
В породах раннего протерозоя, имеющих возраст 2,22–2,06 млрд лет, геологи фиксируют резкий рост содержания изотопа углерода 13С. Эта аномалия, которую назвали событием Ломагунди, есть в осадочных породах по всей Земле. В целом она совпадает по времени с так называемой кислородной революцией, когда в атмосфере Земли резко выросло содержание кислорода. Традиционно считается, что после окончания события Ломагунди, когда изотопное отношение 13C/12C восстановилось, уровень кислорода упал и оставался низким на протяжении миллиарда лет, вплоть до неопротерозоя. Однако недавнее исследование показывает, что шунгиты — черные сланцы заонежской свиты в Карелии возрастом 1,98 млрд лет — содержат высокие концентрации молибдена, урана и рения. Эти металлы являются индикаторами окислительно-восстановительной обстановки, указывая на локальные зоны с восстановительной средой и на то, что океаны оставались насыщенными кислородом еще многие миллионы лет после окончания кислородной революции и события Ломагунди.
В природе углерод присутствует в виде двух стабильных изотопов: 12C и 13C. На первый приходится 98,93% всего углерода, а на второй — 1,07%. В большинстве пород это соотношение сохраняется, но бывают отклонения. Для количественной оценки таких отклонений используется изотопный коэффициент δ13С показывающий, насколько изотопная подпись углерода (отношение 13C/12C) в породах отличается от этого отношения в стандартном образце. Обычно эти отклонения не очень большие и носят локальный характер. Но был в истории Земли период, для которого во всех морских осадочных породах фиксируются повышенные значения 13C. Это случилось в палеопротерозое, 2,3–2,1 млрд лет назад.
Предполагается, что этот всплеск содержания тяжелого изотопа углерода в осадочных породах, получивший название «событие Ломагунди» (Lomagundi Carbon Isotope Excursion), был связан с бурным развитием в этот период цианобактерий. Известно, что легкий изотоп углерода 12С обладает преимуществом при вхождении в состав живых организмов, поэтому в период, когда на планете началось формирование большого количества организмов, легкий углерод выводился из морской воды, а оседавшие на дно осадки были относительно обогащены тяжелым изотопом 13C (подробнее о событии Ломагунди см. в статье Кислородная революция и событие Ломагунди связаны с тектоническими процессами в раннем протерозое, «Элементы», 27.12.2019).
Неудивительно, что событие Ломагунди в целом совпадает по времени с так называемой кислородной революцией — резким ростом содержания кислорода в атмосфере Земли в начале протерозоя (см. «Великое кислородное событие» на рубеже архея и протерозоя не было ни великим, ни событием, «Элементы», 02.03.2014).
Считается, что формирование огромного количества первичной биомассы сдвинуло изотопную подпись углерода, а затем, после завершения кислородной революции, баланс восстановился и больше уже никогда не нарушался. Однако традиционное объяснение корреляции кривых парциального давления кислорода в атмосфере и изотопного коэффициента δ13С в протерозое плохо согласуется с фактом отсутствия среди раннепротерозойских пород осадочных отложений с большим количеством органического углерода, а также с тем, что геохимические циклы углерода и кислорода подчиняются разным закономерностям.
Чтобы разобраться, какой была среда в океане непосредственно после окончания события Ломагунди, международная группа ученых во главе с Куртом Конхаузером (Kurt Konhauser) из Университета Альберты в Канаде и Калле Кирсимяэ (Kalle Kirsimäe) из Тартуского университета в Эстонии изучила богатые углеродом первично осадочные породы заонежской свиты в Карелии на северо-западе России, возраст которой составляет 1,98 млрд лет. То есть, по данным абсолютного датирования, выполненного уран-свинцовым методом, она образовалась через 80 млн лет после окончания события Ломагунди.
Это подтверждается и изотопными анализами углерода. В породах заонежской свиты δ13С примерно равен 0‰ (нормальное значение), а в подстилающей туломозерской свите значение этого изотопного коэффициента — повышенное (более 8‰), как и положено породам, образовавшимся в период события Ломагунди.
Всего ученые исследовали 210 метров керна осадочных отложений палеопротерозоя, охватывающих период несколько десятков миллионов лет. Эти отложения, относящиеся к заонежской свите, представлены аргиллитами и доломитами с прослоями шунгитов — пород типа черных сланцев (рис. 1), формировавшихся, как правило, в обстановке резкого снижения уровня кислорода (подробнее о черных сланцах см. Верхний слой океана в позднем архее местами уже был обогащен кислородом, «Элементы», 04.03.2019).
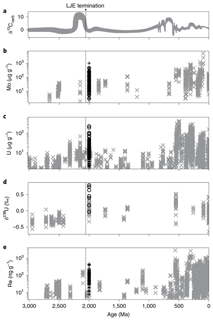
Общее содержание органического углерода Сorg в породах заонежской свиты составляет 14,5–27,4% — примерно столько же, сколько в современных богатых органикой морских отложениях. Но особое внимание авторов привлекли аномально высокие для черных сланцев концентрации в шунгитах металлов, являющихся индикаторами окислительно-восстановительной обстановки осадконакопления — молибдена (до 1009 мкг/г), урана (до 238 мкг/г) и рения (до 516 нг/г).
Первичные источники металлов-индикаторов в морских осадочных отложениях — минералы наземных пород, такие как пирит или уранинит, из которых металлы высвобождаются в процессе выветривания. При разрушении этих пород из-за выветривания металлы поступали в океан вместе с речным стоком и оставались в морской воде в растворенном виде до тех пор, пока не попадали в восстановительную среду и осаждались.
Основываясь на том факте, что из всех палеопротерозойских морских пород металлы-индикаторы концентрируются только в шунгитах, авторы предполагают, что в основном толща океанской воды 2,0–1,9 млрд лет назад — в то время, когда закончились и событие Ломагунди, и кислородная революция, — была все еще насыщена кислородом практически на уровне современных океанов. Исключение составляли лишь локальные бескислородные карманы, где формировались шунгиты и где шло осаждение Mo, U и Re.
Необычно высокими в шунгитах оказались и значения изотопного отношения δ238U (отклонение изотопной подписи 238U/235U в породе от подобного отношения в стандартном образце), которое традиционно служит редокс-индикатором среды Мирового океана. Значения этого коэффициента в изученных породах, лежащие в интервале от −0,03‰ до 0,79‰ указывают на то, что в период накопления осадков заонежской свиты толща воды была насыщена кислородом.
Значения изотопного коэффициента δ238U имеют обратную корреляцию как с уровнем кислотности среды, так и с биологической продуктивностью, отражающейся в объемах накопленной массы органического углерода. Например, в современном Черном море, где биологическая продуктивность очень низкая, значение δ238U в осадках только на 0,8‰ выше, чем в морской воде (M. B. Andersen et al., 2014. A modern framework for the interpretation of 238U/235U in studies of ancient ocean redox). Так как шунгитовые сланцы заонежской свиты богаты органическим углеродом (то есть в период их накопления биологическая продуктивность была высокой), остается только одно объяснение высоких значений δ238U: кислородная среда океана.
Ранее ни в одном исследовании не сообщалось о таких высоких показателях содержания металлов-индикаторов и значении δ238U в обогащенных органическим углеродом протерозойских черных сланцах. Значения такого уровня фиксировались только в фанерозойских породах, являясь свидетельством глубокой оксигенации (насыщения кислородом) океана, возникающей вследствие его взаимодействия с атмосферой (C. T. Reinhard et al., 2013. Proterozoic ocean redox and biogeochemical stasis) (рис. 2).

Рис. 2. Вариации изотопных коэффициентов углерода и урана, а также концентраций металлов, которые являются индикаторами окислительно-восстановительной среды, на протяжении геологической истории. По горизонтали — возраст в млн лет. Черные метки — данные авторов обсуждаемого исследования; серые метки — литературные данные. Изображение из обсуждаемой статьи в Nature Geoscience
Содержание органического углерода в шунгитах определялось на анализаторе LECO CS 444 путем сжигания образца в индуктивной печи при подаче кислорода. Концентрации металлов были получены методом масс-спектрометрии с индуктивно связанной плазмой (ICP–MS), а значения δ238U — методом многоколлекторной масс-спектрометрии с индуктивно связанной плазмой (MC–ICP–MS).
Результаты исследования ставят под сомнение общепринятое мнение о том, что после кислородного всплеска в начале протерозоя на Земле наступил «бескислородный» период, продолжавшийся около миллиарда лет, вплоть до неопротерозоя. Авторы считают, что и после окончания события Ломагунди в атмосфере оставалось достаточно кислорода, и продолжалась атмосферная оксигенация океана, воды которого были насыщены кислородом до середины палеопротерозоя, хотя и отмечают, что это могло касаться не всего Мирового океана, а только локального бассейна, в котором накапливались отложения заонежской свиты.
Тем не менее, ученые отмечают, что сохранение как минимум до середины палеопротерозоя оксигенированных бассейнов могло иметь решающее значение для эволюции жизни на Земле. Палеопротерозой — это время появления первых эукариот — предшественников всей сложной жизни, для развития которой необходим высокий уровень кислорода в окружающей среде.
Данное исследование показывает, что кислородные условия в палеопротерозое сохранялись значительно дольше, чем считалось ранее, а значит, у первых эукариот было значительно больше времени для появления и ранней эволюции.
Источник: Kaarel Mänd, Stefan V. Lalonde, Leslie J. Robbins, Marie Thoby, Kärt Paiste, Timmu Kreitsmann, Päärn Paiste, Christopher T. Reinhard, Alexandr E. Romashkin, Noah J. Planavsky, Kalle Kirsimäe, Aivo Lepland, Kurt O. Konhauser. Palaeoproterozoic oxygenated oceans following the Lomagundi–Jatuli Event // Nature Geoscience. 2020. DOI: https://doi.org/10.1038/s41561-020-0558-5.
Владислав Стрекопытов




Рис. 1. Шунгитовые сланцы заонежской свиты в Карелии — породы с большим количеством органического углерода. Фото с сайта eurekalert.org