
Почти все дети до 3–4 лет ведут себя как абсолютные эгоисты, однако к 7–8 годам они начинают думать и о других. Европейские психологи установили, что забота о ближнем у детей обусловлена не столько бескорыстным желанием помочь, сколько эгалитаризмом — стремлением к равенству. Одновременно с эгалитаризмом у детей развивается парохиализм — преимущественная забота о членах «своей» социальной группы, причем у мальчиков эта черта выражена сильнее, чем у девочек. Полученные результаты согласуются с теорией, согласно которой у первобытных людей альтруизм, эгалитаризм и парохиализм развивались параллельно под действием одного и того же определяющего фактора — частых межгрупповых конфликтов.
Альтруизм широко распространен в животном мире и встречается даже у бактерий, о чём неоднократно сообщали «Элементы». В подавляющем большинстве случаев, однако, альтруистическое поведение у животных либо направлено на близких родственников (что хорошо объясняется теорией родственного отбора), либо основано на принципе «ты мне — я тебе» (так называемый «реципрокный альтруизм»). По-настоящему бескорыстная забота о неродственниках в природе встречается очень редко (см. Шимпанзе способны к бескорыстной взаимопомощи, «Элементы», 13.03.2006). Есть основания полагать, что человек — чуть ли не единственный вид животных, у которого такое поведение получило заметное развитие. Впрочем, и люди гораздо охотнее помогают «своим», чем «чужим», хотя понятие «свой» для нас не всегда совпадает с понятием «родственник».
Недавно была предложена интересная теория, согласно которой альтруизм у людей развился под влиянием частых межгрупповых конфликтов (см.: Choi J. K., Bowles S. The coevolution of parochial altruism and war // Science. 2007. V. 318. P. 636–640). Согласно этой теории, альтруизм у наших предков был направлен в основном на членов «своей» группы (стада). При помощи математических моделей было показано, что альтруизм мог развиваться только в комплексе с так называемым парохиализмом — враждебностью к чужакам. В условиях постоянных войн с соседями сочетание внутригруппового альтруизма с парохиализмом обеспечивает наибольшие шансы на выживание и успешное размножение индивидуума. Получается, что такие, казалось бы, противоположные свойства человека, как доброта и воинственность, развивались в едином комплексе: ни та, ни другая из этих черт по отдельности не приносили бы пользы своим обладателям (см. также: Межгрупповая конкуренция способствует внутригрупповой кооперации, «Элементы», 28.05.2007).
Для проверки этой теории необходимы факты, которые можно получить, в частности, при помощи психологических экспериментов. Как ни странно, мы до сих пор очень мало знаем о том, как происходит становление альтруизма и парохиализма в ходе развития детей. Работа швейцарских и германских психологов, опубликованная в последнем номере журнала Nature, отчасти восполняет этот пробел.
В эксперименте приняли участие 229 швейцарских детей в возрасте от 3 до 8 лет, среди которых не было близких родственников. Каждого ребенка просили выполнить три простых задания.
В первом случае ребенок должен был выбрать один из двух вариантов: либо он сам получит конфету, а другой ребенок нет, либо обоим дадут по конфете (распределение 1,1 или 1,0). Здесь проверялось желание сделать добро другому без всякого ущерба для себя (поскольку сам испытуемый получал одну конфету независимо от сделанного им выбора).
Во втором случае нужно было выбрать между вариантами 1,1 и 1,2. Испытуемый и на этот раз получал одну конфету независимо от принятого им решения, однако от него зависело, сколько конфет дадут другому: одну или две. Этот тест «на завистливость» был нужен, в частности, для того, чтобы вскрыть истинные мотивы тех детей, которые в первом тесте выбрали вариант 1,1. Почему они «присудили» другому конфету? Те дети, которые просто желали другому добра, выберут во втором тесте вариант 1,2 (это можно интерпретировать как стремление максимизировать выгоду, получаемую другим). Те же, кто выбрал в первом тесте вариант 1,1 из-за любви к равенству и справедливости, во втором тесте тоже должны выбрать вариант 1,1. Ведь это нечестно, если мне дадут только одну конфету, а ему две.
В третьем случае выбор был самым трудным: взять две конфеты себе или поделить их поровну (1,1 или 2,0). Здесь ребенок мог обеспечить ближнего конфетой только с ущербом для себя, а это уже настоящий альтруизм.
Все тесты были анонимными: ребенок не знал, с кем именно ему предлагают поделиться. Ему показывали фотографию целой группы детей и объясняли, что конфета достанется кому-то одному из них. Кроме того, ребенка убеждали, что о его решении никто не узнает, и поэтому не будет ни обид, ни благодарности. Таким образом ученые старались исключить любые эгоистические мотивы (реципрокный альтруизм, боязнь испортить с кем-то отношения и т. п.), которыми может руководствоваться ребенок, делясь конфетами в реальной жизни.
Чтобы выяснить ситуацию с парохиальностью, исследователи использовали два типа групповых фотографий. В одном случае на снимке были дети из того же класса или группы детского садика, что и испытуемый (ситуация «свой»). В другом случае использовали фотографию незнакомых детей (ситуация «чужой»).
Такая комбинация тестов позволила получить весьма детальную и достоверную информацию о мотивах социального поведения детей.
Сначала исследователи проанализировали результаты тестов для ситуации «свой».
Выяснилось, что большинство трех- и четырехлетних детей ведут себя как абсолютные эгоисты. Делая выбор, маленький ребенок обращает внимание только на то, сколько конфет достанется ему самому. Судьба анонимного «партнера» ему совершенно безразлична. В первом и втором тестах ребенок-эгоист выбирает один из двух вариантов наугад, случайным образом, а в третьем всегда берет обе конфеты себе. В соответствии с этим у трех- и четырехлетних детей частота выбора любого из двух вариантов в тестах 1 и 2 статистически не отличалась от 50%, а в тесте 3 только 8,7% детей выбрали вариант 1,1, то есть поделились с партнером.
Для детей в возрасте 5–6 лет результаты первого теста оказались такими же. Во втором тесте наметилось небольшое увеличение доли детей, выбирающих вариант 1,1 (то есть тех, кто, получив одну конфету, не хочет, чтобы другому досталось две). Третий тест выявил небольшой рост числа детей, готовых поделиться с анонимным партнером (22%).
Ситуация оказалась резко иной в старшей возрастной группе (7–8 лет). Почти половина (45%) детей этого возраста продемонстрировали альтруистическое поведение (поделились конфетой) в тесте 3. В тесте 1 подавляющее большинство детей (78%) выбрали вариант 1,1, то есть проявили заботу о ближнем без ущерба для себя. Тест 2 вскрыл истинные мотивы этой заботы. 80% детей во втором тесте выбрали вариант 1,1, то есть не пожелали, чтобы другому ребенку досталась лишняя конфета. Из этого авторы делают вывод, что забота о других, выявленная в тестах 1 и 3, основана не на желании сделать максимум добра ближнему, а на стремлении к равенству и справедливости. Это стремление проявляется в том, что дети отвергают «нечестную» дележку как в свою, так и в чужую пользу.

До сих пор речь шла о результатах раздельного анализа трех тестов. Дополнительную информацию дало рассмотрение всех трех тестов вместе. Это позволило разделить детей на 5 групп (см. рис. 1):
1) «вредины», выбравшие во всех трех тестах тот вариант, при котором партнеру достается меньше всего конфет;
2) «добряки», всегда выбиравшие тот вариант, при котором партнер получает максимальное число конфет;
3) дети, выбравшие наилучшие для партнера варианты в тестах 1 и 2, но отказавшиеся поделиться в тесте 3, то есть готовые делать добро лишь до тех пор, пока это не требует жертв с их стороны («умеренные добряки»);
4) «любители справедливости», которые всегда делят конфеты поровну;
5) «умеренные любители справедливости» — те, кто выбирает равную дележку в тестах 1 и 2, но поступает эгоистично в тесте 3, когда ради «торжества справедливости» пришлось бы пожертвовать конфету.
Доля «вредин» среди детей от 3 до 6 лет составляет 22%; в возрасте 7–8 лет она сокращается до 14%. Авторы отмечают, что примерно столько же вредных личностей насчитывается и среди взрослых.
Доля «добряков», как ни странно, не меняется с возрастом: таких беззаветно добрых детей оказалось около 5% во всех возрастных группах. Доля «умеренных добряков» сокращается от 39% в возрасте 3–4 лет до 11% в 7–8 лет.
Доля «любителей справедливости» стремительно растет с возрастом: от 4% в младшей возрастной группе до 30% в старшей. Растет также и доля «умеренных любителей справедливости» (от 17% до 30%).
Эти результаты заставляют задуматься. Какую роль играют в нашем обществе 5% добряков, не они ли дают нам моральные ориентиры, не на них ли держится мир? А если так, почему их всего 5%? Может быть, потому, что излишнее размножение беззаветных альтруистов создает слишком благоприятную среду для эгоистов, которые будут паразитировать на чужой доброте? С этих позиций становится понятной и ключевая роль «любителей справедливости»: они сдерживают развитие паразитизма.
Ученые также установили, что дети, имеющие братьев или сестер, делятся конфетами на 28% менее охотно, чем единственные дети в семье. Кроме того, младшие братья и сестры проявляют желание поделиться на 17% реже, чем старшие. Таким образом, наличие братьев и сестер, особенно старших, не способствует развитию альтруизма.
Интересные результаты были получены при анализе тестов, в которых «анонимным партнером» был незнакомый ребенок (ситуация «чужой»). В целом, как и следовало ожидать, дети проявляли гораздо меньше заботы о незнакомых партнерах, чем о «своих», причем это справедливо для всех возрастных групп. В младшей возрастной группе (3–4 года) это различие выявляется только в тесте 1, в средней — в тестах 1 и 2, а в старшей — в тестах 1 и 3.

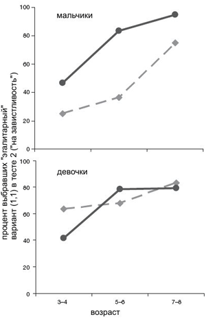
Самая контрастная картина получилась при раздельном анализе результатов, показанных мальчиками и девочками в тесте 2 («проверка на завистливость»). Девочки, как выяснилось, практически не делают различий между своими и чужими в этом тесте (рис. 2). В 3–4 года им безразлично, сколько конфет получит партнер (частота выбора любого из вариантов около 50%); в 5–6 лет начинает проявляться эгалитаризм: 70–80% девочек выбирают вариант 1,1 и отвергают вариант 1,2, то есть не позволяют партнеру получить лишнюю конфету. Никакого предпочтения «своих» при этом не наблюдается.
Мальчики, напротив, уже в 3–4 года совершенно по-разному относятся к «своим» и «чужим». «Своим» они очень охотно позволяют получить лишнюю конфету (около 80% мальчиков выбирает вариант 1,2). Чужакам такой подарок делают лишь около 50% мальчиков младшей возрастной группы. В 5–6 лет щедрость по отношению к своим сохраняется, тогда как по отношению к чужакам развивается сильное чувство ревности. В 7–8 лет мальчики начинают «блюсти справедливость» также и по отношению к своим, однако и в этом возрасте они присуждают чужакам лишнюю конфету намного реже, чем своим.
Полученные результаты позволяют выделить «стремление к равенству» (эгалитаризм) как один из важнейших факторов, регулирующих социальное поведение у людей. Есть веские основания полагать, что данное свойство психики имеет отчасти наследственную природу, то есть является в какой-то мере генетически детерминированным (см.: Wallace B., Cesarini D., Lichtenstein P., Johannesson M. Heritability of ultimatum game responder behavior // Proc. Natl Acad. Sci. USA. 2007. V. 104. P. 15631–15634). Любопытно, что у шимпанзе и других приматов ничего похожего на стремление к равенству до сих пор обнаружить не удалось. Не исключено, что это свойство характерно только для человека.
Авторы отмечают, что полученные ими результаты очень хорошо согласуются с описанной выше теорией совместного развития альтруизма и парохиализма под влиянием острой межгрупповой конкуренции. Не исключено, что эволюционная история становления этих свойств человеческой психики в общих чертах повторяется в ходе индивидуального развития детей. Характерно, что альтруизм и парохиализм развиваются у детей более или менее одновременно. Поскольку главными участниками межгрупповых конфликтов и войн всегда были мужчины, представляется вполне естественным, что парохиализм сильнее выражен у мальчиков, чем у девочек. В условиях первобытной жизни мужчины-воины были лично заинтересованы в том, чтобы не только они сами, но и другие мужчины племени находились в хорошей физической форме: не было смысла «блюсти справедливость» за их счет. Что же касается женщин, то в случае поражения группы в межгрупповом конфликте их шансы на успешное размножение снижались, скорее всего, не так сильно, как у мужчин. Для женщин последствия такого поражения могли ограничиться лишь сменой полового партнера, тогда как мужчины могли погибнуть, получить тяжелые увечья или остаться без жен. В случае победы женщины тоже выигрывали явно меньше, чем мужчины, которые могли, к примеру, захватить пленниц.
Разумеется, авторы исследования отдают себе отчет в том, что изученные ими свойства детской психики во многом зависят не только от генов, но и от воспитания, то есть являются продуктом не только биологической, но и культурной эволюции. Что, впрочем, не делает полученные результаты менее интересными и информативными. В конце концов, законы и движущие силы биологической и культурной эволюции, по мнению ряда авторов, во многом сходны, а сами процессы могут плавно перетекать друг в друга. Например, новый поведенческий признак может поначалу передаваться из поколения в поколение посредством обучения и подражания, а затем постепенно закрепиться и в генах.
Источник: Ernst Fehr, Helen Bernhard, Bettina Rockenbach. Egalitarianism in young children // Nature. 2008. V. 454. P. 1079–1083.



