Мария Николаевна Преображенская,
доктор химических наук
«Химия и жизнь» №7, 2011

Еще совсем недавно, в начале ХХ века, любая царапина или простуда могли стать смертельными. Когда в арсенале врачей появились антибиотики, показалось, что проблема решена. Сегодня, через 70 лет после появления пенициллина, все чаще мы слышим о микробах, нечувствительных ко всему многообразию производимых антибиотиков. Появляются новые препараты, а вслед на ними — нечувствительные к ним микроорганизмы.
Об этой гонке и разработке новых антибиотиков нашим читателям согласилась рассказать заместитель директора по научной работе НИИ по изысканию новых антибиотиков им. Г. Ф. Гаузе РАМН, заведующая лабораторией химической трансформации антибиотиков, доктор химических наук Мария Николаевна Преображенская. Беседу вела кандидат химических наук В. В. Благутина.
— Мария Николаевна, сначала вопрос на злобу дня — откуда могла взяться напугавшая всю Европу кишечная инфекция, вызванная особым штаммом E. coli?
— Я не микробиолог, а химик, но определенно могу сказать одно. Эта палочка коли живет только в человеке и животных, поэтому попасть в окружающую среду может исключительно от них. Ни на огурцах, ни на помидорах, ни на ростках сои она не может появиться. Значит, эта инфекция от кого-то идет — например, от какого-то человека, которого неоднократно лечили многими антибиотиками и палочка мутировала в его организме. Ведь резистентность передается от бактерии к бактерии очень быстро. У нас в норме эта палочка есть в кишечнике, но достаточно, чтобы туда попало совсем немного другого, нечувствительного штамма, как последний очень быстро обменяется плазмидами (или другим переносчиком резистентности) с «нормальными» собратьями, и все палочки станут нечувствительными. А дальше — сточные воды или другие отходы жизнедеятельности человека попадают на поля, и палочку начинают находить то там, то там.
— Вспышка кишечной инфекции — частность. На самом деле резистентных микроорганизмов в мире все больше — тех, на которые уже не действуют даже самые сильные современные антибиотики. Появляются новые препараты, но довольно быстро появляются и новые нечувствительные к ним штаммы микроорганизмов. Есть ли у антибиотиков шанс выиграть эту гонку?
— Шанса, конечно, нет — это бесконечная борьба. Мы делаем новые антибиотики, а микробы через некоторое время приспосабливаются к ним, вырабатывая резистентность. Эта нечувствительность может появляться быстрее или медленнее (в зависимости от механизма действия антибиотика), но она все равно появляется.
За 70 лет ученые прошли долгий путь. Первый пенициллин — это был полностью природный продукт, который вырабатывают определенные штаммы бактерий. Сегодня производят какое-то количество природных антибиотиков, но в основном это уже полусинтетические препараты: берут природное соединение за основу, а потом модифицируют его химическим или биосинтетическим способом. Чем дальше мы продвигаемся, тем больше ученые отходят от исходной природной структуры, которая оказывается все больше модифицированной. Пенициллин приходится прапрадедушкой новым антибиотикам на его основе. Уже давно появились и полностью синтетические антибиотики, полученные совсем без участия бактерий.
Понятно, почему все пошло именно в этом направлении. Сначала микробиологи находят и выделяют новые штаммы микроорганизмов, которые продуцируют антибактериальные соединения. Но ведь микроорганизмы выделяют их для каких-то своих целей, и к человеческому организму они не очень приспособлены. Поэтому, как правило, в нашем организме находится фермент, который разлагает природный антибиотик, или он быстро выводится из организма. Почти все современные антибиотики — полусинтетические или полностью синтетические. По сравнению с природными, они более активны и имеют более благоприятные фармакологические параметры, у них меньше побочных эффектов. В качестве примера можно привести природный антибиотик эритромицин. Сегодня он существует только в виде мазей, поскольку у него слишком много побочных эффектов. А внутрь давно назначают другие химические производные этого ряда — так называемые препараты второго и третьего поколения.
Если вернуться к основному вопросу — кто победит в гонке, — то я всё-таки надеюсь, что и у патогенных организмов тоже нет шансов одолеть нас. Мы будем бороться и продолжать придумывать, как бы еще уничтожить нечувствительные микроорганизмы.
Впрочем, новые антибиотики сегодня появляются не так часто, а последнее время все реже и реже. На это есть несколько причин. Найти новые активные структуры действительно труднее, поскольку многое уже сделано. А кроме того, ко второй половине 1990-х годов почему-то возникло ощущение, что мы победили в антибактериальной войне, и крупные фармацевтические фирмы, те, кто делают погоду на рынке, закрыли отделения, где разрабатывают антибактериальные препараты (речь именно о них, а не о противоопухолевых и противогрибковых антибиотиках).
— Получается, резистентные штаммы появились только в середине 1990-х годов?
— Нет, конечно, они были и раньше, только не в таком количестве, поэтому не казались глобальной проблемой. А потом, есть еще один важный фактор — антибактериальные препараты невыгодны. Выгодно лечить диабет, ревматоидный артрит, опухоли и другие тяжелые заболевания, требующие постоянной терапии! А антибиотики за редким исключением вы принимаете пять-семь дней. Коммерчески это совсем другая отдача, в них вкладываться не так выгодно. Еще и поэтому за последние десять лет появилось очень мало новых антибиотиков.
Вообще, создание лекарства — это очень долгий и сложный путь. Сначала находят активную структуру, потом идет ее оптимизация. Из сотен и тысяч соединений со сходными структурами отбирают всего одно или два. И этот этап, если делать его как следует, требует огромных средств. Естественно, что когда такая активная структура найдена и проверена, ее обязательно защищают патентами.
Поэтому если кто-то из инвесторов говорит, что сделать лекарство можно гораздо дешевле, чем за миллиард долларов, то это правда, только если речь идет об уже существующем препарате, на который кончилась патентная защита, и у которого известна структура, способ получения и фармакологические свойства (получится дженерик). А стоимость нового препарата определяется еще и средствами, вложенными в поиск, оптимизацию структур, тщательное фармакологическое изучение.
— Стоит ли надеяться на антимикробные пептиды, которые, как пишут, могли бы помочь бороться с резистентными микроорганизмами?
— Таких пептидов действительно множество и они проявляют самую разную антибактериальную активность. Они состоят из природных аминокислот, а потому, скорее всего, в человеческом организме будут очень быстро дезактивироваться. А значит, создать нужную концентрацию в больном органе чрезвычайно сложно. Поэтому если эти исследования и будут иметь практический выход, то скорее речь пойдет о препаратах местного применения. Напротив, антибиотики, которыми мы занимаемся, обычно состоят из неприродных аминокислот и имеют неприродную оптическую конфигурацию. Такие связи наш организм не может быстро расщепить и «переварить».
— Как обстоят дела с антибиотиками в России? Есть ли у нас шанс конкурировать с крупными фармацевтическими фирмами? Ведь научная школа была очень хорошая.
— У нас сейчас разработать новый препарат, в том числе антибактериальный антибиотик, стало практически невозможно. Дело в том, что по нашим новым законам все три фазы клинических испытаний (на здоровых добровольцах, и потом уже две фазы на больных) должен оплачивать производитель. Если доклинические испытания еще можно осилить, то клинические — это огромные деньги. Поскольку наши фирмы намного слабее западных гигантов, им потянуть это очень трудно. Поэтому они предпочитают производить дженерики.
Предыдущий этап — поиск и отбор активных субстанций — тоже стал труднее именно из-за экономических причин. В СССР было несколько отраслевых институтов, которые занимались разработкой антибиотиков, а остались от силы два. В нашем институте исследования еще ведутся, несмотря на то, что он небольшой и зарплаты маленькие. Некоторое время назад было неплохо с грантами, сейчас и с грантами не очень хорошо или скорее плохо. Почему-то считается, что научные сотрудники должны зарабатывать сами, выполняя коммерческие заказы. Некоторое время назад в нашей области это действительно было возможно, но сейчас выгоднее и быстрее всё заказывать в Китае. Они очень быстро получают реактивы, у них прекрасное оборудование, меньше бумажной государственной волокиты — соответственно, они делают то же самое оперативнее и за меньшие деньги.
Впрочем, даже в этой ситуации мы находим активные препараты (например, противоопухолевые антибиотики) и проводим для них в нашем институте доклинические испытания. Но очень мало шансов, что они когда-либо пойдут в производство — как уже упоминалось, клинические испытания оплачивать некому и вся надежда на государственную поддержку.
В итоге большинство наших производителей предпочитает простую схему. Они покупают активные субстанции в Индии и Китае, устанавливают современные линии по изготовлению лекарственных форм — и российский препарат готов. Конечно, в этой ситуации мы обогащаем фарминдустрию Китая и Индии. Кроме того, важно, насколько хорошая и чистая субстанция закупается. Государство должно это контролировать, но сейчас это делают менее тщательно, чем раньше.
Справедливости ради надо сказать, что у мировых крупных фармацевтических гигантов тоже проблемы. Схема у них похожая — в научных подразделениях находят активную субстанцию, тщательно изучают родственные структуры, отбирают соединение-лидер, проводят доклинические испытания, патентуют найденный препарат, а потом продают лицензию той фирме, которая оплатит клинические испытания и будет его производить. Конечно, гиганты остались, но они всё меньше и меньше занимаются антибактериальными препаратами. Кроме того, все крупные фирмы постоянно сливаются, реорганизуются и сокращаются. И всё, что можно, уходит на производство в Китай.
— Можем ли мы гордиться какими-то антибиотиками, сделанными в советскую эпоху? Производят ли их до сих пор?
— Наш институт в советское время разработал и внедрил противоопухолевые антибиотики и снабжал ими весь Союз. Их делали у нас в институте либо на заводах по нашей технологии, и они были не хуже зарубежных аналогов. Сейчас, конечно, закупают и другие противоопухолевые антибиотики, но когда-то использовали только наши.
В 1960-х годах почти одновременно и у нас и заграницей был открыт природный противоопухолевый антибиотик даунорубицин. Он стал стартовым соединением для многих производных, одно из которых — адриамицин, или доксорубицин, — и сегодня применяют в терапии многих опухолей. Доксорубицин в нашем институте получили на наших штаммах и по собственной методике. Фактически мы разработали и продолжаем делать представителей многих важнейших групп противоопухолевых антибиотиков, применяемых в мировой онкологической практике. Отдельно хочется упомянуть блеомицетин. Методика и штаммы также наши собственные, и препарат получается гораздо лучше японского препарата блеомицина — в составе нашего блеомицетина более благоприятное сочетание нескольких близких структур и он менее токсичен. Но клинические исследования импортного препарата, в отличие от нашего, были хорошо прорекламированы.
В нашем институте были открыты и антибактериальные антибиотики: грамицидин С, колимицин, мономицин, канамицин, линкомицин и некоторые другие. Большинство из них также до сих пор можно найти в аптеке. А грамицидин С (С означает «советский») — вообще один из самых эффективных местных препаратов при инфекции горла, хотя и отличается противным вкусом.
Конечно, были и другие лекарства, сделанные в родственных институтах, — например в Государственном научном центре антибиотиков. Надо только понимать, что когда мы говорим о своем препарате, то это зачастую не химическая формула, а свои штаммы, методика модификации и технология. Во всём мире делают амоксициллин, но у нас делали свой — по своей методике.
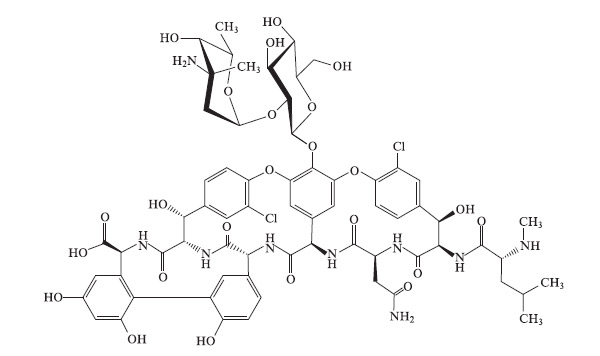
— Расскажите, пожалуйста, про гликопептиды, которыми давно занимается ваша лаборатория. Ведь некоторые из них активны даже против вирусов, что кажется невероятным.
— Это очень интересная тема, о них можно рассказывать целый день. Гликопептиды — это отдельная группа антибиотиков, которые нарушают синтез клеточной стенки бактерий. Самый первый природный представитель этой группы — ванкомицин, открыли в 1960-х годах в американской фирме «Эли Лили». Он имеет довольно сложную структуру: это закольцованная гептапептидная система, к которой присоединены сахара:

В свое время его открытие стало революцией. После эйфории, вызванной открытием пенициллина, появились резистентные к нему штаммы, и тогда ванкомицин опять показался спасением. Он действует на нечувствительные к пенициллину штаммы стафилококка, а также на резистентные энтерококки. Впрочем, новый препарат продвигался на рынок с трудом, поскольку давал сильную аллергию. Со временем его научились очищать методом высокоэффективной жидкостной хроматографии, и тогда это действительно стало спасением для больных, инфицированных резистентными стафилококком и энтерококками.
Как нетрудно догадаться, позднее появились штаммы микроорганизмов, нечувствительные и к ванкомицину. В нашем институте мы, в частности, занимаемся антибиотиками, родственными ванкомицину. Например, мы открыли природный антибиотик эремомицин, который отличается от ванкомицина. Это очень хороший и активный антибактериальный препарат, а его полусинтетические производные оказались еще более эффективными и с лучшими фармакологическими свойствами. В результате многочисленных попыток найти производителя, который обеспечит клинические испытания, будет делать препарат и выведет его на рынок, наш патент, пройдя через несколько правообладателей, оказался у фирмы «Новартис». Но ее сейчас перестали интересовать антибактериальные препараты, и наше лекарство так и не появилось на рынке. Это иллюстрирует не только ситуацию в России, но и на мировом рынке. Американские фирмы параллельно создали два своих производных этого класса — оритаванцин и телаванцин и их сейчас производят.
Наша лаборатория тем не менее продолжает заниматься производными гликопептидов. У нас есть интересные соединения, которые обладают такой же активностью, как ванкомицин, но вызывают менее сильную аллергическую реакцию. Есть даже синтетические гликопептиды, которые показывают активность по отношению к сибирской язве. С перспективными препаратами мы ведем доклинические исследования, но из-за трудностей с клиническими испытаниями неизвестно, будет ли это иметь продолжение.
Некоторые производные гликопептидов (без углеводного остатка и с введенным гидрофобным заместителем) активны и против вирусов. Наш подход отличается от развивающихся сейчас направлений поиска противовирусных препаратов. Наши производные гликопептидных антибиотиков ингибируют протеинкиназы — ферменты, которые регулируют клеточный цикл, рост, дифференцировку клеток и апоптоз. Некоторые протеинкиназы активируются в клетке на первых фазах вирусной инфекции, а их ингибирование приводит к тому, что вирус не заходит в клетку или не размножается внутри нее.
Это интересное направление, по которому мы сотрудничаем с коллегами из Европы. Мы много этим занимаемся, но еще не готовы к продвижению конкретного препарата. Поскольку это действительно совершенно другой подход (наши препараты действуют на другие молекулярные мишени), их надо исследовать подробно. Кроме того, «противовирусные» гликопептиды действуют только в большой концентрации. Но перспективы интересные, ведь наши соединения, в зависимости от структуры, могут действовать на все вирусы, включая даже вирус Эбола.
— Появляются ли сейчас новые противоопухолевые антибиотики?
— Да, есть новые препараты, и с ними, пожалуй, ситуация иная, чем с антибактериальными. У нас есть три-четыре кандидата, которые уже находятся на стадии углубленных доклинических испытаний. Причем это антибиотики совсем другого типа, чем те, что закупают и применяют сейчас в онкологии. Наши перспективные соединения относятся к разным классам.
Один класс противоопухолевых антибиотиков — это ингибиторы протеинкиназ, активированных в опухолевых клетках. Это активно развивающееся во всем мире направление, но у нас есть свой оригинальный класс гетероциклических синтетических соединений, отличающийся от остальных. Среди всех уже отобран лидер — очень активный препарат, который мы продолжаем исследовать совместно с Институтом общей генетики им. Н. И. Вавилова РАН. Патент на него мы уже подали, и если нам удастся получить поддержку Министерства промышленности, то мы сможем дойти до клинических испытаний.
Другой класс соединений — производные антибиотика оливомицина, он также когда-то был открыт в нашем институте. Эти вещества действуют по-другому, они разрушают ДНК опухолевой клетки. Их действие изучено довольно хорошо, поэтому наша задача — получить новые синтетические производные с хорошим терапевтическим индексом (чтобы интервал между токсичной и максимально переносимой дозой был как можно больше). Мы также синтезировали и отобрали новые соединения, обладающие очень высокой активностью, но родственные другому препарату — доксорубицину (совместно с Российским онкологическим научным центром им. Н. Н. Блохина РАМН). Они тоже направленно действуют на ДНК и на теломеразу. Препараты оригинальные, на мышах с перевиваемыми опухолями работают очень хорошо.
Мы активно работаем с аналогами олигомицина, который воздействует на митохондрии опухолевых клеток. Это тоже совершенно новые структуры, аналогов на западе нет. И еще по контракту с Министерством образования и науки ведем исследования нового класса очень интересных веществ — производных индола. Все эти противоопухолевые препараты находятся на стадии доклинических испытаний.
— Вернемся от высокой науки к повседневной жизни. Уже ни для кого не секрет, что мясо, которое мы едим, содержит антибиотики. Как вы думаете, это вносит свой вклад в появление резистентных штаммов?
— Конечно, вносит. Ведь, чтобы животные выросли и не болели, их, так же, как и людей, всё время лечат. Часто антибиотики скармливают животным просто так, поскольку это каким-то образом повышает прирост их веса. Особенно усердствуют при промышленном производстве птицы. Сейчас этот процесс стали как-то ограничивать и регламентировать, но насколько жесткий контроль — непонятно. Причем так делают не только у нас, но и во всём мире. Конечно, животным дают специальные антибиотики, которые обычно не применяют у людей, но всё равно это очень близкие соединения. Поэтому они вызывают распространение резистентности к «человеческим» антибиотикам. Но, безусловно, основной вклад вносит всё более широкое и бездумное назначение антибиотиков людям.
— Так, может быть, антибиотики следует продавать только по рецептам?
— Возможно, это поможет, но не решит проблему кардинально. В Америке и Европе всё продают строго по рецептам, однако рецепт на антибиотики врачи выписывают с необыкновенной легкостью. Вероятно, там чаще, чем у нас, стараются сначала определить возбудителя. Но всё равно, чтобы быстрее поставить пациента на ноги (скорее на работу) и перестраховаться (не допустить осложнения), рецепты на антибиотики выписывают не задумываясь. А это прямой путь к резистентности.
— Что произойдет, если все перестанут принимать антибиотики?
— Болезни станут продолжительными и тяжелыми, как в прошлые века, — человек будет болеть, пока организм не справится с инфекцией сам или не сдастся. Смертельными станут не только заражение крови, но и обычное воспаление легких. Конечно, этот путь уже невозможен. Другое дело, что не надо бы использовать оружие против бактериальной инфекции с той легкостью, как мы это делаем сейчас. Но если человек болен и знает, что от болезни есть лекарство, как его не принять? Поэтому гонка будет продолжаться.