Ю. А. Демьянов, А. А. Малашин
«Природа» №8, 2008
![]()
Алексей Анатольевич Малашин, кандидат физико-математических наук, доцент того же университета. Изучает распространение волн и колебаний в упругих средах, любит играть на гитаре.
Когда человек впервые берет музыкальный инструмент, ему не нужно изучать физические законы, лежащие в основе его звучания. Достаточно просто начать играть или хотя бы дергать за струны, нажимать клавиши, чтобы понять, как рождается звук.
Наверняка первые музыкальные инструменты человек изготавливал без серьезной «теоретической» подготовки, просто основываясь на чувственных представлениях.
Возможно, мастерам-создателям музыкальных инструментов прошлого и не нужно было изучать сложные математические закономерности, описывающие звучание изготавливаемого инструмента. Все они были хранителями и продолжателями великих тайн и традиций предшествующих им поколений мастеров, найденных эмпирическим путем. Материалы, из которых изготавливались скрипки, гитары и виолончели, их размеры, пропорции, рецепты покрытий (лаков) были известны только им, хранились в строжайшем секрете, передавались от поколения к поколению. Многовековой опыт искусства создания музыкальных инструментов привел к появлению шедевров, подобных творениям таких мастеров, как Страдивари, Амати, Гварнери, Стейнвей.
Однако трудно добиться совершенства в массовом производстве, не постигнув сущности процесса. Во все времена ученые пытались с математической и физической точки зрения описать процесс звучания инструментов, найти связь между колебаниями струны и тем, как человек воспринимает музыкальные звуки. Перефразируя известное выражение, возникала потребность проверить гармонию алгеброй.
Первые исследования природы звука, физических и механических основ строения музыкальных инструментов, дошедшие до нас, появились в Древней Греции. Еще Пифагор отмечал, что существует связь между высотой тона и длиной струны, его порождающей. Он же создал первый музыкальный строй, основу для которого составляла квинта *. Древние греки связывали появление звука со сжатием и разрежением воздуха. Первое же аналитическое решение для задачи колебаний музыкальной струны было получено лишь в начале восемнадцатого века англичанином Бруком Тейлором. Он нашел формулу для выражения частоты колебания через отношение силы натяжения к массе и длине струны.
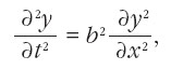
Задача распространения волн в гибкой однородной струне решалась уже в XVIII в. Даниилом Бернулли, Леонардом Эйлером, Жозефом Луи Лагранжем. Уравнение распространения поперечных волн в струне

где b — скорость распространения волн, и его общее решение в виде двух бегущих волн
![]()
были даны французским ученым Жаном Лероном Д'Аламбером еще в 1750 г.
Постановка задачи колебаний струн музыкального инструмента восходит к фундаментальным работам Джона Уильяма Рэлея, в частности к его классической книге «Теория звука» [1], в которой подробно обсуждаются различные виды возбуждения колебаний в натянутых струнах музыкальных инструментов, таких как щипковый музыкальный инструмент гитара, смычковые — скрипка, виолончель, клавишные музыкальные инструменты.
Традиционно задача колебаний и динамических нагружений натянутой гибкой музыкальной струны сводилась к анализу только лишь поперечных колебаний. Считалось, что основным источником звука, который может восприниматься ухом человека, служат именно колебания частиц струны поперек первоначального направления. А продольные колебания (вдоль первоначального направления), их вклад в динамику движения самой струны и присоединенной к струне деки (корпуса), которая собственно и является генератором звука любого музыкального инструмента, не учитывались. Продольные колебания рассматривались как колебания, которые не оказывают влияния на процесс формирования звука. Возможно, это связано с малостью «невидимых глазу» продольных перемещений струн по сравнению с поперечными. Более того, основной тон собственных продольных колебаний лежит намного выше основного тона поперечных колебаний — так, для струнных музыкальных инструментов он находится вообще в верхней части акустического спектра, который воспринимается человеком. Лорд Рэлей рассматривал это обстоятельство как отрицательное, негативно сказывающееся на качестве звучания инструмента.
В частности, Бернулли в 1755 г. показал, что свободные поперечные колебания струны, возбуждаемой произвольным образом, могут быть представлены в виде

где l — длина струны, ωn = πnb/l — частота колебаний, х, у — продольная и поперечная координаты, Ап, Вп — амплитуда колебаний струны.
Например, в основе простейшей теории возбуждения колебаний струн щипкового музыкального инструмента была задача, когда начальное отклонение струны представлялось в виде треугольника с высотой в точке воздействия исполнителя х = c (в точках х = 0 и х = l предполагалось жесткое закрепление струны в местах заделки), рис. 1.

Как уже упоминалось, продольные колебания в данной постановке во внимание не принимались. Также здесь не учитывается процесс воздействия возбудителя колебаний на струну, считается, что это воздействие снимается мгновенно. Но в таком случае, например, не очень понятно, чем отличается хороший исполнитель от плохого, как особенности звукоизвлечения отражаются на звучании музыкального инструмента.
В последние годы мы провели цикл работ, из которых стало ясно, что «невидимые» глазу продольные колебания струны играют такую же роль в рождении звука, как и поперечные (а для некоторых инструментов и большую). Установлено, что вклады продольных и поперечных составляющих в динамическое нагружение оказываются одного порядка. Также обнаружено, что вынужденные продольные колебания происходят на частотах поперечных. Поперечные составляющие играют роль вынуждающей силы для продольных движений частиц струны, при этом возможны резонансные явления. Это означает необходимость рассмотрения продольных составляющих как одного из основных источников колебания деки и, следовательно, формирования звука в музыкальных инструментах.
Впервые на это обстоятельство (распространение продольных волн в струнах музыкальных инструментов) в 1945 г. обратил внимание выдающийся советский ученый Х. А. Рахматулин в работе «О косом ударе по гибкой нити с большими скоростями при наличии трения» [2]. (Интересно отметить, что данная работа была выполнена в рамках сугубо военной темы защиты Москвы аэростатами заграждения от самолетов противника.) Автор подчеркивал, что «при ударе по струне вдоль нее также побежит волна продольного растяжения, которая в обычной теории колебаний струны во внимание не принимается».
В процессе движения струна не только смещается поперек своего первоначального положения, но и испытывает дополнительное растяжение. Простая задача из курса школьной физики поможет понять важность учета продольных движений. Пусть струна закреплена между двух опор. В середине струны (рис. 2) поперек ее первоначального направления действует сила F.

Возникающие силы Т в струне определяются следующим образом: Т = F / 2sinα (α — угол отклонения струны от первоначального положения).
Очевидно, что в процессе колебаний струны ее отклонения очень малы (порядка одного градуса и меньше). Поэтому знаменатель дроби можно оценить как 2sinα ≈ 0,005–0,01. А следовательно, Т ≈ (100–200)F, т. е. продольные силы, возникающие в струне, более чем в 100 раз больше поперечных сил. Поперечные силы оказываются источником продольных движений. Они будут раскачивать деку и станут основным источником звука музыкального инструмента. Понятно, что не учитывать их нельзя.
Из курса физики известно уравнение движения колебательной свободной системы d2x/dt2 + ω02х = 0. Здесь ω0 — собственная частота колебаний системы. Для движения под действием периодической вынуждающей силы это уравнение приобретает вид d2x/dt2 + ω02х =Asinωt, где ω — частота колебаний вынуждающей силы. Хорошо известны явления резонанса при совпадении собственной частоты системы и частоты вынуждающей силы.
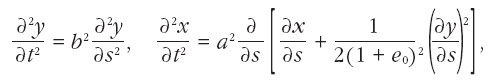
Конечно, процессы колебаний струн или деки более сложны, чем движение маятника. Уравнения поперечно-продольных колебаний гибкой предварительно натянутой струны, полученные в работе [3], таковы:

где b, а — скорости поперечных и продольных волн, е0 — первоначальная деформация струны.
Первое уравнение представляет собой традиционное уравнение поперечных колебаний. Второе — уравнение продольных колебаний. Это уравнение неоднородно, наличие в правой части второго члена говорит, что роль вынуждающей силы для продольных колебаний играют поперечные составляющие. Значит, решение второго уравнения представляет собой суперпозицию продольных колебаний на собственных частотах и вынужденных продольных колебаний на частотах поперечных, при этом возможны резонансные явления, когда амплитуда продольных колебаний резко возрастает.
Аналогичные процессы связывают крутильные и продольные колебания, когда рассматриваются смычковые инструменты. Мы показали, что при игре на смычковых инструментах крутильные и продольные составляющие движения необходимо учитывать наряду с поперечными, для того чтобы наиболее полно описать музыкальное звучание скрипки, виолончели.
Чтобы лучше понять на практике, как все это работает, те читатели, которые имеют свою гитару или скрипку, могут (не ломая инструмент) самостоятельно сделать следующий качественный эксперимент. Прижмите одной рукой струны инструмента, чтобы они не звучали. Другой рукой постучите по той части какой-либо струны, которая находится между колком (с помощью которого натягивается струна) и порожком грифа. Послушайте внимательно, как звучит дека (то есть корпус инструмента). В этой части струны возникают поперечные движения. Они передаются в основную часть струны, которая прикреплена к деке. А так как эта часть прижата рукой, то в ней возникают только продольные движения, которые не видны, но рукой их не удержать. Эти продольные колебания, происходящие с частотами поперечных колебаний части струны между колком и порожком, раскачивают деку и заставляют ее звучать. И при этом звучит дека достаточно громко.
При теоретическом анализе игры на смычковом инструменте используется схема, предложенная А. В. Римским-Корсаковым, — чередования повторяющихся захватов и срывов за счет трения между смычком и струной.
Крутильные составляющие играют роль вынуждающей силы для продольных. Возникновение крутильных движений приводит к появлению продольных. Продольные колебания происходят на собственных частотах, а также на частотах поперечных и крутильных колебаний. Крутильные колебания воздействуют на подставку и приводят к ее вращательному движению. Продольные колебания (наряду с поперечными) раскачивают деку и тем самым вносят свой вклад в акустическое звучание струнных музыкальных инструментов.
Традиционно звучание струн инструментов анализируется в фазе свободных колебаний, когда воздействие исполнителя закончилось. В практических задачах взаимодействие возбудителя колебаний (медиатора, молоточка фортепиано, смычка) со струной не рассматривается. Но ведь именно фаза воздействия на струну (приемы извлечения звука) отличает хорошего исполнителя от плохого!
В классическом решении задачи о колебании струны щипкового инструмента не учитывается динамический процесс взаимодействия медиатора со струной, и, как следствие, не принимаются во внимание колебания, возникающие в период возбуждения струны. Такая постановка задачи означает, что воздействие исполнителя на струну происходит мгновенно. На самом деле процесс взаимодействия струны и возбудителя колебаний происходит в течение определенного конечного времени (по экспериментальным оценкам от 0,01 до 0,05 с), воспринимается декой и отражается на звучании музыкального инструмента.
Мы изучили процесс воздействия возбудителя колебаний (медиатора, ногтя или пальца исполнителя, смычка), который рассматривается как взаимодействие со струной в течение времени движения тела [4–7]. Форма тела соответствует форме возбудителя колебаний. Устанавливается возможность различных вариантов движения медиатора в руке исполнителя:
Для смычковых инструментов была решена задача взаимодействия смычка и струны, рассмотрен процесс возникновения автоколебаний. Для клавишных музыкальных инструментов была решена задача взаимодействия (удар и отскок) молоточка со струной с определением дальнейшего движения струны.
Существование вынужденных продольных колебаний на частотах поперечных колебаний для гибких деформируемых струн было подтверждено экспериментально. Наблюдалось также явление резонанса между модами (обертонами) продольных колебаний и модами поперечных колебаний.
Суть эксперимента составляет исследование амплитудно-частотных характеристик продольных колебаний и их сравнение с поперечными составляющими [8]. Опыт настолько прост, что может быть воспроизведен в домашних условиях.
Установка, которая использовалась для определения влияния продольных колебаний на динамическое нагружение струны и связанных с ней креплений, схематично представлена на рис. 3. В первых экспериментах из-за особой малости амплитуды продольных колебаний и сложности в измерении динамических составляющих напряжений, возникающих в струне в период колебаний, в качестве присоединенного элемента использовалась резонаторная дека гитары. Длинная струна закрепляется таким образом, что один ее конец присоединен к деке, а другой — жестко на колке для возможности регулировки начального натяжения. Струна разделена на несколько частей (в эксперименте — на три) жесткими неподвижными креплениями, которые позволяют ей двигаться на них в продольном направлении, не испытывая при этом поперечных движений.

Эксперимент заключается в том, чтобы сравнить натяжения, возникающие в струне, динамическое нагружение, оказываемое на присоединенный к ней элемент (деку гитары), и возникающие спектры колебаний в двух случаях: 1) при «традиционных» поперечных колебаниях струны, 2) при вынужденном продольном движении струны, источником которого являются поперечные колебания в части струны, которая не прикреплена к деке.
С помощью звукозаписывающей аппаратуры и амплитудно-частотного анализатора исследовалась зависимость амплитуды звука, издаваемого декой, а также его частотных характеристик от прикладываемого динамического воздействия.
В первом случае часть струны длины l3 = 65 см, закрепленная на деке, возбуждается поперечным ударом, и поперечные воздействия передаются на деку. Во втором — две части струны (часть l3 = 65 см, которая прикреплена к деке, и часть, которая находится между разделительными креплениями, расстояние между которыми l2) демпфируются (закрепляются в нескольких точках мягким материалом) для того, чтобы исключить развитие в них поперечных колебаний (продольные колебания при этом не ограничиваются). Третья часть длины l1 может свободно колебаться в поперечном направлении. Она и служит источником вынужденных продольных колебаний на частотах поперечных колебаний.
В эксперименте по сравнению спектров разделительные крепления делят струну на три равные части l1 = l2 = l3. В этом случае частоты поперечных колебаний при возбуждении части струны III (l3) совпадают с частотами вынужденных продольных колебаний при возбуждении части I (l1) (рис. 4). В случаях поперечного и поперечно-продольного воздействий амплитуды звуковых колебаний различаются незначительно. Обобщенный результат отношения амплитуд A1/A3 = 0,57 для различных натяжений говорит о том, что продольные колебания струны являются источником механический колебаний прикрепленного к ней элемента.

Были обнаружены резонансные явления, вызванные совпадением частот обертонов поперечных колебаний с частотами вынужденных продольных колебаний.
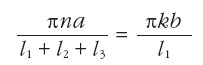
При выполнении условия резонанса

(как и следует ожидать) наблюдается увеличение амплитуды вынужденных продольных колебаний на частотах поперечных (рис. 5, частота 1178 Гц).
В эксперименте изучалась зависимость амплитуды звуковых колебаний от частоты (в частности, ее увеличение при совпадении частот колебаний).

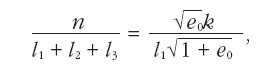
Условие резонанса для частот поперечных и продольных колебаний в настоящем эксперименте выражается следующими соотношениями

где l1 + l2 + l3 = L — длина струны, п
1, 2, ..., k
1, 2, ... — целые числа.
Также здесь применялась техника флажолета (особого приема извлечения звука струнных музыкальных инструментов за счет сокращения длины струны, когда присутствуют только высокие обертоны поперечных волн).
Было обнаружено увеличение амплитуды акустических колебаний, соответствующее первой и второй гармоникам продольных колебаний, которое носит резонансный характер. В частности, обнаружено резонансное усиление между этими гармониками продольных колебаний и первой, и второй, и третьей (k = 1, 2, 3) гармониками поперечных. Например, при L = 380 см и ω1 = 1174 Гц, ω2 = 2348 Гц (рис. 5). Стоит отметить, что при увеличении относительных деформаций струны эффекты, связанные с резонансами между модами колебаний, усиливаются.
За последние годы нам удалось продвинуться в изучении не только колебаний струн, но и движений мембран и пластин (в частности, деки музыкальных инструментов), где был обнаружен целый ряд интересных явлений, связанных с взаимным влиянием различных типов волн и колебаний.
Результаты данных исследований уже сейчас могут быть использованы при проектировании и создании электронных музыкальных инструментов.
Работа выполнена при поддержке Российского фонда фундаментальных исследований.
Проект 07-01-00700-а.
Литература:
* Квинта — это музыкальный интервал между первой и пятой нотой (например, между до и соль).