В. В. Благутина,
кандидат химических наук
«Химия и жизнь» №6, 2012

Порфирины — самые распространенные пигменты в природе. К ним относятся гемоглобины, хлорофиллы, цитохромы и другие ферменты, они также присутствуют в выделениях животных, оперении птиц, раковинах моллюсков, нефти, найдены даже в метеоритах. В молекуле любого порфирина имеется кольцо, которое составлено из четырех пиррольных фрагментов (рис. 1), которые могут быть связаны с самыми разными ионами металла. Каждая такая комбинация соответствует определенной биологической функции в живых организмах (рис. 2).
Например, белковые молекулы, включающие комплексы порфирина с магнием, — это зеленый пигмент хлорофилл, без которого был бы невозможен фотосинтез; комплексы порфирина с двухвалентным железом — гемоглобины, обеспечивающие ткани кислородом. Комплекс порфирина с никелем — ключевая часть кофермента F430, играющего важную роль в метаболизме метана у бактерий. Производные порфирина, содержащие кобальт, — витамин В12, недостача которого может спровоцировать анемию, нарушение функции мозга и нервной системы. В общем, все порфирин содержащие пигменты можно назвать «красками жизни» — они необходимы для существования почти всех организмов. И если реакции обмена веществ, в которых участвует порфириновое кольцо, нарушаются, последствия могут быть непредсказуемыми. Одно такое нарушение, как считают некоторые ученые, помогло Соединенным Штатам обрести независимость.

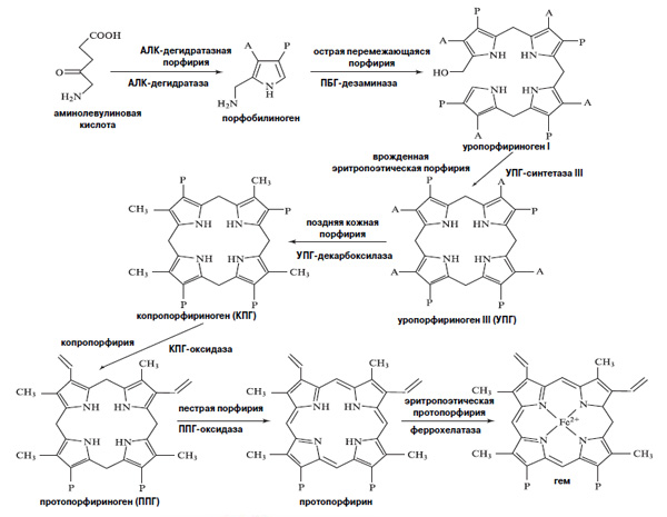
Исходные вещества для сборки порфиринового кольца растений и животных различаются. Но с определенного момента, а точнее, после того, как они собрались в одну молекулу — аминолевулиновую кислоту, дальнейшая цепочка реакций, включающая до протопорфирина шесть стадий, достаточно универсальна (рис. 3). Каждую стадию в этой цепи катализирует свой фермент.
Очень важна протопорфириногеноксидаза (ППГ-оксидаза) — катализатор основной и последней стадии образования колец, после которой порфирин связывается с различными металлами и образуется «готовое» соединение. В клетках животных и человека ППГ-оксидаза (рис. 4) связана с внутренней мембраной митохондрий. Молекула этого фермента имеет три части, или домена: один связывает его с субстратом (веществом, которое вступает в реакцию), второй — с мембраной, а третий — с окислительно-восстановительным фактором, который называется «флавинадениндинуклеотид», или FAD. Это соединение может принимать электроны от предшествующих метаболитов и передавать их дальше по цепочке — процесс, необходимый, в частности, для выполнения основной задачи митохондрии: обеспечения клетки энергией.

На последней стадии ППГ-оксидаза катализирует отщепление шести водородных атомов от неокрашенного протопорфириногена, и образуется фоточувствительный красный пигмент протопорфирин. Эта реакция изучена еще не очень хорошо, но известно, что перенос водорода направляет FAD, и при этом очень важно пространственное расположение аминокислоты глицина в ферменте по отношению к FAD — от него зависит скорость реакции.
Детали работы этого фермента и всех остальных участников синтеза порфирина имеют значение не только для академической науки. Существует целая группа заболеваний под общим названием «порфирия». На седьмой стадии, когда к производному порфирина присоединяется железо, образуется гем — небелковая часть гемоглобина и ему подобных соединений. В организме человека синтез гема — самое важное, для чего нужна эта цепочка реакций. Протекает она в печени и костном мозге, а потом основное количество гема свяжется с белковой частью гемоглобина (см. «Химию и жизнь», 2010, № 10). Гемоглобин, содержащийся в эритроцитах крови, как известно, отвечает за перенос кислорода и углекислого газа.
Если нарушается та или иная стадия синтеза гема, в организме начинает накапливаться порфирин или его предшественники (какие именно — зависит от того, какая стадия нарушена). Именно эти промежуточные продукты синтеза гема вызывают большинство симптомов, характерных для порфирии. Назовем лишь три заболевания: острая перемежающаяся порфирия (нарушение активности фермента ПБГ-дезаминазы, при которой поражается нервная система и больного мучают боли, причем болезнь приходит и отступает волнами), копропорфирия (нарушение активности фермента КПГ-оксидазы — по симптомам похожа на первую, только менее тяжелая) и пестрая, или вариегатная, порфирия (недостаточность фермента последней стадии ППГ-оксидазы).
Биосинтез гема изучен давно, но гены, которые кодируют ферменты разных стадий, найдены сравнительно недавно. Сегодня для каждого фермента известен наследственный дефект, вызывающий соответствующую форму наследственной порфирии. Надо отметить, что это заболевание бывает не только наследственным, но и приобретенным — например, при некоторых заболеваниях печени последовательность биохимических событий, отвечающих за синтез порфирина, тоже может нарушаться.
Разные формы порфирий имеют различные проявления, и подробности этих заболеваний оставим врачам. Но отдельные симптомы надо упомянуть, поскольку они нам понадобятся в дальнейшем. Сверхчувствительность кожи к свету вплоть до появления язв (естественно — ведь в коже накапливается фоточувствительный пигмент), желудочно-кишечные расстройства, боли, онемения мускулов. Некоторые формы порфирии поражают нервную систему из-за недостатка производного порфирина витамина В12, причем диапазон проявлений довольно широк — от еле уловимых раздражительности и мрачности до полной психической ненормальности.
Люди с пестрой порфирией наследуют один дефектный аллель, в результате активность их ППГ-оксидазы оказывается вдвое ниже нормы. У таких больных могут проявляться и нейропсихические симптомы, и кожные язвы, и хронический фотодерматит. Часто при этом моча и кал приобретают весьма специфический цвет, поскольку с ними выделяется избыток порфиринов. Однако три четверти людей с таким дефектным аллелем проживают свою жизнь без всяких симптомов болезни, и она у них никак не проявляется! У остальных сильнейшие обострения могут быть спровоцированы тяжелыми металлами, продуктами питания, алкоголем и некоторыми лекарствами, влияющими на метаболический путь порфирина.

Царствование Георга III (рис. 5) было третьим по продолжительности в истории Великобритании после Виктории и Елизаветы II (официальные даты его правления — 1760–1820). При нем завершилась промышленная революция, Британская империя имела сильную экономику и военно-морской флот. Этот блестящий взлет был тем не менее омрачен полной потерей американских колоний — случилась американская Война за независимость и образовались Соединенные Штаты.
Начиная с 1765 года, когда английское правительство провело через парламент Акт о гербовом сборе, в американских колониях росло возмущение несправедливыми налогами, пополняющими британскую казну за их счет. Прозвучала фраза «нет налогам без представительства», ставшая впоследствии девизом в борьбе за американскую независимость. Политическое напряжение нарастало, население колоний поделилось на «патриотов» и «лоялистов». В 1773 году произошло знаменитое «Бостонское чаепитие» — группа заговорщиков забралась на английский корабль в бостонской гавани и выбросила в воду 342 ящика с чаем, налог на который был непомерно высок. Король Георг занял жесткую позицию, послав британские войска подавить бостонский чайный мятеж, и в 1775 году началась уже настоящая кровопролитная война. История свидетельствует, что король яростно и до потери здравого смысла сопротивлялся дипломатическим шагам и возможным компромиссным решениям, которые предлагались в процессе войны. Как следствие — в июле 1776 года колонисты объявили себя независимыми от Великобритании, а текст их Декларации независимости фактически по пунктам перечислял неуступчивость короля Георга. Война фактически завершилась капитуляцией лорда Корнуоллиса, возглавлявшего британскую армию, в Йорктауне в октябре 1781 года. После этого в 1783 году в Париже был заключен Версальский мирный договор, и Великобритания признала независимость США.
Известно, что Георг III с 27 лет страдал странной болезнью, во время приступов которой он принимал явно неразумные решения, а порой был и вовсе недееспособен. В Королевском медицинском архиве много хорошо документированных рецидивов болезни. В частности, известны пять основных таких эпизодов, на протяжении которых король был очень слаб физически, причем и его умственные способности также приходили в упадок.
Первое проявление болезни было зафиксировано у него в 1765 году, через четыре года после того, как он женился на Шарлотте Мекленбург-Стрелицкой. Следующий тяжелый приступ случился в 1788 году, причем слабоумие короля было настолько явственным, что оно спровоцировало «кризис регентства», во время которого сын пытался установить опеку над отцом. После 1811 года и до самой смерти Георга III в 1820 году его здоровье настолько ухудшилось, что правление перешло к регенту, а сам король требовал неусыпного внимания и был заперт в изолированных покоях Виндзорского замка.
Долгое время ученые считали, что периоды умственной неполноценности короля Георга были связаны с психическим заболеванием, например с маниакально-депрессивным психозом. В середине 1960-х годов появилось предположение, что король страдал от порфирии. Архивы свидетельствуют, что у Георга III были все типичные симптомы, связанные с этим заболеванием: сильные боли в животе, моча, похожая по цвету на портвейн, паралич рук и ног, а также светобоязнь.
В 1968 году английский врач Ида Макальпин и ее коллеги исследовали медицинские архивы 13 поколений членов королевской семьи, к которой принадлежал Георг III, охватив 400 лет. Они нашли очевидные доказательства того, что не только у Георга, но и у многих других членов августейшей семьи могла быть порфирия, в том числе у королевы Шотландии Марии Стюарт (1542–1587). Дальнейшие исследования обнаружили проявления болезни и у более отдаленных предков — например, у Генриха VI (XV век). Потомки королевской семьи, у которых, судя по архивным записям, не было признаков заболевания, также могли быть носителями генетического дефекта. То, что у них не проявлялись симптомы болезни, неудивительно — ведь, как уже упоминалось, 75% носителей генетического дефекта, связанного с пестрой порфирией, о нём и не подозревают.
В 1998 году исследования Мартина Дж. Уоррена из Кентского университета и его коллег легли в основу книги «Пурпурная тайна: Гены, безумие и королевские дома Европы» (ее авторами были также Джон Рёль и Дэвид Хант; см. журнал «Природа», 2000, № 9). Эта книга — пример замечательного сотрудничества историков и молекулярных генетиков. Авторы доказывают, что Георг передал болезнь многим своим потомкам, включая знаменитую королеву Викторию. А она — своим детям, которые потом царствовали во многих странах Европы. Были подозрения, что порфирия в смягченной форме была, в частности, и у последней русской царицы Александры Федоровны (внучки Виктории и жены Николая II), и это стало причиной ее физических страданий и психической неуравновешенности. У Георга VI, отца ныне правящей Елизаветы II, а также у ее потомков признаков болезни не наблюдалось, в отличие от брата и племянника Георга.
Если вернуться к Георгу III, то сначала исследователи думали, что у короля была острая перемежающая порфирия, но после подробного изучения признаков, проявлявшихся у него, его предков и потомков, сделали вывод, что речь идет о пестрой порфирии. Причем похоже, что Георг страдал от особо тяжелой ее формы. Сегодня врачи знают, что носитель генетически дефективной протопорфириногеноксидазы должен быть сверхчувствителен к тяжелым металлам и другим загрязнителям. Элементный анализ волос короля Георга говорит о том, что у него в организме был нормальный или чуть повышенный уровень ртути и свинца. Но в 2005 году Тимоти Дж. Кокс и его коллеги из Кембриджского университета измерили еще и содержание мышьяка, и его оказалось довольно много. Возможно, именно отравление мышьяком спровоцировало у короля тяжелейшие приступы болезни.
Поскольку порфирия повлияла на физическое и умственное состояние короля, могла ли она повлиять и на ход истории? Возможно, если бы Георг III не был болен, Войны за независимость удалось бы избежать? С уверенностью это утверждать нельзя, поскольку в истории двойной эксперимент с контролем невозможен. Но так или иначе, болезнь парализовала энергию короля, сказывалась на его темпераменте и влияла на его решения.

Порфирия не имеет никакого отношения к вампиризму, но в основе мифа о вампирах, как считают многие, лежит именно это заболевание. Сначала о Дракуле. Прототипом этого вымышленного литературного героя был господарь Валахии Влад III (1431–1476), он же Влад Цепеш, или Дракула. Этот исторический персонаж, согласно легенде, был необыкновенно жесток с врагами, причем как со своими соотечественниками, так и с солдатами армии противника. «Цепеш» по-румынски значит «сажающий на кол».
Ирландский романист Брэм Стокер в первый раз услышал о Владе Цепеше в 1890 году от венгерского профессора Арминия Вамбери. Стокер увлекся зловещим историческим лицом и придумал свой фантасмагорический персонаж — после семи лет напряженной работы вышел его роман «Дракула». Это имя Стокер также выудил из жизни Влада III — его отца, состоявшего в рыцарском ордене Дракона, звали Дракул (по-румынски «Дракон»), а окончание «а» означает «сын дракона».
Неизвестно, знал ли Стокер о порфирии и о поразительном сходстве между чертами им придуманного персонажа с некоторыми ее симптомами. (Впрочем, нет и подтверждения, что Влад Цепеш страдал порфирией.) Впервые это сходство увидел известный канадский химик Дэвид Долфин, автор семитомного труда по порфиринам. Долфин также предположил, что история Дракулы могла родиться из суеверных объяснений болезни.
Действительно, накопление фоточувствительного пигмента в коже и в сетчатке глаза делает этих больных чрезвычайно чувствительными к солнечному свету. Некоторые несчастные вообще не выходят на солнечный свет, поскольку он вызывает у них полный упадок сил. В тяжелых случаях повреждаются и деформируются хрящи (нос и уши), суставы. Болезнь способна совершенно обезобразить человека — иссушаются десны и губы, кожа теряет эластичность, десны могут подтягиваться вверх, обнажая зубы (в том числе клыки) красноватого оттенка — ведь в них присутствует избыток порфирина. Итак, в полуоткрытом рту виден жуткий розоватый оскал, человек заметно оживляется в ночное время, из-за нарушений психики ведет себя странно и даже агрессивно. Классика жанра, готовый роман ужасов. Возможно, что нарушение функции ППГ-оксидазы — научная подоплека мифа о вампирах. Но разумеется, эти больные совершенно не опасны, а, наоборот, нуждаются в медицинской помощи.
Порфирию в растениях не замечали очень долго, поскольку нарушение синтеза порфирина обычно приводит к ранней гибели мутантных экземпляров. Тем не менее недавно ученые из университета Миссури описали линию кукурузы (ее назвали Les22), у которой обнаружились светочувствительные очаги на листьях. Оказалось, что в этой кукурузе нарушен синтез уропорфирино-гендекарбоксилазы — фермента, важного для биосинтеза хлорофилла и гема. У человека с подобной мутацией проявляется поздняя кожная порфирия, вызванная избыточным накоплением уропорфирина. На сегодняшний день другие природные нарушения синтеза порфирина у растений (например, дефицит ППГ-оксидазы, как при пестрой порфирии) пока не обнаружены. Тем не менее давно существуют гербициды, которые нацелены именно на это.

Первый гербицид, который содержал ингибитор ППГ-оксидазы — нитрофен, — появился в 1964 году. Он работал, но точный механизм его действия много лет оставался загадкой для ученых. На свету нитрофен вызывал быстрое обесцвечивание и обезвоживание листвы, в результате лист закручивался, морщился, темнел и погибал (рис. 6). С одной стороны, разрушалась мембрана клеток, что приводило к потере жидкости. А с другой — обесцвечивался пигмент хлоропласта и прекращался фотосинтез.
Тот факт, что активность ингибиторов ППГ-оксидазы зависит от света, обнаружили еще в 1969 году. Но только в конце 1980-х группа французских ученых под руководством Мишеля Матринжа обнаружила, что потеря целостности мембраны — это следствие накопления светочувствительного пигмента, и очень скоро стало понятно, что этот пигмент — порфирин. Та же исследовательская группа вместе с экспертами по биохимии порфиринов показала, насколько этот эффект схож с накоплением протопорфирина при недостаточности ППГ-оксидазной активности у человека (пестрая порфирия), и доказала, что эти гербициды действительно угнетают работу ферментов хлоропластов.
Как и у людей с пестрой порфирией, угнетение ППГ-оксидазы вызывает бесконтрольное накопление протопорфириногена, который в растениях проходит через мембрану хлоропласта в цитоплазму, где и превращается в крайне светочувствительный порфирин. На свету протопорфирин выделяет активный синглетный кислород, вызывающий перекисное окисление липидов мембраны, — отсюда ее разрушение.
Устойчивость сорняков к ингибитору ППГ-оксидазы развивается медленно, но, как ни странно, недавно обнаружены вообще нечувствительные к ней растения (Amaranthus tuberculatus, амарант или щирица бугорчатая). Причем эти растения устойчивы к нескольким классам ингибиторов ППГ-оксидазы. Устойчивость связывают с меньшим накоплением порфирина и соответственно с меньшим повреждением мембран. Известен и ген, ответственный за нечувствительность к гербицидам, — это PPX2L, кодирующий митохондриальный аналог ППГ-оксидазы, на который гербицид не действует.
Порфириновое кольцо — замечательный пример того, как природа выбирает ключевые строительные блоки для реализации грандиозных и сложных задач. Единый метаболический цикл производства протопорфирина — кольца, из которого получаются другие «кольца жизни», — появился на начальной стадии эволюции и одинаков у различных организмов. Порфириновое кольцо настолько важно, что любое нарушение его синтеза, особенно на последнем этапе, имеет катастрофические последствия. Не случайно именно порфирины создают то, что мы называем красотой живой природы. Глядя на зеленый луг или румяные щеки девушки, мы любуемся «пигментами жизни».
При подготовке статьи использовались материалы «American Scientist», 2011, т. 99, № 3