Тина Катаева
(по материалам беседы с Андреем Линде)
Казалось маловероятным, что эхо событий, происходивших в первые миллисекунды рождения Вселенной, может дойти до нас. Однако это оказалось возможным.
Космология, строение Вселенной, прошлое, настоящее и будущее нашего мира — эти вопросы всегда занимали лучшие умы человечества. Для развития космологии, да и науки в целом, крайне важно понимание Вселенной как единого целого. Особую роль играют экспериментальная проверка абстрактных построений, подтверждение их наблюдательными данными, осмысление и сопоставление результатов исследований, адекватная оценка тех или иных теорий. Сейчас мы находимся на середине пути, который ведет от решения уравнений Эйнштейна к познанию тайны рождения и жизни Вселенной.
Очередной шаг на этом пути сделал создатель теории хаотической инфляции, воспитанник Московского государственного университета, ныне профессор Стэнфордского университета Андрей Дмитриевич Линде, внесший существенный вклад в понимание самой ранней стадии развития Вселенной. Многие годы он проработал в одном из ведущих академических российских институтов — Физическом институте им. Лебедева Академии наук (ФИАН), занимался следствиями современных теорий элементарных частиц, работая вместе с профессором Давидом Абрамовичем Киржницем.
В 1972 г. Киржниц и Линде пришли к выводу, что в ранней Вселенной происходили своеобразные фазовые переходы, когда различия между разными типами взаимодействий вдруг исчезали: сильные и электрослабые взаимодействия сливались в одну единую силу. (Единая теория слабого и электромагнитного взаимодействий, осуществляемых кварками и лептонами посредством обмена безмассовыми фотонами (электромагнитное взаимодействие) и тяжелыми промежуточными векторными бозонами (слабое взаимодействие), создана в конце 1960-х гг. Стивеном Вайнбергом, Шелдоном Глэшоу и Абдусом Саламом.) В дальнейшем Линде сосредоточился на изучении процессов на еще более ранних стадиях развития Вселенной, в первые 10–30 с после ее рождения. Раньше казалось маловероятным, что до нас может дойти эхо событий, происходивших в первые миллисекунды рождения Вселенной. Однако в последние годы современные методы астрономических наблюдений позволили заглянуть в далекое прошлое.
Рассматривая теорию Большого взрыва, исследователи сталкивались с проблемами, ранее воспринимавшимися как метафизические. Однако вопросы неизменно возникали и требовали ответов.
Что было тогда, когда ничего не было? Если Вселенная родилась из сингулярности, значит, когда-то ее не существовало. В «Теоретической физике» Ландау и Лифшица сказано, что решение уравнений Эйнштейна нельзя продолжить в область отрицательного времени, и потому в рамках общей теории относительности вопрос «Что было до рождения Вселенной?» не имеет смысла. Однако вопрос этот продолжает волновать всех нас.
Пересекаются ли параллельные линии? В школе нам говорили, что нет. Однако когда речь заходит о космологии, ответ не столь однозначен. Например, в замкнутой Вселенной, похожей на поверхность сферы, линии, которые были параллельными на экваторе, пересекаются на северном и южном полюсах. Так прав ли Евклид? Почему Вселенная кажется плоской? Была ли она такой с самого начала? Чтобы ответить на эти вопросы, необходимо установить, что представляла собой Вселенная на самом раннем этапе развития.
Почему Вселенная однородна? На самом деле это не совсем так. Существуют галактики, звезды и иные неоднородности. Если посмотреть на ту часть Вселенной, которая находится в пределах видимости современных телескопов, и проанализировать среднюю плотность распределения вещества в космических масштабах, окажется, что она одинакова во всех направлениях с точностью до 10–5. Почему же Вселенная однородна? Почему в разных частях Вселенной действуют одни и те же законы физики? Почему Вселенная такая большая? Откуда взялась энергия нужная для ее возникновения?
Сомнения возникали всегда, и чем больше ученые узнавали о строении и истории существования нашего мира, тем больше вопросов оставалось без ответов. Однако люди старались о них не думать, воспринимая большую однородную Вселенную и непересекающиеся параллельные линии как данность, не подлежащую обсуждению. Последней каплей, заставившей физиков пересмотреть отношение к теории ранней Вселенной, явилась проблема реликтовых монополей.
Существование магнитных монополей было предложено в 1931 г. английским физиком-теоретиком Полем Дираком. Если такие частицы действительно существует, то их магнитный заряд должен быть кратен некоторой заданной величине, которая, в свою очередь, определяется фундаментальной величиной электрического заряда. Почти на полвека эта тема была практически забыта, но в 1975 г. было сделано сенсационное заявление о том, что магнитный монополь обнаружен в космических лучах. Информация не подтвердилась, но сообщение вновь пробудило интерес к проблеме и способствовало разработке новой концепции.
Согласно новому классу теорий элементарных частиц, возникшему в 70-е гг., монополи могли появиться в ранней Вселенной в результате фазовых переходов предсказанных Киржницем и Линде. Масса каждого монополя в миллион миллиардов раз больше массы протона. В 1978–1979 гг. Зельдович, Хлопов и Прескилл обнаружили, что таких монополей рождалось довольно много, так что сейчас на каждый протон приходилось бы по монополю, а значит, Вселенная была бы очень тяжелой и должна была быстро сколлапсировать под своим собственным весом. Тот факт, что мы до сих пор существуем, опровергает такую возможность.
Ответ на большую часть перечисленных вопросов удалось получить только после возникновения инфляционной теории.
Инфляционная теория имеет долгую историю. Первую теория такого типа предложил в 1979 году член-корреспондент РАН Алексей Александрович Старобинский. Его теория была довольно сложной. В отличие от последующих работ, она не пытались объяснить, почему Вселенная большая, плоская, однородная, изотропная. Тем не менее, она имела многие важные черты инфляционной космологии.
В 1980 г. сотрудник Массачусетского технологического института Алан Гус (Alan Guth) в статье «Раздувающаяся Вселенная: возможное решение проблемы горизонта и плоскостности» изложил интересный сценарий раздувающейся Вселенной. Основным его отличием от традиционной теории Большого взрыва стало описание рождения мироздания в период с 10–35 до 10–32 с. Гус предположил, что в это время Вселенная была в состоянии так называемого «ложного» вакуума, при котором ее плотность энергии была исключительно велика. Поэтому расширение происходило быстрее, чем по теории Большого взрыва. Эта стадия экспоненциально быстрого расширения и была названа инфляцией (раздуванием) Вселенной. Затем ложный вакуум распадался, и его энергия переходила в энергию обычной материи.
Теория Гуса была основана на теории фазовых переходов в ранней Вселенной развитой Киржницем и Линде. В отличие от Старобинского, Гус ставил своей целью с помощью одного простого принципа объяснить, почему Вселенная большая, плоская, однородная, изотропная, а также почему монополей нет. Стадия инфляции могла бы решить эти проблемы.
К сожалению, после распада ложного вакуума в модели Гуса Вселенная оказывалась либо очень неоднородной, либо пустой. Дело в том, что распад ложного вакуума, как кипение воды в чайнике, происходил за счет образования пузырьков новой фазы. Для того чтобы выделяемая при этом энергия перешла в тепловую энергию Вселенной, необходимо было столкновение стенок огромных пузырей, а это должно было бы приводить к нарушению однородности и изотропности Вселенной после инфляции, что противоречит поставленной задаче.
Несмотря на то, что модель Гуса не работала, она стимулировала разработку новых сценариев раздувающейся Вселенной.
В середине 1981 г. Линде предложил первый вариант нового сценария раздувающейся Вселенной, основывающийся на более детальном анализе фазовых переходов в модели Великого объединения. Он пришел к выводу, что в некоторых теориях экспоненциальное расширение не заканчивается сразу после образования пузырьков, так что инфляция может идти не только до фазового перехода с образованием пузырьков, но и после, уже внутри них. В рамках этого сценария наблюдаемая часть Вселенной считается содержащейся внутри одного пузырька.
В новом сценарии Линде показал, что разогрев после раздувания происходит за счет рождения частиц во время колебаний скалярного поля (см. ниже). Таким образом, соударения стенок пузырьков, порождающих неоднородности, стали не нужны, и тем самым была решена проблема крупномасштабной однородности и изотропности Вселенной.
Новый сценарий содержал два ключевых момента: во-первых, свойства физического состояния внутри пузырьков должен меняться медленно, чтобы обеспечивалось раздувание внутри пузырька; во-вторых, на более поздних стадиях должны происходить процессы, обеспечивающие разогрев Вселенной после фазового перехода. Спустя год исследователь пересмотрел свой подход, предложенный в новой инфляционной теории, и пришел к выводу, что фазовые переходы вообще не нужны, равно как переохлаждение и ложный вакуум, с которого начинал Алан Гус. Это был эмоциональный шок, т. к. предстояло отказаться от считавшихся истинными представлений о горячей Вселенной, фазовых переходах и переохлаждении. Необходимо было найти новый способ решения проблемы. Тогда была выдвинута теория хаотической инфляции.
Идея, лежащая в основе теории хаотической инфляции Линде, очень проста, но для того чтобы ее объяснить, нужно ввести понятие скалярного поля. Существуют направленные поля — электромагнитное, электрическое, магнитное, гравитационное, но может быть по крайней мере еще одно — скалярное, которое никуда не направлено, а представляет собой просто функцию координат.
Самым близким (хотя и не точным) аналогом скалярного поля является электростатический потенциал. Напряжение в электрических сетях США — 110 В, а в России — 220 В. Если бы человек одной рукой держался за американский провод, а другой — за российский, его бы убила разница потенциалов. Если бы напряжение везде было одинаковым, не было бы разницы потенциалов и ток бы не тек. Так вот в постоянном скалярном поле разницы потенциалов нет. Поэтому мы не можем увидеть постоянное скалярное поле: оно выглядит как вакуум, который в некоторых случаях может обладать большой плотностью энергии.
Считается, что без полей такого типа очень трудно создать реалистичную теорию элементарных частиц. В последние годы были обнаружены практически все частицы, предсказанные теорией электрослабых взаимодействий, кроме скалярной. Поиск таких частиц — одна из основных целей огромного ускорителя, строящегося сейчас в ЦЕРНе, Шейцария.
Скалярное поле присутствовало практически во всех инфляционных сценариях. Гус предложил использовать потенциал с несколькими глубокими минимумами. Новой инфляционной теории Линде требовался потенциал с почти плоской вершиной, но позже, в сценарии хаотической инфляции, оказалось, что достаточно взять обычную параболу, и все срабатывает.

Рассмотрим простейшее скалярное поле, плотность потенциальной энергии которого пропорциональна квадрату его величины, подобно тому как энергия маятника пропорциональна квадрату его отклонения от положения равновесия:

Маленькое поле ничего не будет знать про Вселенную и станет колебаться вблизи своего минимума. Однако если поле будет достаточно велико, то оно будет скатываться вниз очень медленно, разгоняя Вселенную за счет своей энергии. В свою очередь, скорость движения Вселенной (а не какие-либо частицы) будет затормаживать падение скалярного поля.
Таким образом, большое скалярное поле приводит к большой скорости расширения Вселенной. Большая скорость расширения Вселенной мешает полю спадать и тем самым не дает плотности потенциальной энергии уменьшаться. А большая плотность энергии продолжает разгонять Вселенную со все большей скоростью. Этот самоподдерживающийся режим и приводит к инфляции, экспоненциально быстрому раздуванию Вселенной.
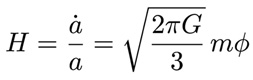
Чтобы объяснить этот удивительный эффект, необходимо совместно решить уравнение Эйнштейна для масштабного фактора Вселенной:

и уравнение движения для скалярного поля:

Здесь Н — так называемая постоянная Хаббла, пропорциональная плотности энергии скалярного поля массы m (эта постоянная на самом деле зависит от времени); G — гравитационная постоянная.
Исследователи уже рассматривали, как скалярное поле будет вести себя в окрестностях черной дыры и во время коллапса Вселенной. Но почему-то режим экспоненциального расширения не был найден. А следовало лишь написать полное уравнение для скалярного поля, которое в стандартном варианте (то есть без учета расширения Вселенной) выглядело как уравнение для маятника:

Но вмешался некоторый дополнительный член — сила трения, который был связан с геометрией; его сначала никто не учитывал. Он представляет собой произведение постоянной Хаббла на скорость движения поля:

Когда постоянная Хаббла была большой, трение тоже было велико, и скалярное поле уменьшалось очень медленно. Поэтому и постоянная Хаббла, являющаяся функцией скалярного поля, долгое время почти не менялась. Решение уравнения Эйнштейна с медленно меняющейся постоянной Хаббла описывает экспоненциально быстро расширяющуюся Вселенную.

Эта стадия экспоненциально быстрого расширения Вселенной и называется инфляцией.
Чем отличается этот режим от обычного расширения Вселенной заполненной обычным веществом? Предположим, что Вселенная, заполненная пылью, расширилась в 2 раза. Тогда ее объем вырос в 8 раз. Значит, в 1 см3 стало в 8 раз меньше пыли. Если решить уравнение Эйнштейна для такой Вселенной, то окажется, что после Большого взрыва плотность вещества быстро падала, а скорость расширения Вселенной быстро уменьшалась.
То же самое было бы и со скалярным полем. Но пока поле оставалось очень большим, оно само себя поддерживало, как барон Мюнхгаузен, вытаскивающий себя из болота за косичку. Это было возможным за счет силы трения, которая была существенна при больших значениях поля. В соответствии с теориями нового типа Вселенная быстро расширялась, а поле почти не менялось; соответственно, не менялась и плотность энергии. Значит, расширение шло экспоненциально.
Постепенно поле уменьшилось, постоянная Хаббла тоже уменьшилась, трение стало маленьким, и поле начало колебаться, порождая элементарные частицы. Эти частицы сталкивались, обменивались энергией и постепенно пришли в состояние термодинамического равновесия. В результате Вселенная стала горячей.
Раньше считалось, что Вселенная была горячей с самого начала. К этому выводу приходили, изучая микроволновое излучение, которое интерпретировали как следствие Большого взрыва и последующего остывания. Затем стали думать, что сначала Вселенная была горячей, потом произошла инфляция, и после нее Вселенная вновь стала горячей. Однако, в теории хаотической инфляции первая горячая стадия оказалась ненужной. Но зачем нам понадобилась стадия инфляции, если в конце этой стадии Вселенная все равно стала горячей, как и в старой теории Большого взрыва?
Есть три простейшие модели Вселенной: плоская, открытая и замкнутая. Плоская Вселенная похожа на поверхность ровного стола; параллельные линии в такой Вселенной всегда остаются параллельными. Открытая Вселенная похожа на поверхность гиперболоида, а замкнутая Вселенная похожа на поверхность шара. Параллельные линии в такой Вселенной пересекаются на ее северном и южном полюсах.
Предположим, что мы живем в замкнутой Вселенной, которая сначала была маленькой как шарик. По теории Большого взрыва, она вырастала до порядочных размеров, но все равно оставалась относительно небольшой. А согласно инфляционной теории, крошечный шарик в результате экспоненциального взрыва за очень короткое время стал огромным. Находясь на нем, наблюдатель увидел бы плоскую поверхность.
Представим себе Гималаи, где существует множество различных уступов, расщелин, пропастей, ложбин, каменных глыб, т. е. неоднородностей. Но вдруг кто-то или что-то совершенно невероятным образом увеличил горы до гигантских размеров, или мы уменьшились, как Алиса в Стране чудес. Тогда, находясь на вершине Эвереста, мы увидим, что она совершенно плоская — ее как бы растянули, и неоднородности перестали иметь какое-либо значение. Горы остались, но для того чтобы подняться хотя бы на один метр, нужно уйти невероятно далеко. Таким образом, может быть решена проблема однородности. Этим же объясняется, почему Вселенная плоская, почему параллельные линии не пересекаются и почему не существуют монополи. Параллельные линии могут пересекаться, и монополи могут существовать, но только так далеко от нас, что мы не можем этого увидеть.
Маленькая Вселенная стала колоссальной, и все стало однородным. Но как же быть с галактиками? Оказалось, что в ходе экспоненциального расширения Вселенной маленькие квантовые флуктуации, существующие всегда, даже в пустом пространстве, из-за квантово-механического принципа неопределенности, растягивались до колоссальных размеров и превращались в галактики. Согласно инфляционной теории, галактики — это результат усиления квантовых флуктуаций, т. е. усиленный и замерзший квантовый шум.
Впервые на эту поразительную возможность указали сотрудники ФИАН Вячеслав Федорович Муханов и Геннадий Васильевич Чибисов в работе, основанной на модели, предложенной в 1979 г. Старобинским. Вскоре после этого, аналогичный механизм был обнаружен в новом инфляционном сценарии и в теории хаотической инфляции.
Квантовые флуктуации приводили не только к рождению галактик, но и к возникновению анизотропии реликтового излучения с температурой примерно 2,7 К, приходящего к нам из дальних областей Вселенной.
Исследовать реликтовое излучение ученым помогают современные искусственные спутники Земли. Самые ценные данные удалось получить с помощью космического зонда WMAP (Wilkinson Microwave Anisotropy Probe), названного так в честь астрофизика Дэвида Уилкинсона (David Wilkinson). Разрешающая способность его аппаратуры в 30 раз больше, чем у его предшественника — космического аппарата COBE.
Ранее считалось, что температура неба всюду равна 2,7 К, однако WMAP смог измерить ее с точностью до 10–5 К с высокой угловой разрешающей способностью. Согласно данным, полученным за первые 3 года наблюдений, небо оказалось неоднородным: где-то горячее, а где-то холоднее. Простейшие модели инфляционной теории предсказали рябь на небе. Но пока телескопы не зафиксировали его пятнистость, наблюдалось только трехградусное излучение, служившее мощнейшим подтверждением теории горячей Вселенной. Теперь же выяснилось, что теории горячей Вселенной не хватает.
Удалось получить фотографии раздутых квантовых флуктуаций, которые появились спустя 10–30 с после рождения мироздания и сохранились до наших дней. Исследователи не только обнаружили пятнистость неба, но и изучили спектр пятен, т. е. интенсивность сигнала на разных угловых направлениях.

Результаты проведенных с помощью WMAP высокоточных измерений поляризации излучения подтвердили теорию расширения Вселенной и позволили установить, когда произошла ионизация межгалактического газа, вызванная самыми первыми звездами. Полученная со спутника информация подтвердила положение инфляционной теории о том, что мы живем в большой плоской Вселенной.

На рисунке красной линией показано предсказание инфляционной теории, а черные точки соответствуют экспериментальным данным WMAP. Если бы Вселенная не была плоской, то пик графика находился бы правее или левее.
Посмотрим еще раз на рисунок, показывающий простейший потенциал скалярного поля (см. выше). В области, где скалярное поле мало, оно осциллирует, и Вселенная не расширяется экспоненциально. В области, где поле достаточно велико, оно медленно спадает, и на нем возникают маленькие флуктуации. В это время происходит экспоненциальное расширение и идет процесс инфляции. Если бы скалярное поле было еще больше (на графике отмечено голубым цветом), то за счет огромного трения оно бы почти не уменьшалось, квантовые флуктуации были бы огромны, и Вселенная могла стать фрактальной.
Представим, что Вселенная быстро расширяется, а в каком-то месте скалярное поле, вместо того чтобы катиться к минимуму энергии, из-за квантовых флуктуаций подскакивает вверх (см. выше). В том месте, где поле подскочило, Вселенная расширяется экспоненциально быстрее. Низкорасположенное поле вряд ли подскочит, но чем выше оно будет находиться, тем больше вероятность такого развития событий, а значит, и экспоненциально большего объема новой области. В каждой из таких ровных областей поле тоже может подскочить наверх, что приводит к созданию новых экспоненциально растущих частей Вселенной. В результате этого, вместо того чтобы быть похожей на один огромный растущий шар, наш мир становится похожим на вечно растущее дерево, состоящее из многих таких шаров.
Инфляционная теория дает нам единственное известное сейчас объяснение однородности наблюдаемой части Вселенной. Парадоксальным образом эта же теория предсказывает, что в предельно больших масштабах наша Вселенная абсолютно неоднородна и выглядит как огромный фрактал.

На рисунке схематически показано, как одна раздувающаяся область Вселенной порождает все новые и новые ее части. В этом смысле она становится вечной и самовосстанавливающейся.
Свойства пространства-времени и законы взаимодействия элементарных частиц друг с другом в разных областях Вселенной могут быть различны, равно как и размерности пространства, и типы вакуума.
Этот факт заслуживает более детального объяснения. Согласно простейшей теории с одним минимумом потенциальной энергии, скалярное поле катится вниз к этому минимуму. Однако более реалистические версии допускают множество минимумов с разной физикой, что напоминает воду, которая может находиться в разных состояниях: жидком, газообразном и твердом. Разные части Вселенной также могут пребывать в разных фазовых состояниях; это возможно в инфляционной теории даже без учета квантовых флуктуаций.
Следующим шагом, основанным на изучении квантовых флуктуаций, является теория самовосстанавливающейся Вселенной. В этой теории учитывается процесс постоянного воссоздания раздувающихся областей и квантовые скачки из одного вакуумного состояния в другое, перебирающие разные возможности и размерности.
Так Вселенная становится вечной, бесконечной и многообразной. Вся Вселенная никогда не сколлапсирует. Однако это не означает, что отсутствуют сингулярности. Напротив, значительная часть физического объема Вселенной все время находится в состоянии, близком к сингулярному. Но так как различные объемы проходят его в разное время, единого конца пространства-времени, после которого все области исчезают, не существует. И тогда вопрос о множественности миров во времени и в пространстве приобретает совершенно другое звучание: Вселенная может самовоспроизводиться бесконечно во всех своих возможных состояниях.
Это утверждение, в основе которого лежали работы Линде сделанные им в 1986 году, прибрело новое звучание несколько лет назад, когда специалисты по теории струн (лидирующий кандидат на роль теории всех фундаментальных взаимодействий) пришли к выводу что в этой теории возможно 10100–101000 различных вакуумных состояний. Эти состояния отличаются за счет необычайного разнообразия возможного устройства мира на сверхмалых расстояниях.
В совокупности с теорией самовосстанавливающейся инфляционной Вселенной, это означает, что Вселенная во время инфляции разбивается на бесконечно много частей с невероятно большим количеством разных свойств. Космологи называют этот сценарий теорией вечной инфляционной мультивселенной (multiverse), а специалисты по теории струн называют это струнным ландшафтом.
25 лет назад инфляционная космология выглядела как нечто промежуточное между физической теорией и научной фантастикой. За прошедшее время многие предсказания этой теории были проверены, и она постепенно приобрела черты стандартной космологической парадигмы. Но успокаиваться еще рано. Эта теория и сейчас продолжает быстро развиваться и меняться. Основная проблема — разработка моделей инфляционной космологии основанных на реалистических вариантах теории элементарных частиц и теории струн. Этот вопрос может быть темой отдельного доклада.