
Психологи давно предполагали, что первые месяцы после рождения ребенка особенно важны для развития способностей к полноценному общению, любви и дружбе, формированию устойчивых социальных связей. Теперь эта гипотеза получила прямые биохимические подтверждения.
Дети, лишенные контакта с родителями сразу после рождения, рискуют на всю жизнь остаться ущербными в эмоциональном, психическом и социальном отношении. Даже обретение новой полноценной семьи и любящих приемных родителей не гарантирует полной реабилитации, если ребенок провел первые 1-2 года жизни в приюте.
К такому неутешительному выводу пришла группа психологов под руководством Сета Поллака (Seth D. Pollak) из Висконсинского университета (Мэдисон, США), опубликовавшая результаты своих исследований в одном из самых уважаемых научных журналов — Proceedings of the National Academy of Sciences of the USA (PNAS).
Известно, что ключевую роль в формировании полноценных и эмоционально насыщенных межличностных связей играют нейропептиды — сигнальные вещества, определяющие эмоциональный статус у человека и высших животных. Трудно проникнуться искренними чувствами к человеку, близость которого вызывает у нас отрицательные эмоции или не вызывает никаких. Контакт с любимым человеком в норме должен приводить к повышению концентрации определенных нейропептидов (в частности, окситоцина) в спинномозговой жидкости и крови. В противном случае, вы не испытаете ни радости, ни удовольствия от общения, даже если умом будете понимать, какой это замечательный человек и как много хорошего он вам сделал.
Всё это характерно отнюдь не только для человека. У других млекопитающих (в том числе у тех видов, для которых характерны моногамные семьи) та же самая гормональная система управления эмоциями отвечает за формирование устойчивых привязанностей, которые с биохимической точки зрения ничем не отличаются от человеческой любви.
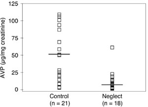
Поллак и его коллеги изучали выборку из 18 детей — бывших сирот, которые провели в приюте первые месяцы или годы жизни (от 7 до 42 месяцев, в среднем 16,6), а затем были усыновлены или удочерены благополучными, обеспеченными семьями. В этих комфортных условиях дети провели к моменту начала эксперимента от 10 до 48 (в среднем 36,4) месяцев. В качестве «контроля» использовались дети, живущие с родителями с самого рождения.

Ученые измеряли уровень двух ключевых нейропептидов, связанных с формированием социальных связей (как у человека, так и у животных): окситоцина и вазопрессина. Методологическая «изюминка» данного исследования состояла в том, что уровень нейропептидов измерялся не в спинномозговой жидкости и не в крови (как это принято делать в подобных случаях), а в моче. Это сильно упростило задачу и позволило не травмировать детей многократным забором крови или тем более спинномозговой жидкости. С другой стороны, это создало авторам исследования определенные трудности. Не все их коллеги согласны с утверждением, что концентрация нейропептидов в моче является адекватным показателем уровня синтеза этих веществ в организме. Пептиды нестойки, и большая часть их может разрушиться в крови гораздо раньше, чем попадет в мочу. Авторы не проводили специальных исследований для подтверждения корреляции уровней нейропептидов в крови и моче, они лишь ссылаются на две довольно старые статьи (1964-го и 1987 гг.), в которых приводятся экспериментальные данные, подкрепляющие их точку зрения.
Так или иначе, оказалось, что у бывших сирот уровень вазопрессина заметно понижен по сравнению с «домашними» детьми.

Еще более драматичная картинка получилась по другому «коммуникативному» нейропептиду — окситоцину. Базовый уровень этого вещества оказался примерно одинаковым у бывших сирот и у контрольной группы. Эксперимент, поставленный психологами, заключался в следующем: дети играли в компьютерную игру, сидя на коленях у своей матери (родной или приемной), после этого измерялся уровень окситоцина в моче и сравнивался с «базовым», измеренным перед началом эксперимента. В другой раз те же дети играли в ту же игру, сидя на коленях у незнакомой женщины.
Оказалось, что у «домашних» детей после общения с мамой уровень окситоцина заметно повышается, тогда как совместная игра с незнакомой женщиной такого эффекта не вызывает. У бывших сирот окситоцин не повышался ни от контакта с приемной матерью, ни от общения с незнакомкой.
Эти печальные результаты показывают, что способность радоваться общению с близким человеком, по-видимому, формируется в первые месяцы жизни. Малыши, лишенные в течение этого критического периода самого главного — контакта с родителями, — могут на всю жизнь остаться эмоционально обедненными, им будет трудно адаптироваться в обществе и создать полноценную семью.
См. также:
Childhood Scars That Never Heal («Детские шрамы, которые не исчезают») — рассказ об этом исследовании на сайте ScienceNow
Эндорфины сделали нас людьми? (о возможной роли нейропептидов и эмоциональной регуляции поведения в эволюции Homo sapiens) — «Элементы», 29.11.2005



