Мартин Поляков, Ричард Бурн,
Ноттингемский университет
«Химия и жизнь» №10, 2012
Большинство специалистов согласно с тем, что зеленая химия родилась примерно 20 лет назад. Когда-то она сделала революционный шаг: в уравнении «Риск = Опасность × Экспозиция» зеленая химия предложила сократить риск, убрав опасность, а не время ее воздействия, — другими словами, сделать более безопасными реактивы и процессы. Отсюда родилось и формальное определение зеленой химии: «Способ получения химических веществ, который уменьшает или исключает использование и производство опасных соединений». Эта идея действительно была хороша в начале 1990-х годов, но теперь, через 20 лет, надо задать вопрос: действительно ли этот постулат изменил ситуацию в крупнотоннажной химии и как эта область будет развиваться дальше?
Каковы достижения зеленой химии? Возможно, самая крупная инновация — это Е-фактор, введенный Р. Шелдоном (соотношение «побочные продукты/нужный продукт»). «Зеленые» свойства процесса нередко также выражают через понятие атомной эффективности (отношение молярной массы целевого продукта к сумме молярных масс всех остальных продуктов в стехиометрическом уравнении). Но разница между этими показателями большая, поскольку Е-фактор показывает количество потерь на килограмм продукта (включая растворители, использованные катализаторы, нежелательные побочные продукты), которые не включены в стехиометрическое уравнение, используемое для определения атомной эффективности. Это важно, поскольку дополнительные отходы часто бывают больше, чем общие, образующиеся в промышленном процессе.
Еще один революционный момент — П. Анастас и Дж. Уорнер сформулировали 12 принципов зеленой химии, довольно простой список, с помощью которого можно оценить, насколько «зелен» тот или иной процесс. Существует много версий этого списка, однако нам больше всего нравится версия «PRODUCTIVELY».
PRODUCTIVELY
P — prevent wastes (предупредить потери)
R — renewable materials (возобновляемые материалы и сырье)
O — omit derivatization steps (исключить побочные реакции)
D — degradable chemical products (разлагающиеся химические продукты)
U — use safe synthetic methods (использовать безопасные синтетические методы)
C — catalytic reagents (использование катализаторов)
T — temperature, pressure ambient (использование нормальных температуры и давлений)
I — in process monitoring (мониторинг процесса)
V — very few auxiliary substances (как можно меньше вспомогательных веществ и растворителей)
E — E-factor, maximize feed in product (максимальный выход продукта)
L — low toxicity of chemical products (низкая токсичность химических продуктов)
Y — yes, it is safe (да, процесс безопасен)
Эти 12 принципов безусловно взяла на вооружение промышленность. Например, фирма «Pfizer» разработала технологию производства силденафилцитрата (виагры), при которой для производства продукта требуется не 1300 литров хлорсодержащего растворителя, а всего 6,5 литра безопасного растворителя. В результате Е-фактор этого производства сократился со 105 до 6, а сам фармакологический гигант получил премию по зеленой химии правительства Великобритании. Французская косметическая фирма «L'Oreal» производит из древесины бука про-ксилан (вещество, способствующее восстановлению кожи) по технологии, имеющей Е-фактор 13. Это также отвечает принципам зеленой химии, о чем фирма написала в своем отчете в 2007 году.
В мире присуждаются и другие премии по зеленой химии, что, несомненно, свидетельствует о внимании к этой проблеме. В частности, премию президента США присуждают шестнадцатый год подряд за инновационные решения, учитывающие интересы окружающей среды, причем независимо от того, президент какой партии находится у власти. Появились также новые журналы с солидным импакт-фактором («Green Chemistry», «ChemSusChem», «Green Chemistry Letters&Reviews»), регулярно проводятся конференции.
Несмотря на очевидные успехи, нам кажется, что взгляд на зеленую химию должен измениться, поскольку мир тоже изменился за 20 лет. В нем почти не осталось коммунистических режимов, Европейский союз разросся до огромных размеров, а производства из Европы и США переместились в Китай и страны Азии. В то же время теперь люди по всему миру в любой момент связываются друг с другом с помощью электронных средств связи — 20 лет назад такое было практически невозможно представить.
С другой стороны, все меньше остается полезных ископаемых, нефти, металлов. Теперь мы живем в мире, где больше мобильных телефонов, чем зубных щеток, и каждый из них содержит более 40 химических элементов. Поэтому металлы тоже стали стратегическим запасом. Всё это происходит на фоне роста населения планеты. Итак, потребности растут, палитра доступных ископаемых и элементов сокращается. А химики должны обеспечить мир привычными продуктами. При этом зеленая химия обязана это сделать, исключив опасные компоненты, не производя опасные отходы и не нанося вред окружающей среде.
Никто еще не знает, как решить эту сверхзадачу, но ее решать придется, чтобы привычное нам общество продолжало существовать. Для одних решений можно будет использовать или адаптировать существующие технологии, а также находящиеся в стадии разработки. Для других потребуются открытия или совершенно новые технологии.
Люди, живущие в разных странах, имеют разные потребности и ожидания. Поэтому и 12 принципов, отражающие ситуацию в Северной Америке и Европе, не обязательно будут такими же в Африке. В 2010 году в Аддис-Абебе прошел первый Африканский конгресс по зеленой химии. На нем мы с эфиопскими коллегами предложили 13 принципов по «озеленению Африки», которые частично пересекаются с двенадцатью, предложенными ранее. Возможно, один из важнейших — это «новые идеи и другое мышление». В нем подчеркивается, что решения, которые работают в развитом мире, не всегда подходят для Африки.
PRINCIPLES FOR GREENER AFRICA
G — generate wealth not waste (производить богатство, а не отходы)
R — regard for all life & human health (уважение к любой жизни и здоровью)
E — energy from sun (энергия от солнца)
E — ensure degradability & no hazards (обеспечить деградируемость и никакой опасности)
N — new ideas & different thinking (новые идеи и другое мышление)
E — engineer for simplicity & practicality (простые и практичные инженерные решения)
R — recycle whenever possible (повторное использование, где только возможно)
A — appropriate materials for function (материалы должны соответствовать функциям)
F — fewer auxiliary substances & solvents (как можно меньше вспомогательных веществ и растворителей)
R — reactions using catalysts (использовать катализаторы)
I — indigenous renewable feedstocks (местное возобновляемое сырье)
C — cleaner air & water (более чистые воздух и вода)
A — avoid the mistakes of others (избегать чужих ошибок)
Например, упаковка меда. В Великобритании мед продают в стеклянных банках с металлической завинчивающейся крышкой. Для производства банок нужны человеческие и энергетические ресурсы, кроме того, банки тяжело транспортировать. В Эфиопии мед продают в полиэтиленовых пакетах, которые проще производить и которые почти ничего не весят. Полиэтилен менее прочный, чем стекло, но, поскольку продажа в Африке более локализована, он вполне справляется со своей задачей. После того как эта статья была послана в редакцию, мы заметили, что некоторые сорта меда в местных супермаркетах в Ноттингеме тоже продаются в пластиковых упаковках. Может быть, мы уже перенимаем опыт Африки?

Конечно, полиэтилен делают из нефти, и это нельзя назвать примером устойчивого развития. Бразильская компания «Braskem» продемонстрировала, что полиэтилен можно производить из сахарного тростника, причем технология вполне конкурентоспособна. Сахарный тростник ферментируют до этанола, который потом превращают в этилен. Этот процесс показывает, что в условиях повышения цен на нефть и сокращения ее запасов из биомассы можно получать продукты массового химического производства, а не только дорогостоящие реактивы для фармакологии. Именно на массовых химических продуктах должна сосредоточиться зеленая химия.

Известно, что только около 5% сырой нефти идет на производство химических продуктов, а остальное — на топливо. Надо переключить нефтяное сырье с топлива на химические продукты. То же самое справедливо и для биотоплива, и химических продуктов из биомассы.
Сейчас все больше публикаций, которые описывают новые зеленые процессы или реакции, но немногие авторы понимают, какой фактор делает новый процесс действительно выгодным. Такие факторы называют «ценностными предложениями» (value proposition), но они не всегда очевидны. Вот несколько примеров.
Кингман и его коллеги (C. Dodds, G. Dimitrakis, S. Kingman, заявка на патент WIPO WO/2010/070357) предложили использовать микроволновый нагрев для проточного «вспучивания» вермикулита. Этот минерал со слоистой структурой при нагревании вспучивается в направлении, перпендикулярном слоям, после чего получается широко используемый изоляционный материал. Обычно всю партию нагревают в специальном духовом шкафу при температуре 800°С. Микроволновое оборудование — а с его помощью вермикулит можно нагреть в проточном режиме в то время, как он ползет по конвейеру, — имеет существенно меньший объем, оно менее шумное и, кроме того, позволяет за счет обслуживания сэкономить до 95% энергии по сравнению с существующей технологией. Но «ценностное предложение» процесса в том, что гранулы вермикулита можно расфасовывать прямо с конвейера в бумажные мешки, тогда как при обычной технологии его перед расфасовкой приходится еще две недели остужать.
В нашей лаборатории в Ноттингемском университете разработали технологию использования сверхкритической воды для окисления пара-диметилбензола до терефталевой кислоты (рис. 1). Сегодня широко используют окисление в уксусной кислоте, но в новом процессе не требуется никаких органических растворителей и экономится много энергии. Тем не менее истинное преимущество новой технологии в том, что при окислении в сверхкритической воде одновременно с терефталевой кислотой не выпадает 4-карбоксибензальдегид, который мешает процессу.

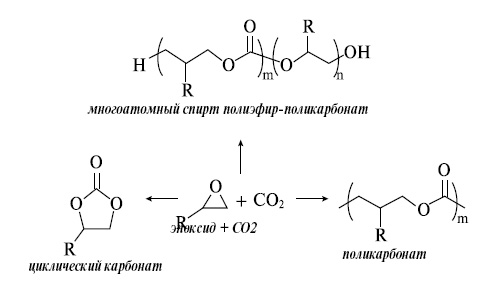
В Германии, в Центре катализа, прорабатывают технологию применения СО2, извлеченного из углеродных ловушек электростанций. Его можно использовать в качестве исходного химического сырья и, преодолев его химическую инертность, например с помощью органических эпоксидов, в зависимости от катализатора получить те или иные циклические карбонаты, поликарбонаты или многоатомные спирты. Причем спирты — излюбленные продукты многих исследователей, поскольку из них можно получить полиуретаны (рис. 2). Можно было бы предположить, что улавливание и использование СО2 смягчат климатические изменения, но даже по самым оптимистичным подсчетам таким образом удастся убрать меньше 1% от ежегодных антропогенных выбросов. Ценность этой технологии в том, что, используя углекислый газ в качестве реагента, можно на 15% уменьшить потребность в органическом сырье, которое необходимо для производства многоатомных спиртов.

В последние десять лет мы в Ноттингемском университете довольно много занимались применением сверхкритического СО2. Ведь его можно использовать во многих крупнотоннажных процессах вместо органических растворителей, полученных из нефти: при гидрировании, окислении, этерификации и в других каталитических реакциях. В частности, мы разработали прекрасную реакцию гидрирования изофорона, но общемировое повышение цен на электроэнергию (а для получения сверхкритического углекислого газа нужно давление) сделало новый процесс неконкурентоспособным. Правда, теперь ситуация может измениться, поскольку в Европе не только делают ловушки для СО2, но и предлагают технологию его хранения и транспортировки. Например, предполагается транспортировать СО2 по трубопроводу с давлением 100 бар — примерно такое давление и необходимо в реакциях со сверхкритическим углекислым газом. Конечно, уловленный углекислый газ будет не особенно чистым, поэтому недавно мы исследовали, как влияют N2, CO и H2O на гидрирование изофорона, и обнаружили, что существенного влияния они не оказывают. Таким образом, имеющиеся технологии могут стать рентабельными, когда изменятся условия.
Как писали в обзоре 2007 года Хорвас и Анастас (Chem. rev. 2007, т. 107, с. 2169): «Современный научный и технологический истеблишмент (или профессора и менеджеры) щедро вознаграждает тех, кто открывает и развивает новые химические реакции и процессы с высоким выходом, как правило, 95–99%. Когда достичь 100% слишком сложно, никто не даст вознаграждения за оставшийся процент». Эта максимизация выхода не всегда требует полного изменения системы, во многих случаях нужно просто оптимизировать существующие реакции. Однако она отнимает много времени и сил, и зачастую это ненужная трата времени квалифицированных специалистов, которые хотят перейти к новым темам исследований. Недавно мы начали разрабатывать самооптимизирующиеся проточные реакторы — они используют эволюционные алгоритмы поиска, которые способны подобрать лучшие условия примерно за три дня. Достаточно запрограммировать и запустить нашу компьютеризованную систему, и она без помощи человека будет неутомимо искать наилучшее решение.
В заключение надо отметить следующее. Хотя чистые химические производства очень важны, абсолютное большинство химических соединений приобретают ради эффекта, которого от них ждут, а не ради той или иной химической структуры. Так, люди покупают моющие средства, масла и краски потому, что они очищают, смазывают и хорошо красят, а не потому, что у них определенный химический состав. Вот почему зеленая химия должна думать о конечных свойствах, а не о самих соединениях. Отличный пример — мойка окон. Она требует специальных средств, кроме того, сопряжена с опасностью (мойщики окон могут упасть). Но выход есть: можно обработать окно специальным покрытием и оно станет самоочищающимся — необходимость в средствах и мойщиках исчезнет. Такой подход можно применить ко многим химическим процессам, и тогда зеленая химия выйдет на новый уровень.
Полная версия статьи опубликована в журнале
«Mendeleev communication», 2011, т. 21, с. 235–238.
Отходы — в доходы!
Долго ученые пытались всеми силами предотвратить образование отходов — это один из принципов зеленой химии. Но сейчас акцент смещается скорее в сторону правильного их использования — ведь некоторые отходы неизбежно образуются. В первую очередь речь идет о сельскохозяйственной биомассе, то есть об органике, которая остается, когда из растений извлекли то, ради чего их вырастили. Ее, равно как и твердые бытовые отходы, можно превращать в самые разнообразные химические продукты. Кстати, это практически всегда мультидисциплинарная задача, здесь нужны усилия химиков, биологов и технологов.
Сельскохозяйственных отходов много и они разные, но их объединяют в четыре большие группы по типу сырья, которое из них можно получить: полисахариды, лигнин, триглицериды (из жиров и масел), белки. К сожалению, эффективной технологии расщепления лигнина на полезные ароматические фрагменты до сих пор нет. Зато дальнейшая обработка полисахаридов, триглицеридов и белков приводит к получению тех составных блоков, из которых они построены — моносахаридов, жирных кислот и глицерина, а также аминокислот.
В отходах спрятан огромный сырьевой потенциал — каждый год их образуется сотни мегатонн (Мт), то есть больше 108 тонн. Если думать о нормальной биоэкономике, основанной на отходах, то и продукты из них надо получать крупнотоннажные, то есть те, которые удовлетворят нужды промышленности. В первую очередь это: смазочные материалы, поверхностно-активные вещества, мономеры для получения пластиков и волокон, промышленные растворители. «Тонкая» химия (то есть сложные химические вещества, которые производят не в таких больших объемах) также экономически выгодна и важна, но спрос на нее невелик, поэтому она не так влияет на устойчивость химической промышленности в целом.
Самые крупные источники углеводородов и лигнина — это лигниноцеллюлозные остатки, мировой объем которых превосходит 2х1011 тонн/год. Пока исследования с лигнином не сильно продвинулись, все-таки что-то новое появляется — например, новые катализаторы. Еще в мире производится примерно 120 Мт рисовой шелухи в год (на каждые 4 т риса — тонна лузги), причем из всего объема используют сегодня только пятую часть, тогда как еще 100 Мт можно преобразовать в химические продукты. Ежегодно у человечества появляется 220 Мт жмыха сахарного тростника, поскольку с каждой тонны сахарного тростника получается 135 кг сахара и 130 кг жмыха. Большинство сахарных заводов жгут его — он им служит как источник энергии, но все же его остается достаточно, чтобы получать и химические продукты.
Твердые бытовые отходы — кладезь полезных веществ. Так, большая их часть состоит из бумаги и органических отходов (24 и 38% в США). Вообще-то в мире достаточно бумажных отходов, чтобы только из них каждый год получать 65 Мт этанола. Кроме того, в твердых бытовых отходах есть и другие полезные вещества — например, полистирол и другие пластмассы. Непроданные или неиспользованные продукты питания в развитых странах — еще один источник биомассы.
Урбанизация происходит так быстро, что, возможно, скоро бытовые отходы выйдут на первый план и по объему, и по значимости. Это особенно вероятно в экономически развивающихся странах, где в отходах выше содержание органических веществ. Кто еще недавно мог бы подумать, что будет прибыльно перевозить из Италии в Роттердам морем домашние отходы, по 200 000 тонн в год, чтобы получать на голландских электростанциях дополнительную мощность?
Подробнее об этом можно прочитать в статье C.O. Tuck, E. Perez, I.T. Horvath, R.A. Sheldon, M. Poliakoff Valorization of Biomass: deriving more value from waste (Science, 2012, т. 337, № 6095, с. 695–699).