С. Варламов
«Квант» №1, 2013
Конечно, каждый читатель не раз видел на небе радугу. Лучше всего заметна самая яркая, так называемая первая радуга. Она видна в направлениях, составляющих угол 42° с линией, проходящей через центр солнца и глаз наблюдателя. При этом солнце расположено за спиной наблюдателя. Значительно менее яркая радуга видна в направлениях, составляющих угол 51° с той же линией. Порядки расположения цветов в этих двух радугах разные. Внутренняя часть (с меньшими углами) первой радуги фиолетово-синяя, а внешняя красная. У второй радуги — наоборот, внутренняя часть красная, а внешняя фиолетовая. Иногда кроме этих двух радуг видны еще и многочисленные дополнительные светлые дуги, расположенные внутри самой яркой первой радуги. Они есть и вне второй радуги, но их яркость очень мала.
Как возникает радуга? Почему не всегда видны дополнительные дуги? Попробуем ответить на эти вопросы.
Когда и как бы радуга ни возникала, она всегда образуется игрой света на каплях воды. Обычно это дождевые капли, изредка — мелкие капли тумана. Взаимодействие параллельного пучка солнечного света и круглой дождевой капли приводит к тому, что свет преломляется, отражается и очень слабо поглощается каплей. Использованные в этой фразе термины понятны и школьникам, закончившим восьмой класс и знающим только о геометрической оптике, и старшеклассникам, знакомым с волновой природой света.
В геометрической оптике рассматриваются три главных закона, которые описывают поведение лучей света. Это закон прямолинейного распространения света в однородной среде и законы отражения и преломления света на границе раздела двух сред. Закон отражения света в упрощенной форме формулируется так: угол падения луча равен углу отражения. А закон преломления лучей света на границе раздела утверждает, что отношение синуса угла падения к синусу угла преломления равно отношению скорости света в первой среде (из которой свет падает на границу раздела) к скорости света во второй среде (находящейся за границей раздела). Или, иными словами, отношение синусов углов падения и преломления равно относительному показателю преломления второй и первой сред.

Если пользоваться только законами геометрической оптики, то можно показать, что лучи света, прошедшие внутрь капли, отразившиеся внутри нее один или два раза и затем вышедшие наружу, собираются (группируются, или концентрируются) вблизи направлений, которые как раз соответствуют первой и второй радугам (рисунки 1 и 2 соответственно). (Можно аналогично найти направление для третьей и последующих радуг, но, поскольку они настолько слабы, что никогда не наблюдаются на фоне ярких первых двух радуг, мы их рассматривать не будем — в прямом и в переносном смысле!) Условия концентрации по некоторым направлениям в пространстве лучей, вышедших из капли, соответствуют экстремумам в зависимости угла поворота луча — будем обозначать его как 180 – φ — от так называемого прицельного угла падения α. Для первой радуги φ = 42°, а для второй радуги φ = 51°. В случае света разных цветов (длин волн) соответствующие углы поворота немного отличаются, так как каждой длине волны света (цвету) соответствует свой коэффициент преломления n. Связь между углом падения α, углом преломления β и углом φ для одного отражения света внутри капли такова: φ = 4β – α. Для двух отражений луча света внутри капли: φ = 180° – 2α + 6β. По закону преломления, sinα/sinβ = n. У воды коэффициент преломления для всех длин волн видимого света близок к величине n = 4/3.

Рис. 2.
Графики зависимости углов φ от углов α (в градусах) показаны на рисунке 3. Видно, что экстремумы приходятся как раз на значения углов φ = 42° и φ = 51°. Поскольку разным цветам соответствуют разные коэффициенты преломления n — это свойство среды называется дисперсией, — направления в пространстве, вблизи которых концентрируются лучи света, для разных длин волн не совпадают, и мы видим радугу цветной. Например, первая яркая радуга имеет угловой «размах» около 3,5°. Из рисунка 3 видно, что для одного отражения внутри капли экстремум это максимум, а для двух отражений внутри капли — минимум, поэтому понятно, почему порядки цветов в первой и второй радугах (42° и 51°) противоположные.

Рис. 3.
Любопытно, что если бы космонавт оказался на орбите Меркурия и устроил внутри космической станции туман из водяных капелек, то он увидел бы вовсе не такие радуги, к которым мы привыкли. Для него и первая, и вторая радуги солнечных лучей представлялись бы белыми! И только края этих радуг были бы слегка окрашены. Это связано с тем, что угловой размер Солнца для наблюдателей на Земле гораздо меньше угловой ширины радуг и составляет около 0,5°, а для наблюдателя, находящегося на таком же расстоянии от Солнца, как Меркурий, угловой размер Солнца примерно в 2,5 раза больше.

Рис. 4.
Однако и в земных условиях тоже можно увидеть белую радугу. Фотография, приведенная на рисунке 4, сделана из окна каюты корабля в тумане. Слой тумана обеспечил существенное угловое расширение источника света — солнце сквозь туман выглядело отнюдь не маленьким светящимся диском с четкими краями, а большим белым пятном. Если внимательно присмотреться к фотографии, то можно отметить, что верхний край белой радуги имеет красноватый оттенок, а нижний — фиолетовый. Еще одна красивая фотография белой радуги приведена на рисунке 5.
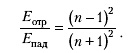
Но вот для того чтобы объяснить, почему первая и вторая радуги получаются разными по яркости, законов геометрической оптики оказывается недостаточно. На любой границе раздела энергия Еотр отраженного света и энергия Епрош света, прошедшего через границу, в сумме равны энергии Епад падающего света. Пропорции между энергиями прошедшего и отраженного света определяются относительным показателем преломления сред по разные стороны от границы, углом падения на границу, а также поляризацией падающего света (кстати, именно поэтому свет радуги сильно поляризован). Формулы для расчета отношений Еотр/Епад и Епрош/Епад вывел еще в начале XIX века Огюстен Френель, и заинтересовавшиеся читатели могут отыскать их, например, в учебниках по оптике для студентов. Так, при перпендикулярном (α = 0) падении света на границу раздела сред с относительным показателем преломления n долю энергии отраженного света можно вычислить с помощью такой формулы:

Поскольку свет, образующий первую радугу, отразился внутри капли только один раз, а свет, образующий вторую радугу, отразился внутри капли два раза, то приближенно можно оценить отношение яркостей (интенсивностей света) этих радуг так:

На самом деле это отношение несколько меньше, так как внутренние отражения для больших углов падения характеризуются и большим коэффициентом отражения.
Но откуда берутся дополнительные радуги? Если какому-то направлению рассеяния солнечного света соответствует экстремум функции распределения по углам для одной капли, то и всем каплям такого же размера соответствует аналогичное направление концентрации энергии рассеянного света. При этом направлениям, расположенным рядом с экстремальным, отвечают два разных пути лучей света внутри капли. Им соответствуют разные углы падения на каплю и, естественно, немного отличающиеся длины этих путей. Если разность длин таких путей для выбранного направления пропорциональна целому числу волн света с длиной волны λ, или четному числу полуволн, то в этом направлении наблюдается максимум интенсивности света на этой длине волны. Если же разность длин путей пропорциональна нечетному числу полуволн, то в таком направлении наблюдается минимум интенсивности света на этой же длине волны. Самому экстремальному направлению, конечно же, соответствуют почти одинаковые оптические длины путей для разных углов падения вблизи максимума. Такое перераспределение энергии светового потока по разным направлениям называется интерференцией. Заметной в природе интерференция становится только в том случае, если размеры всех дождевых капель, во-первых, очень близки друг к другу, а во-вторых, настолько малы, что выполняется так называемое дифракционное соотношение: отношение длины волны света λ к диаметру капли D больше углового размера радуги. Для крупных капель, с диаметром больше 1 мм, увидеть в природе дополнительные радуги нельзя, а для малых капель — можно. Оказывается, что если размеры капель малы, то рассчитать явление без учета дифракции света, т. е. нарушения прямолинейности распространения, связанного с волновой природой света, невозможно. (Отсюда возникает «вилка» в терминологии: некоторые называют дополнительные радуги дифракционными, а некоторые — интерференционными.)
А можно ли наблюдать явления, аналогичные возникновению дополнительных радуг, в домашних условиях? Можно. Для этого, во-первых, нужно создать условия для рассеяния света не в пространственный конус, как это имеет место в каплях, а только в некоторых направлениях. Это возможно, если вместо круглых капель использовать почти цилиндрическую струю воды. Во-вторых, нужен источник света, который характеризуется значительно меньшими, чем Солнце, угловыми размерами. И в-третьих, этот источник должен создавать свет, близкий по свойствам к монохроматическому. Таким источником может быть, например, лазер. Сейчас доступны лазеры с разными длинами волн.
Приведем описание экспериментов, проведенных автором статьи в домашних условиях.
При одном и том же расположении лазеров разных цветов — красного с длиной волны λ = 630–650 нм, зеленого с λ = 532±10 нм и синего с λ = 405 нм (это — надписи на этикетках, наклеенных на корпусы лазеров) — на стене ванной комнаты были получены картинки (рис. 6), соответствующие «радуге» первого порядка (42°) от тонкой струи воды (диаметром d ≈ 1 мм). Причем во всех трех случаях струя сохраняла свои параметры, т. е. вода текла из крана непрерывно и равномерно и настройка крана при смене лазеров не менялась. На фотографиях видно, что положения главных максимумов для разных цветов отличаются, но максимумы располагаются все-таки близко друг к другу.
Расстояние от струи до стены составляло 150 см, а смещение главного красного пятна по отношению к главному синему пятну оказалось равным 5 см. Это соответствует разнице углов отклонения лучей для синего и красного цветов примерно 1,9° . Такое отличие углов обусловлено дисперсией света в воде. А вот расстояния между минимумами картинок, отсчитываемыми от главного максимума, отличаются в количество раз, соответствующее длинам волн. Для синего цвета угловое расстояние между соответствующими минимумами меньше аналогичного углового расстояния для красного цвета примерно в 1,4 раза (630 нм/405 нм = 1,55), а для красного и зеленого цветов это отношение равно примерно 1,2 (630 нм/532 нм = 1,18). Если пустить из крана более толстую струю воды, то при тех же расположениях главных максимумов разных цветов расстояния между соответствующими дополнительными максимумами и минимумами уменьшаются.
Добиться устойчивого течения струи с диаметром меньше 1 мм, к сожалению, не удается, поэтому получить дифракционные или интерференционные радуги на струе воды с белым светом не получится. Это связано с тем, что полученные в эксперименте расстояния между дополнительными минимумами и максимумами для всех длин волн значительно меньше 3° — ширины первой радуги.
На водяных каплях в облаках это возможно, если все капли имеют одинаковые размеры, значительно меньшие 0,1 мм. Тогда угловые промежутки между соседними максимумами малых порядков (1–10) могут достигать 2–3 градусов, и поэтому первые несколько дополнительных радуг, расположенных в непосредственной близости от основной радуги, еще различаются как отдельные. Дело в том, что наиболее ярким воспринимается глазом желтый участок спектра излучения солнца. Именно этим длинам волн и соответствуют максимумы интенсивности света в дополнительных (дифракционных/интерференционных) радугах.
Когда угловое расстояние между соседними дополнительными радугами становится меньше 0,5°, их в принципе невозможно различить, так как угловой размер Солнца как раз равен этой величине. Угловое расхождение монохроматических лучей света лазера намного меньше 0,5°, поэтому можно увидеть множество максимумов разных порядков дифракции, возникающих при рассеянии света на тонкой струе воды.
В каждой «вложенной» в основную радугу (42°) дополнительной радуге угловое расположение цветов определяется двумя факторами, «действующими» в противоположных «направлениях», — рефракционным и дифракционным. При этом рефракционный поворот лучей не зависит от номера порядка дифракции, а дифракционный поворот зависит. Вот почему в дифракционных радугах цвета не разложены так же отчетливо, как в основной радуге. С увеличением номера светлые дуги разных цветов и разных порядков дифракции накрывают друг друга, и различить их уже невозможно — они вместе образуют светлый фон неба внутри основной радуги.
А теперь — из области фантастики. Вот если бы Солнце светило монохроматическим светом, то было бы заметно гораздо больше дифракционных радуг, вложенных в основную радугу, так как каждая из них имела бы угловой размер, равный угловому размеру Солнца. И насколько величественней выглядела бы радуга, если бы Солнце, в дополнение к монохроматичности света, характеризовалось еще и очень маленьким угловым размером, а все капельки воды в облаке были бы совершенно одинаковых размеров. Такое можно себе только представить: на небе было бы несколько десятков одноцветных дуг!
Рис. 1.