observation of Ultra-high Energy Cosmic Rays
Важно, что, когда диск из частиц ливня достигает земли, сигнал в разных детекторах появляется в разное время. Это позволяет восстановить направление, откуда пришел ливень (и родившая его частица) с точностью до 1°. Такая точность может показаться не очень большой (1° — это, например, вдвое больше углового размера Луны). Но в данном случае этого оказывается достаточно. Космические лучи на своем пути сквозь межгалактическое пространство и, особенно, сквозь нашу Галактику, отклоняются во встречающихся магнитных полях, причем угол отклонения пропорционален заряду частицы. Заряд космических лучей ультравысоких энергий в среднем составляет от 1,7 до 5 в единицах заряда протона (то есть частицами здесь мы называем не только протоны, но и ядра: в составе космических лучей имеются ядра элементов вплоть до железа). В зависимости от ориентации вектора прилета частицы относительно магнитного поля Млечного Пути угол отклонения может составлять до нескольких десятков градусов. Зная магнитное поле Галактики, можно было бы восстановить истинное направление прилета (каким оно было до отклонения в магнитном поле). Однако имеющиеся модели магнитного поля Млечного Пути пока не позволяют проводить такой анализ с достаточной точностью. Поэтому пока что точность определения направления прилета в обсуждаемом эксперименте в любом случае больше точности, которую мы в принципе можем достигнуть. Кроме того, первоочередная задача состоит в обнаружении хотя бы какой-нибудь неоднородности в направлениях прилета космических лучей ультравысоких энергий, а для этого большая точность не требуется.
В обсуждаемой статье используются данные с поверхностных детекторов обсерватории им. Пьера Оже. Каждый такой детектор — это цилиндрический бак с водой высокой степени очистки объемом 12 м3, глубиной 1,2 м и площадью основания 10 м2. В баке находятся три 9-дюймовых фотоумножителя, которые регистрируют черенковское излучение, рождающееся в воде при прохождении через нее частиц ливня. Питание фотоумножителей осуществляется с помощью солнечных батарей (и аккумулятора по ночам). Считываемый сигнал передается по радио. Синхронизация сигналов с разных детекторов производится по GPS.
Итак, результаты! На рисунке 4 показано распределение потока космических лучей с энергиями более 8×1018 эВ по небесной сфере в экваториальных координатах. Красное пятно обозначает более высокий поток, а синее — более низкий. Один тот факт, что максимум этого распределения находится вдалеке от направления на Галактический центр уже указывает на внегалактическую природу этих космических лучей. Кроме того, при энергиях от 4×1018 эВ до 8×1018 эВ неоднородность потока не обнаружена. Это объясняется тем, что угол отклонения космических лучей в магнитном поле Галактики при этих энергиях очень большой и мы просто не можем наблюдать неоднородность направлений их прилета. Этот факт еще раз подтверждает внегалактическую природу космических лучей ультравысоких энергий — ведь если бы неоднородность направлений прилета все-таки обнаружилась, это свидетельствовало бы о том, что такие частицы рождаются внутри нашей Галактики, а не за ее пределами. Обратите внимание, что в численном выражении неоднородность очень мала: голубой и красный цвета соответствуют близким значениям (см. цифры на цветовой шкале). Именно поэтому обнаружение неоднородности заняло 12 лет работы эксперимента. Здесь представлены результаты анализа данных, набранных с 2004 по 2016 год.

Рис. 4. Распределение потока космических лучей с энергиями более 8×1018 эВ по небесной сфере в экваториальных координатах. Плоскость Млечного Пути показана пунктирной линией, направление на центр нашей галактики — звездочкой. Белый круг вокруг северного полюса обозначает область, недоступную для наблюдений с места, где расположена обсерватория Пьера Оже. Изображение из обсуждаемой статьи в Science
На рисунке 5 распределение направлений прилета лучей показано в галактических координатах. Центр красного пятна указывает на направление, откуда преимущественно летят космические лучи ультравысоких энергий. Такое направление находится по координатам 100° прямого восхождения и −24° склонения со статистической значимостью в 5,4σ. Из красного пятна поток космических лучей на 6,5% выше, чем из синего.

Рис. 5. Данные с рисунка 4 в галактических координатах. Направление на галактический центр находится в центре изображения. Крестиком показано направление на центр красного пятна, два контура вокруг крестика обозначают 68- и 95-процентный доверительные интервалы. Показано направление на максимум распределения галактик по данным каталога 2MRS (ромбик), а стрелки показывают, как частицы с энергиями E/Z = 2×1018 эВ и 5×1018 эВ, прилетающие с этого направления, отклоняются в магнитном поле Млечного Пути (E — энергия, Z — заряд космического луча). Изображение из обсуждаемой статьи в Science
Полученные результаты пока не указывают четко, какова природа источников космических лучей ультравысоких энергий. Можно предположить, что распределение таких источников примерно совпадает с распределением галактик во Вселенной, у которого есть неоднородность, поскольку галактики в окрестностях Млечного Пути распределены сильно неоднородно. В направлении, указанном ромбиком на рисунке 5, наблюдаемое количество галактик несколько больше среднего. Это направление на 55° отстоит от центра красного пятна. Однако если принять во внимание магнитное поле Галактики, которое отклоняет лучи (на рис. 5 это отклонение показано стрелками), то получается, что данные по направлению на максимум потока космических лучей и распределению галактик согласуются. То есть может быть, что смещение направлений прилета космических лучей объясняется просто отклонением космических лучей в магнитном поле Млечного Пути. Это свидетельствует в пользу верности нашего предположения о том, что распределение источников и распределение галактик совпадают. Однако пока совершенно не ясно, что это за источники — квазары, скопления галактик, или что-нибудь другое.
Эти результаты могут показаться не такими уж впечатляющими, но на самом деле это значительный успех. Официальный докладчик обсерватории им. Пьера Оже профессор Карл-Хайнс Камперт (Karl-Heinz Kampert) так высказался об этой работе: «Мы стали намного ближе к решению очень интересного вопроса для астрофизиков: загадки того, где и как рождаются эти экстраординарные частицы. Наши наблюдения дают неопровержимое доказательство того, что места их ускорения находятся за пределами Млечного Пути». Профессор Алан Уотсон (Alan A. Watson), заслуженный ученый и один из основателей эксперимента, рассматривает этот результат, как один из самых впечатляющих из всех, что получены коллаборацией обсерватории. И правда: более 50 лет природа космических лучей ультравысоких энергий была полнейшей загадкой для физиков, а сейчас мы впервые подступили к ее разгадке.
Следующий шаг — сопоставление направлений прилета космических лучей с каталогами различных объектов во Вселенной. Если обнаружится корреляция с определенным типом объектов, будет ясно, в каком направлении нужно двигаться дальше. И можно надеяться, что недалек тот день, когда мы наконец выясним, какой именно астрономический монстр разгоняет частицы до ультравысоких энергий.
Источник: The Pierre Auger Collaboration. Observation of a large-scale anisotropy in the arrival directions of cosmic rays above 8×1018 eV // Science. 2017. V. 357. DOI: 10.1126/science.aan4338.
Михаил Столповский




Рис. 1. Энергетический спектр космических лучей — зависимость потока космических лучей от их энергии. В первом приближении поток падает по степенному закону с ростом энергии. При более детальном рассмотрении наблюдаются две особенности (нижние горизонтальные отсечки), два перелома кривой, традиционно называемые «колено» (Knee) в районе 1016 эВ, и «лодыжка» (Ankle) при 1018 эВ. Обе особенности указывают на то, что до перелома спектра и после него действуют разные механизмы разгона частиц. В частности, при энергиях выше «лодыжки» спектра начинается область внегалактических космических лучей. Рисунок с сайта en.wikipedia.org