
Российские ученые смогли объяснить неожиданно быстрое ускорение вращения белого карлика в двойной системе HD 49798 тем, что он, будучи очень молодым, все еще немного сжимается и из-за этого ускоряется (как фигурист на льду, прижимающий к себе руки). Если это действительно так, то это означает, что астрофизики открыли первый белый карлик, который проходит через стадию сравнительно быстрого сжатия прямо на наших глазах.
Да простит мне классик, но я скажу так: если звезды существуют, значит... давление газа в их недрах препятствует гравитации, стремящейся сжать каждую из них в точку. И в самом деле, жизнь любой звезды — это постоянная борьба сил внутреннего давления, способного звезду разорвать и разметать по пространству, и сил притяжения ее внешних слоев внутренним веществом. Благодаря силам притяжения звезда немного сжимается при любом удобном случае.
Законы гравитации для всех звезд, очевидно, универсальны, а вот внутреннее давление в их недрах может иметь разную природу. И в зависимости от того, какую именно, все звезды можно (условно) разделить на два типа — классические и неклассические. Классические звезды (вроде нашего Солнца) похожи на гигантскую скороварку: внутри них находится очень горячий и очень плотный газ (в основном это водород), подогреваемый термоядерными реакциями в ядре звезды. Его свойства можно вполне описать при помощи только классической (школьной) физики, а сила его давления существенно зависит от его температуры. Такой газ удерживает в равновесии 90% всех звезд Вселенной (см. задачу Звездное равновесие). Другие же 10% — это неклассические звезды, внутри которых тоже есть газ и он тоже оказывает давление, но его природа совсем иная, и описана и понята она может быть только с привлечением квантовой теории и теории относительности. К таким звездам относятся так называемые белые карлики и нейтронные звезды. (Есть еще черные дыры, но они даже не вполне звезды, и мы о них здесь говорить не будем.)
Такие неклассические звезды (или, как чаще говорят, компактные объекты) — это то, во что со временем превращаются звезды классические. В любой звезде однажды заканчивается топливо для термоядерных реакций, давления газа в ее недрах становится недостаточно, чтобы противостоять собственной гравитации, и звезда начинает испытывать разные метаморфозы, после которых она превращается либо в белый карлик, либо в нейтронную звезду — в зависимости от своей первоначальной массы. В общем, что белый карлик, что нейтронная звезда — всё это бывшие ядра, оставшиеся после долгой жизни обычных звезд-прародительниц и сильно сжавшиеся — либо до размеров Земли (в случае белого карлика), либо даже до размеров небольшого города (в случае нейтронной звезды).
Один из белых карликов как раз входит в состав весьма примечательной двойной системы со скучным обозначением HD 49798 (номер 49 798 в астрономическом каталоге Генри Дрейпера; см. Henry Draper Catalogue, HD), которая находится на расстоянии примерно 650 парсек от Земли в созвездии Кормы. Кроме него в эту систему также входит второй компаньон — классическая яркая голубая звезда. Она, впрочем, сама по себе весьма интересна, так как относится к редкому классу голубых субкарликов. Дело в том, что ярким голубым звездам положено быть гораздо массивнее, чем Солнце. Но звезда из системы HD 49798 тяжелее Солнца всего лишь в полтора раза, хотя при этом светит в тысячи раз ярче. В таком качестве эта двойная звезда была открыта в 60-е годы прошлого века. Но в нашу эпоху космических телескопов и астрофизики высоких энергий она предстала еще более интересной.
HD 49798 — это компактная система (ее орбитальный период составляет всего полтора дня), в которой прямо сейчас происходит перетекание вещества на белый карлик со звезды-компаньона — так называемая аккреция. Белый карлик своей гравитацией как бы перетягивает вещество звезды-соседки на себя, при этом, вследствие орбитального вращения всей системы, вещество падает не по прямой, а закручивается и образует аккреционный диск (результат численного моделирования этого процесса можно увидеть здесь).
У системы HD 49798, по-видимому, была очень интересная история. Ее восстановление, кстати, — довольно важный этап исследования, так как предположение о том, что пара «голубой субкарлик + белый карлик» именно с такими характеристиками может существовать, не должно противоречить тому, что мы знаем об эволюции двойных систем. Не так давно эволюцию этой системы промоделировали американские астрофизики (J. Brooks et al., 2017. HD 49798: Its History of Binary Interaction and Future Evolution). В обсуждаемой статье ее авторы также представили результаты своих расчетов.
Получилось, что система начала свою жизнь всего лишь около 55 миллионов лет назад в виде пары двух звезд, каждая из которых была в 7 раз массивнее Солнца. Одна из них, правда, была чуть более массивной, из-за чего эволюционировала быстрее и около 10 млн лет назад превратилась в красный гигант: ее внешние слои расширились в десятки раз и несколько остыли. Раздувшись, красный гигант захватил свою звезду-соседку, образовав так называемую систему с общей оболочкой (common envelope event, CEE; см. Common envelope) — как бы единую звезду, в центре которой находятся два ядра. А после того как внешние слои красного гиганта полностью разлетелись в пространство, они за собой утянули еще и оболочку соседней звезды — превратив ее в тот самый редкий голубой субкарлик.
Энергия движения падающего вещества при столкновении с поверхностью белого карлика переходит в тепло и разогревает поверхность до очень высоких температур (~350 тысяч градусов). Из-за сильного магнитного поля белого карлика (оно в миллионы раз больше, чем поле Земли) вещество выпадает в основном на его магнитные полюса и греет в первую очередь их. Полюса, разогретые до таких температур, излучают в рентгеновском диапазоне. А так как карлик еще и вращается вокруг своей оси с периодом 13,2 секунды, то мы видим эту систему как рентгеновский пульсар — источник периодических ярких импульсов в рентгеновском диапазоне, возникающих каждый раз, когда горячее пятно на его поверхности «смотрит» на наблюдателя. Благодаря этому эффекту мы и могли следить в последние два десятилетия за эволюцией вращения белого карлика.
Вращение небесных тел (и изменение их скорости) — один из важных источников информации о них. К счастью, изменение скорости вращения — довольно распространенное явление. Так, из-за влияния приливных сил Луны продолжительность суток на Земле каждое столетие увеличивается примерно на 2 миллисекунды. Вращение нейтронных звезд замедляется под действием сильнейших электрических токов, текущих по их поверхностям. Похожим образом могут замедляться и белые карлики.
Но некоторые из белых карликов, находящиеся в двойных системах, наоборот, могут ускоряться. Это связано с тем, что вещество, которое выпадает со звезды-компаньона на белого карлика, переносит на него дополнительный момент импульса (это можно сравнить с подкручиванием от скользящего удара). Именно это и должно происходить в HD 49798. А это, что нам известно об этой системе, даже позволяет оценить, как именно должен уменьшаться период вращения белого карлика. Согласно расчетам, каждые сто лет период вращения сокращается на 60 наносекунд. Однако в прошлом году итальянские астрономы после 20 лет наблюдений установили, что в реальности этот белый карлик ускоряется в 100 раз (!) быстрее, чем это было предсказано (S. Mereghetti et al., 2016. Discovery of spin-up in the X-ray pulsar companion of the hot subdwarf HD 49798). Это было неожиданно. А теперь, в свежей работе, уже российские ученые (совместно с итальянским коллегой, руководившим предыдущим исследованием) представили разумное, обоснованное и, главное, красивое объяснение этому факту.
Базовая идея очень простая: если вращающееся тело немного сжать, то оно будет вращаться быстрее. Хрестоматийный пример — фигурист на льду, который прижимает к себе руки во время вращения. С физической точки зрения, здесь срабатывает закон сохранения момента импульса. Поэтому если представить, что наш белый карлик медленно сжимается, то сильное ускорение его вращения становится объяснимым.
Как уже говорилось, белые карлики — звезды неклассические, в том смысле, что их равновесие поддерживается не просто давлением нагретых недр, а давлением так называемого вырожденного газа. Точнее — вырожденного газа электронов. В отличие от газа классического (который изучают в школе), давление вырожденного газа не зависит от температуры, а определяется преимущественно плотностью вещества: чем плотнее вещество, тем сильнее оно сопротивляется сдавливанию. Но для того чтобы вещество стало вырожденным, оно должно охладиться до определенной температуры (так называемой температуры Ферми). В этот момент электроны в белом карлике начинают себя вести подобно спортсменам, стартующим целой толпой, чтобы бежать, скажем, марафон. Каждый из них стремится убежать от соседей как можно дальше (но, в данном случае, не дальше, чем позволяет внутренний объем звезды). А нахождение рядом кого-то быстро бегущего заставляет спортсмена только увеличить свою скорость. Внутри белого карлика вырожденные электроны таким образом стремятся расположиться как можно дальше друг от друга, и необходимо приложить очень большое усилие, чтобы собрать их в одном маленьком пространстве. У белого карлика собственной гравитации (читайте — массы) не хватает, чтобы это сделать, и его коллапс останавливается, хотя и не сразу. Но вот если масса компактного остатка превысит 1,4 солнечных, то такой объект сможет сжаться в нейтронную звезду или даже черную дыру (см. задачу Самый тяжелый белый карлик).
В первые сотни тысяч (быть может, миллионы) лет своей жизни не вся материя внутри белого карлика вырождена, и он вполне может позволить себе медленно сжиматься. С течением времени его недра остывают, «обычное» газовое давление падает, но при этом всё большая часть его вещества становится вырожденной и плотность его увеличивается. А значит, увеличивается и давление вырожденного газа, что постепенно снижает скорость коллапса. Логично ожидать, что этом этапе жизни белого карлика скорость его вращения будет существенно расти, так как его радиус постоянно уменьшается. Именно это мы, скорее всего, и наблюдаем в HD 49798.
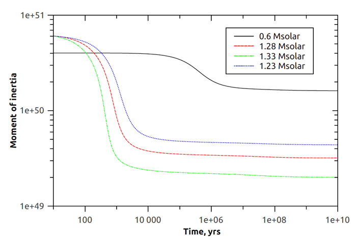
Однако в науке мало высказать правдоподобную идею. В данном случае надо еще строго показать, что существующая (и неплохо разработанная) теория строения белых карликов допускает их сжатие именно с таким темпом, какой нужен, чтобы объяснить наблюдения HD 49798. Обоснование этого и составляет основное содержание обсуждаемой работы. В результате оказывается, что первоначальная идея авторов верна не только качественно, но и количественно (рис. 2).

Рис. 2. Моделирование изменения момента инерции белого карлика (примерно равного его массе, умноженной на квадрат его радиуса) со временем. Цветные кривые описывают эволюцию белых карликов с указанными массами (красная кривая соответствует белым карликам с массой 1,28 масс Солнца — как у белого карлика в HD 49798). Быстрое уменьшение момента инерции на ранних этапах жизни и приводит к наблюдаемой раскрутке его вращения, причем с тем темпом, который реально наблюдается в действительности. График из обсуждаемой статьи в MNRAS
Как был сказано выше, период достаточно быстрого сжатия белого карлика (так, чтобы мы могли это заметить в наблюдениях) не очень длительный, поэтому можно сказать, что астрономам повезло. Ученые открыли первый явно сжимающийся белый карлик, который помог и объяснить свойства HD 49798, и подтвердить эту часть теории звездной эволюции. А также, вообще говоря, еще больше увериться в том, что компактный объект в двойной системе HD 49798 — это именно белый карлик.
Вообще-то, природа компактного объекта в этой системе обсуждается уже много лет, и не исключено, что будет обсуждаться и дальше. Конкурируют две гипотезы: либо это большой белый карлик, либо маленькая нейтронная звезда. В пользу белого карлика пока говорит больше фактов, но окончательный выбор еще не сделан. И даже название обсуждаемой работы — «Молодой сжимающийся белый карлик в странной двойной системе HD 49798/RX J0648.0-4418?» — ее авторы заканчивают знаком вопроса. Это нормальная ситуация для науки, ведь наука держится на сомнениях и предположениях. Так что полученный результат — еще один, и довольно весомый, камушек на чаше весов в пользу большего из двух компактных объектов.
Источник: S. B. Popov, S. Mereghetti, S. I. Blinnikov, A. G. Kuranov, L. R. Yungelson. A young contracting white dwarf in the peculiar binary HD 49798/RX J0648.0-4418? // MNRAS. 2017. DOI: 10.1093/mnras/stx2910.
Антон Бирюков




Рис. 1. Так по мнению художника Франческо Мерегетти (Francesco Mereghetti) выглядит двойная система HD 49798, в которой вещество голубого субкарлика аккрецирует (выпадает) на массивный белый карлик. Рисунок с сайта esa.int