
Роберт и Мередит Рут-Бернстейны применили технологии биоинформатики не к обычным молекулам РНК и ДНК, а к последовательностям рибосомальных РНК. Предполагалось, что эти молекулы бессмысленны, их полинуклеотидная последовательность выполняет структурную, а не информационную функцию. Но изощренные приемы анализа последовательности позволили утверждать, что это не так. В последовательностях рРНК нашлись рудименты тРНК всех 20 аминокислот, следы кодирования рибосомальных белков, а также ферментов, необходимых для белкового синтеза и энергетического снабжения. На основе этого ученые предположили, что рибосомы или их предшественники могли быть промежуточным этапом между РНК-миром и клеточной жизнью.
Роберт Рут-Бернстейн (Robert Root-Bernstein) из Мичиганского университета и его дочь Мередит Рут-Бернстейн из Школы географии и окружающей среды при Оксфордском университете опубликовали в журнале Theoretical Biology интересную гипотезу о возможном промежуточном звене между РНК-миром и клеточным миром. На эту роль, как они считают, вполне годятся рибосомы.
Как предполагается, мир РНК представлял собой первичный мир макромолекул, ориентированный на быстрый синтез белков и нуклеотидных последовательностей. Это был мир самореплицирующихся макромолекул, использующий свои собственные энергетические запасы в виде фосфатов. Это был мир, в котором минеральные вещества из окружающей среды непосредственно катализировали химические реакции между агрегатами органических молекул. С наступлением клеточного мира все химические реакции оказались заключены в микрокосме клеточных оболочек. Как произошел этот переход?
Предполагается, что между самореплицирующимися молекулами и функционирующей клеткой должно находиться нечто, способное не только к репликации (что очевидно), но и к обеспечению энергией, синтезу белковых молекул, транспорту веществ. То есть ко всем клеточным функциям, пусть и в минималистском стиле. Это нечто, кроме того, должно было быть подвластно естественному отбору... впрочем, это неизбежно для любой структуры с возможностью копирования с ошибками. Принципиально такую структуру мы знаем — это рибосомы. Они построены из нуклеотидов и белков, синтез последних они сами и обслуживают. Иными словами, рибосомы заключают в себе молекулы наследственной информации, а также обеспечивают производство жизненно важных белков. Но вот беда — в учебниках написано, что все последовательности рРНК бессмысленны и никакой информации не содержат. А нам требуется такая молекула, в которой бы сохранились наследственные модули для саморепликации — молекулы транспортных РНК (тРНК), молекулы полимераз, синтетаз, фосфатаз.
Рут-Бернстейны решили проверить прописные истины — действительно ли в рибосомальных РНК не содержится никакой информации. Они взяли последовательности рРНК E. coli (и 23S рРНК, и 16S рРНК, и 5S рРНК), перевели их в комплементарную форму, а затем сравнили ее с последовательностями ключевых для синтеза белков молекул: тРНК, рибосомальных белков, лигаз, синтетаз, фосфатаз, полимераз. И самое удивительное — что сходство немедленно обнаружилось.
Во-первых, на рРНК нашлись участки, которые на 50–70% (цифры для двух больших субъединиц) совпали с последовательностями действующих тРНК E. coli. Нашлись для всех 20 аминокислот, из которых слагаются белки земных существ.

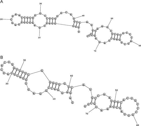
Разметка на 16S рРНК участков, схожих с тРНК всех 20 аминокислот (они имеют стандартные трехбуквенные обозначения); многие последовательности тРНК перекрываются, что показано наложением прямоугольников. Цифры — нумерация нуклеотидов в рРНК последовательности. Рис. из обсуждаемой статьи в Theoretical Biology
Для этих тРНК-подобных участков ученые попробовали смоделировать вторичную структуру, то есть проверили, сложатся ли эти молекулы в характерную трилистную структуру с петлями. Такие компьютерные программы сейчас вполне доступны. Как выяснилось, все тРНК-подобные последовательности рибосом с большой вероятностью образуют структуру трилистника, но некоторые складываются в линейную молекулу с двумя петлями. Авторы работы глубокомысленно напоминают читателям, что подобные «линейные» тРНК известны и они работают в митохондриях. Также для митохондриальных тРНК характерно перекрывание последовательностей; именно это обнаружилось и для рибосомальных тРНК-подобных участков. Не будем, однако, спешить: гипотеза о сохранении примитивных молекулярных признаков в митохондриях нуждается в дальнейшем подтверждении.
тРНК-подобный участок для аспарагина на 16S рРНК (A), тРНК аспарагина у E. coli (B). Рис. из обсуждаемой статьи в Theoretical Biology
Что еще удалось отыскать в последовательностях рРНК? Трансферазы и синтетазы, которые катализируют ковалентную связь между аминокислотами и тРНК, то есть загружают аминокислоты на тРНК. ДНК- и РНК-полимеразы, лигазы, которые организуют транскрипцию нуклеотидных последовательностей, то есть участвуют в репликации. Рибосомальные белки, необходимые для конструирования рибосом, и соответствующие пептидазы. Фосфатазы и другие ферменты, связанные с транспортом фосфатных групп, нужные для синтеза нуклеотидов и энергообеспечения биохимических реакций. Последовательности всех этих белков, естественно, не содержатся в рибосомальных РНК в «чистом виде». Их присутствие утверждается на основе статистических закономерностей.

тРНК аланина у E. coli (A) и тРНК-подобный участок для аланина на 23S рРНК (B): линейная структура с двумя петлями. Рис. из обсуждаемой статьи в Theoretical Biology
Ясно, что сейчас можно найти лишь рудименты этих последовательностей, поэтому выявление их потребовало расчетов вероятностей. Расчеты показали, вероятность присутствия именно этих белков в 4–5 раз выше, чем любых других. Важно, кроме того, что вероятности присутствия этих белков на 16- и 23S рРНК примерно одинаковы. Случайностью это вряд ли можно объяснить. Также трудно объяснить случайностью тот факт, что в найденных последовательностях около трети сходства приходится на активные центры ферментов. А если исключить белки с неизвестной функцией, то эта цифра составит 55%. Это означает, что больше половины сохранившейся в рРНК информации составляют рабочие элементы белкового синтеза.
Выявленные в рРНК (23S, 16S, 5S) последовательности различных функциональных классов белков: рибосомальных белков (красный цвет), синтетаз (голубой), полимераз (темно-зеленый), фосфатаз (розовый). Другими цветами показаны последовательности со смешанным составом, которые можно интерпретировать двояко. Определения этих белков даны для 6 рамок считывания, тРНК показаны в двух вариантах прочтения: как продукт простой нарезки и редактирования рРНК последовательности и как продукт транскрипции; 6S рРНК предполагает возможность обоих вариантов, 23S — в основном транскрипцию. Рис. из обсуждаемой статьи в Theoretical Biology
Всё это позволяет предположить, что рибосомы предшествовали клеточной жизни. Они могли представлять собой доклеточные структуры, способные к автономной саморепликации. А сами они, в свою очередь, сложились из коротких простых кусочков РНК (см. Тайна происхождения рибосом разгадана?, «Элементы», 27.02.2009).
Эта гипотеза, как отмечают авторы, может быть проверена. Так, если в рРНК других бактерий отыщутся тРНК-подобные участки, то это будет ее подтверждением. Если обнаружится сходство в тРНК-участках между различными бактериями, то это тоже будет свидетельство в ее пользу. Если исследования покажут, что последовательности рРНК-связанных ферментов, выявленные для E. coli, присутствуют и у других микробов и в расположении этих последовательностей угадывается сходство, то это тоже усилит гипотезу. И если синтезировать пептиды, закодированные в рРНК-последовательностях, и они докажут свою работоспособность, то это тоже добавит ей вес.
В любом случае, исследования в этом направлении видятся исключительно перспективными и вполне выполнимыми. Если гипотеза подтвердится, то появится реальная база для изучения самых древних, доклеточных, этапов становления жизни. Если же она не подтвердится, то рибосома пока так и останется единственной полинуклеотидной структурой, не несущей никакой информации.
Источник: Meredith Root-Bernstein, Robert Root-Bernstein. The ribosome as a missing link in the evolution of life // Journal of Theoretical Biology. 21 February 2015. V. 367. P. 130–158 (доступен также полный текст статьи — PDF, 9 Мб).
Елена Наймарк




В рибосомальных рРНК удалось выявить рудименты тРНК для всех 20 аминокислот, многие образуют характерную структуру трилистника; очень маловероятно, что это случайность. Рис. с сайта physicalsciences.ucsd.edu