Н. Н. Розанов
«Природа» №6, 2008
Возможность невидимости давно интересовала человечество, свидетельством чему служат различные легенды, сказки и научная фантастика о призраках, «плаще-невидимке» и «человеке-невидимке». Воплощение подобных идей в наше время — уже не фантастика, прежде всего благодаря прогрессу в технологиях изготовления (лучше сказать — конструирования) материалов с необычными и заранее заданными свойствами — метаматериалов и наноструктур. В прессе и в Интернете уже можно встретить весьма смелые проекты, вплоть до создания невидимого автомобиля. Однако, как пояснял Х. К. Андерсен в «Новом платье короля», не всем проектам в области видимости и невидимости следует доверять. Попробуем разобраться с принципиальными ограничениями и реальным положением дел в этой области. Но сначала следует определиться с терминологией — что можно и что нельзя считать невидимым.
Для оптического обнаружения объекта необходимо заметить различие в распределении светового излучения в двух случаях — при наличии объекта и в его отсутствие. То же относится и к радиоволнам, принадлежащим, как и световые волны, к электромагнитному излучению. Тем самым идеально невидимый объект не должен рассеивать электромагнитное излучение в диапазоне длин волн, регистрируемом наблюдателем на уровне интенсивности, превосходящем уровень шума. При активном обнаружении (например, с помощью радиолокационной станции) имеется специальный источник излучения, который связан с наблюдателем. При пассивном обнаружении источник излучения внешний, не зависящий от наблюдателя. Опять же при идеальной невидимости объект не должен рассеивать излучение в любом направлении.
Невидимость не следует смешивать с невозможностью распознавания объекта при его маскировке. Так, «волка в овечьей шкуре» нельзя, очевидно, назвать невидимым. Удивительные примеры маскировки (мимикрии) в животном мире приводятся в [1]. Распространенные в военном деле дымовые завесы и маскировочные сети также не относятся к предмету данной статьи.
Иногда к невидимым причисляют объекты, чаще всего самолеты, при создании которых использованы технологии стелc (от англ. stealth — уловка, скрытность). Обычная здесь стратегия — снижение уровня отражения радиосигналов за счет выбора формы объекта, применение радиопоглощающих покрытий и перераспределение остаточного рассеянного излучения в узкие сектора в направлениях, где наблюдатель отсутствует (лучше всего вверх; еще одно специфическое требование связано с необходимостью минимизации инфракрасного излучения струй реактивных двигателей). Один из сравнительно дешевых вариантов — «обволакивание» объекта слоем плазмы, производимой специальным генератором плазмы. Однако и здесь есть ограничения. Прежде всего, просто невозможны покрытия, полностью поглощающие электромагнитное излучение. Действительно, коэффициент отражения на границе раздела двух сред пропорционален дроби, числитель которой — разность характеристик (показателей преломления и коэффициентов поглощения) в двух граничащих средах, а в знаменателе — их сумма. Поэтому при увеличении поглощения в маскирующем покрытии коэффициент отражения приближается к 100%. Это отвечает нашим повседневным наблюдениям, что ровная поверхность металла (поглощение излучения оптического диапазона в котором весьма велико) — очень хорошее зеркало. Другое ограничение связано с тем, что перераспределение остаточного рассеянного излучения оказывается неэффективным, если обнаружение осуществляется не одним наблюдателем, а их разветвленной сетью.
Здесь мы будем говорить только о макроскопических объектах, состоящих из большого числа атомов или молекул. Даже если допустить существование гипотетических материалов, полностью поглощающих любое падающее на них излучение (что, как уже указывалось, для электромагнитного излучения невозможно, но здесь этот аспект непринципиален), то, тем не менее, объект из такого материала не будет невидимым — можно обнаружить его тень, или провал в распределении интенсивности излучения по сравнению с имеющимся в отсутствие объекта. Наблюдая форму тени такого объекта при его освещении при различных направлениях излучения, можно даже восстановить форму объекта. Тем самым, для «идеальной невидимости» необходимо, чтобы объект не только не рассеивал, но и не поглощал излучение. Более строго, рассеяние и поглощение излучения в материале объекта должны быть точно такими же, как в окружающей среде. Но для ограниченных расстояний, например в воздухе, рассеяние и поглощение оптического излучения пренебрежимо малы! Есть ли выход из этого тупика?
Прежде всего напомним, что невидимость в оптике известна и уже сравнительно давно используется практически. Так, одной из первых важнейших задач, решавшихся в созданном в 1918 г. в Петрограде Государственном оптическом институте, было создание отечественного оптического стекла. Для этого требовалось, в частности, быстрое определение его показателя преломления без сложной традиционной процедуры обработки поверхности образца. Предложенный И. В. Обреимовым метод состоял в следующем [2]. Исследуемое стекло измельчалось до крупинок размером около 0,5 мм и помещалось в кювету с плоскими стенками. Если затем налить в кювету какую-либо жидкость, то проходящий через кювету пучок света будет сильно рассеиваться из-за резкой неоднородности показателя преломления среды. Однако рассеяние исчезает, если жидкость обладает ровно тем же показателем преломления, что и стекло. Подобрать такую жидкость можно, смешивая, например, бензол с сероуглеродом. Соответственно, показатель преломления стекла определяется концентрацией смешиваемых жидкостей (когда известны их показатели преломления). Подобная невидимость прозрачности (рис. 1, а) также имеет некоторые ограничения. Так, вследствие различия частотной дисперсии (зависимости показателя преломления от частоты или длины волны излучения) стекла и жидкости невидимость нарушается при изменении длины волны, в связи с чем излучение-«измеритель» должно обладать узким спектром. Тот же тип невидимости и у «человека-невидимки» Г. Уэллса. В природе почти невидимы медузы, показатель преломления которых близок к показателю преломления воды (значительную часть их объема заполняет так называемая мезоглея, студенистое вещество, сильно — до 97,5% — насыщенное водой). Существенно и то, что в этом варианте требуется совпадение показателя преломления окружающей среды и объекта во всем его объеме, что, очевидно, нелегко реализовать для произвольного маскируемого объекта.

Другой вариант невидимости, которую можно назвать невидимостью обтекания, иллюстрируется сказочным «плащом-невидимкой». Падающее на оболочку-«плащ» излучение должно «обтекать» его, восстанавливая после обтекания распределение интенсивности и волнового фронта независимо от свойств скрывающегося под «плащом» объекта (рис. 1, б). Последнее означает, что «плащ» должен быть «безразмерным», то есть подходить к объектам с различными оптическими свойствами. В этом варианте исходная проблема заменяется следующими двумя. Во-первых, надо обеспечить невидимость уже не объекта, а «плаща». Во-вторых, необходимо предотвратить проникновение излучения внутрь объекта (в противоположность первому варианту). Технически проблема переносится на конструирование «плаща» с использованием современных метаматериалов, к которым мы обратимся чуть позже.
Вариант «активной невидимости» обсуждался в работе [3]. В нем на окружающей скрываемый объект поверхности с одной стороны располагаются датчики излучения, а с другой — излучатели (рис. 1, в). С помощью датчиков определяются характеристики падающего на поверхность излучения. Затем после обработки этой информации вычисляются характеристики полей для генерации излучателями волн, которые дали бы такое же распределение поля вне объекта, которое было бы в отсутствие объекта. Такой подход, по-видимому, мог бы иметь право на существование в случае акустических волн со сравнительно малой скоростью распространения. Однако в оптической области и применительно к коротким импульсам зондирующего объект излучения реальность воплощения схемы столь проблематична, что мы не будем обсуждать этот вариант далее.
Еще два варианта невидимости обсуждаются в обзоре [4]. Первый из них основан на использовании оболочки с меньшей диэлектрической проницаемостью, чем у объекта. Тогда можно добиться того, чтобы суммарный дипольный момент — сумма произведений смещения зарядов под действием поля на величину заряда — объекта и оболочки обратился в нуль. Из-за этого мощность рассеиваемого излучения заметно уменьшится, но сохранение мультипольного излучения не позволяет говорить о полной невидимости. Другими недостатками данного варианта служат ограничение размера объекта микроскопическими значениями и необходимость подбора оболочки в зависимости от характеристик скрываемого объекта. Второй вариант требует расположения объекта вблизи поверхности цилиндрической «суперлинзы», изготовленной с применением метаматериалов с отрицательным показателем преломления (см. ниже). Мы не будем далее обсуждать эти варианты ввиду их ориентированности на конкретный скрываемый объект и, тем не менее, невозможности идеальной невидимости.
Поскольку рассеяние электромагнитного излучения играет определяющую роль в проблеме невидимости, следует остановиться на этом вопросе подробнее. Вообще говоря, виды рассеяния излучения весьма многообразны, так что здесь мы ограничимся только классическим рэлеевским, или упругим (без изменения частоты излучения) рассеянием на неоднородностях сплошной среды. Пусть на среду падает почитаемая теоретиками плоская монохроматическая световая волна, приблизиться к которой реально в случае широкого пучка высокостабилизированного лазерного излучения. Быстрые (с оптической частотой) колебания электрической напряженности поля в волне возбуждают вынужденные колебания частиц среды, главным образом электронов, которые связаны с ядром и вместе образуют диполи. В свою очередь, каждый колеблющийся диполь будет излучать световые волны с той же частотой, но распространяющиеся в различных направлениях. В однородной среде с равномерным распределением диполей их суммарное излучение будет совпадать с исходной плоской волной (правда, изменится ее фазовая скорость), что объясняет, в частности, прямолинейность распространения света в среде. Однако в неоднородной среде полной компенсации волн с различными направлениями распространения не происходит, и это означает рассеяние излучения.
Интенсивность излучения возьмем небольшой, так что вносимые им изменения оптических свойств среды несущественны (область линейной оптики). Кроме того, будем считать среду стационарной (с не зависящими от времени характеристиками). Тогда справедлив так называемый принцип суперпозиции, согласно которому произвольный пакет излучения можно разложить на совокупность плоских монохроматических волн, распространяющихся в среде независимо друг от друга. Поэтому рассеянное излучение при возбуждении пакетом является простым наложением (с учетом фазовых соотношений) уже известного нам рассеянного излучения отдельных плоских волн. Оптические свойства среды характеризуются зависящими от координат r диэлектрической
Для естественных оптических сред в оптическом диапазоне длин волн магнитная проницаемость близка к единице. Если среда изотропна, ε и μ не зависят от направления распространения излучения. Но такая зависимость имеется для анизотропных сред, например, кристаллов, и тогда ε и μ становятся тензорами (см. ниже). Наконец, ε и μ вещественны для непоглощающих сред. Показатель преломления вводится соотношением n = √εμ, и при положительных ε и μ здесь берется арифметическое значение квадратного корня, n > 0. Коэффициент поглощения зависит от мнимых частей ε и μ, обращаясь в нуль при вещественных положительных проницаемостях.
Как установил Л. С. Мандельштам в 1907 г., в сплошной среде с пространственно постоянными оптическими характеристиками свет не рассеивается, для рассеяния необходимо нарушение оптической однородности [2]. В изотропной среде речь может идти о неоднородностях показателя преломления и коэффициента поглощения. А в анизотропных средах, в которых оптические свойства среды разные для разных направлений распространения света, добавляется неоднородность ориентации молекул (микрочастиц) среды. Другие виды неоднородностей, например флуктуации температуры или плотности среды, будут приводить к рассеянию постольку, поскольку они сопровождаются неоднородностями показателя преломления. Отметим, что хотя на микромасштабах среда резко неоднородна и состоит из отдельных микрочастиц размеров, сопоставимых с расстояниями между ними, в целом среда не рассеивает излучения с длинами волн, значительно превышающими размеры микрочастиц. Другими словами, можно сказать, что неоднородности усредняются по объемам с линейными размерами, меньшими длины волны излучения.
Возможна ли идеальная невидимость в указанном выше смысле? Давайте даже ослабим наши требования, заключив с наблюдателем джентльменское соглашение о работе только на одной фиксированной длине волны излучения (монохроматическое излучение). Пусть прозрачный (без поглощения) объект конечных размеров расположен в вакууме (или, в хорошем приближении, в воздухе). На него падает плоская монохроматическая волна, для которой наблюдатель не должен зарегистрировать рассеянное излучение. Спрашивается, возможно ли это при произвольном направлении падения волны?
В работе [5] такая задача решалась в рамках так называемого первого борновского приближения (показатель преломления внутри объекта n(r) всюду мало отличается от единицы), хотя результат имеет существенно большую область применимости. Ответ следующий. В общем случае рассеянное излучение может отсутствовать только для конечного числа направлений падения волны. Если же требовать его подавления для любого направления, то это возможно, только если
![]()
Это означает, что показатель преломления по всему объему объекта должен совпадать с показателем преломления окружающей среды (в данном случае вакуума), что отвечает невидимости прозрачности. Второй тип — невидимость обтекания — строго говоря, невозможен, причем даже в облегченных условиях чисто монохроматического излучения.
То, что рассеяние (включая отражение в обратном падению направлении) может отсутствовать при фиксированном направлении падения волны, не вызывает сомнений и широко используется на практике для просветления оптики. Например, в объективах с большим числом поверхностей для уменьшения доли вредного отражения излучения на поверхности наносят одну или несколько тонких пленок (их толщина соизмерима с длиной волны излучения). Параметры пленок — показатель преломления и толщину — выбирают так, чтобы при интерференции света, отражаемого от этих границ раздела, рассеяние излучения подавлялось. Степень подавления зависит от угла падения и высока для многослойных покрытий в сравнительно широком диапазоне углов падения и длин волн падающего излучения. Невозможность полностью подавить рассеяние излучения объекта с ограниченным пространственным изменением показателя преломления n(r) для всех направлений его освещения можно пояснить следующим образом. Напомним смысл обратной задачи рассеяния, близкой к томографии. Она состоит в определении профиля n(r) по регистрации рассеянного излучения при всевозможных направлениях падающей на объект волны. При этом оказывается, что решение такой задачи единственно — распределение показателя преломления объекта восстанавливается единственным образом. Но данным отсутствия рассеяния удовлетворяет очевидное решение (1). Тогда из-за единственности решения любое неоднородное распределение показателя преломления приведет к появлению рассеяния, по крайней мере для некоторых направлений падения волны на объект.
И все-таки вернемся к варианту невидимости обтекания для случая монохроматического излучения. В нем, на языке геометрической оптики, лучи огибают объект, не проникая в его центральную часть, за счет изгиба в покрывающей объект прозрачной (без поглощения) оболочке — «плаще» — с пространственно неоднородным показателем преломления. При этом прошедший оболочку луч является продолжением исходного, как это показано на рис. 1, б. Кроме того, набег фазы для изогнутых лучей должен совпадать с таким набегом для неизогнутых лучей в свободном пространстве, что требует применения сред с показателем преломления n < 1; это принципиально возможно, хотя и может быть сопряжено с нежелательным поглощением излучения. Более точно, здесь не обязательно использование приближения геометрической оптики, а оптические свойства анизотропной среды должны характеризоваться тензорами диэлектрической и магнитной проницаемости (см. ниже).
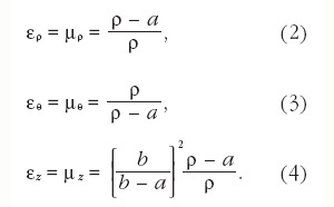
Элегантный рецепт нахождения пространственного распределения компонент тензоров проницаемостей в «плаще-невидимке», методически близкий подходам общей теории относительности, был предложен в [6, 7]; более точно, такой рецепт содержался в опередившей свое время работе [8]. В этом рецепте используется эквивалентность уравнений Максвелла для электромагнитного поля в криволинейной системе координат, с одной стороны, и в декартовых координатах (х, у, z) с пространственно неоднородной прозрачной анизотропной средой, с другой стороны. Из-за анизотропии оптические или электродинамические свойства среды задаются не просто показателем преломления, а двумя тензорными величинами, т. е. квадратными таблицами 3 × 3 с компонентами — диэлектрической и магнитной проницаемостями. Опуская детали, приведем представленный в [6, 7] пример такого распределения для частного случая двумерной геометрии (цилиндрическая система координат, в которой вместо декартовых координат х, у, z используются прежняя координата z, радиус в ортогональной ей плоскости
и угол
, см. рис. 2):

Такие соотношения должны выполняться в цилиндрической области 0 < ρ < b, где b и а — внешний и внутренний радиусы оболочки, b > а (см. рис. 1, б).
![Рис. 2. Схема оболочки на основе цилиндрических диэлектрических слоев, составленных из изображенных на рис. 3 ячеек (см. текст). Линии показывают радиальную зависимость соответствующих компонент восприимчивости [7]. Изображение «Природа»](images/eltpub/nevidim_5_300.jpg)
Теперь зададимся вопросом, не противоречит ли этот результат сформулированному выше выводу о невозможности подавления рассеяния в случае пространственно неоднородной среды. Здесь надо заметить, что запрет относился к случаю малого или, как минимум, конечного пространственного изменения оптических характеристик. Например, вывод о единственности решения обратной задачи рассеяния нарушится, если мы окружим исследуемый объект идеальным зеркалом, которое исключает проникновение излучения внутрь объекта. Тогда любые изменения свойств объекта, спрятанного позади зеркальной стенки, никак не скажутся на рассеянии (отражении) излучения, падающего на зеркало, и единственность решения обратной задачи нарушится. Но идеальные зеркала возможны лишь при бесконечно больших по модулю значениях проницаемости. В противном случае поле частично проникает через зеркало, и указанный запрет вновь становится справедливым.
Из соотношения (3) нетрудно видеть, что при приближении радиальной координаты ρ к внутреннему радиусу оболочки а компоненты проницаемостей εθ и μθ стремятся к бесконечности. Так же ведут себя при этом и градиенты (скорости изменения) данных величин. Это эквивалентно наличию эффективного идеального цилиндрического зеркала радиуса а, не пропускающего излучение во внутреннюю область. Поэтому противоречия со строгим запретом здесь нет. Нарушение теоремы единственности иногда связывают и с тем, что она доказана в [5] для изотропной среды. На наш взгляд, это ограничение непринципиально, если разрешить наблюдателю использовать диагностирующее излучение с произвольной поляризацией (направлением вектора напряженности электрического поля волны). С другой стороны, при строгом выполнении принятой формы оптической неоднородности (2)–(4) наличие эффективного зеркала оптически не обнаруживается, так что здесь можно было бы говорить о невидимости. Но, естественно, бесконечные значения проницаемости среды не реализуемы, и практически приходится довольствоваться лишь ограниченным диапазоном их изменения. Здесь помогает заключение еще одного «джентльменского соглашения» о фиксировании состояния поляризации диагностирующего излучения (из-за чего величина ряда компонент тензоров восприимчивости не влияет на распространение излучения) и то обстоятельство, что в большей степени это распространение определяется не двумя тензорами восприимчивостей по отдельности, а их произведением, т. е. тензором показателя преломления с элементами, зависящими от координаты ρ. Так, в [7] приведен более простой, чем (2)–(4), вариант подобных распределений без сингулярностей (см. цветные линии на рис. 2), при котором, однако, возникает ослабленное отраженное излучение, так что, строго говоря, невидимость отсутствует.
![Рис. 3. Схема «элементарной» ячейки с разомкнутым кольцевым резонатором. Параметры: длина стороны квадратной ячейки аθ = 10/3 мм, ширина резонатора l = 3 мм; он изготовлен из меди с толщиной w = 0,2 мм. В зависимости от номера цилиндра параметр r варьировался в диапазоне от 0,260 (внутренний цилиндр) до 0,116 мм (внешний цилиндр), и s от 1,654 до 2,199 мм, при этом компонента магнитной восприимчивости μρ меняется от 0,003 до 0,279 [7]. Изображение «Природа»](images/eltpub/nevidim_8_300.jpg)
Конечно, в природе нет готовых сред с нужным распределением показателя преломления, и еще хуже дела обстоят с возможностями вариаций магнитной восприимчивости μ — в оптической области она, как правило, близка к единице, как указывалось выше. Однако в последнее время наблюдается поразительный прогресс в технологии создания искусственных сред с заранее заданными характеристиками [4]. Искусственную среду можно составлять не из отдельных атомов или молекул, а из готовых микро- или наноструктур, например, вставляя в обычную диэлектрическую среду металлические стерженьки (проволочки) и разомкнутые кольцевые резонаторы. Такие элементы — «метаатомы» — действуют как аналоги электрических емкостей и индуктивностей с управляемыми значениями параметров. Если размеры элементов заметно меньше длины волны, то рассеяние излучения на них ослабляется до приемлемых величин, а усредненные по такому объему характеристики среды будут отвечать желаемым значениям. Необходимое изменение этих характеристик в пространстве останется уже делом техники.
Итак, остается лишь сконструировать среду, включающую указанные выше элементы. Но нужно вспомнить о масштабах. А именно, размеры таких элементов должны быть много меньше длины волны излучения. Напомним, что длины световых волн менее одного микрометра, и на сегодня технологий создания полного набора требуемых элементов субмикронного размера не существует. Другое дело — радиоволны, в частности, с длинами волн сантиметрового диапазона. Так, в работе [7] «среда» оболочки создавалась под излучение с частотой ν = 8,5 ГГц, что соответствует длине волны λ = с/ν = 3,5 см (с — скорость света в вакууме). Основу составляла система из 10 концентрических цилиндрических слоев диэлектрика (рис. 2), которые разбивались на отдельные «элементарные» ячейки с введением в каждую ячейку разомкнутого кольцевого резонатора, изображенного на рис. 3.
Излучение распространялось перпендикулярно оси цилиндров. Помимо фиксирования длины волны излучения, ограничение накладывалось еще и на его поляризацию — вектору напряженности электрического поля волны позволялось быть только строго параллельным оси системы z. Результаты экспериментов и расчетов (задача решалась численно как двумерная) сведены на рис. 4. Оболочка располагалась непосредственно на поверхности маскируемого медного цилиндра с радиусом 25 мм.
![Рис. 4. Распределения напряженности электрического поля при падении плоской волны слева направо на проводящий медный цилиндр (в центре каждого рисунка). Оболочка с пространственным изменением электромагнитных параметров среды нанесена на цилиндр (кольцевая область). Сплошные черные линии, подобно силовым линиям, показывают распределения потока энергии (вектора Пойнтинга); а — расчет при идеальном распределении параметров среды; б — расчет при упрощенном виде этих распределений; в — эксперимент для цилиндра без оболочки; г — эксперимент для цилиндра с оболочкой [7]. Изображение «Природа»](images/eltpub/nevidim_9_700.jpg)
Таким образом, расчеты и эксперименты свидетельствуют: при соблюдении ряда обременительных условий рассеяние радиоволн можно ослабить. В расчетах [9] показано, что близкие результаты можно получить и для более простой в изготовлении оболочки из немагнитных метаматериалов, когда в диэлектрическую основу вставляются только металлические проволочки в форме вытянутых эллипсоидов. Но до сих пор мы «прятали» неподвижные объекты. А что будет, если объект, который нужно скрыть от наблюдателя, движется?
Теперь пора вспомнить об еще одном — релятивистском — механизме рассеяния света. Дело в том, что к упомянутым выше неоднородностям среды, служащим причиной рассеяния излучения, следует добавить и неоднородность ее скорости движения [10]. Поэтому объект со скоростью, отличной от скорости окружающей среды, будет рассеивать излучение. Пусть мы каким-то образом добились практически идеальной невидимости неподвижного объекта, например, медузы в неподвижной воде. Но, как подтверждает эксперимент Физо по измерению скорости света в движущейся воде [11], эффективный показатель преломления среды зависит от ее скорости движения. Тогда на поверхности медузы, движущейся относительно воды, возникнет отражение. Отраженное излучение обладает доплеровским сдвигом частоты и амплитудой, пропорциональной малому параметру v/c — отношению скорости движения объекта v к скорости света в вакууме с [12]. Тем самым, хотя неподвижный объект невидим, он становится видимым при движении. Интегральная мощность рассеяния может быть оценена по простым формулам Френеля, но вид индикатрисы, или диаграммы направленности, оказывается нетривиальным, хотя и не зависящим от (малой) скорости движения [13]. Как видно из рис. 5, a, для объекта с размерами, малыми по сравнению с длиной волны, диаграмма направленности колоколообразная, с максимумом в области зеркального отражения и спадом при отклонении от этого направления. При увеличении размеров объекта диаграмма направленности становится изрезанной со значительным числом пиков (рис. 5, д, в). Анализ показывает, что для резкой границы объекта отраженный сигнал доступен наблюдению даже при значительных удалениях от объекта, а величина доплеровского сдвига частоты также вполне измерима [13].
![Рис. 5. Диаграмма направленности рассеянного излучения в плоскости регистрации (угловые координаты p и q приведены в относительных единицах) в зависимости от размеров неоднородности для случая нормального (вдоль оси z) падения на объект в форме прямоугольного параллелепипеда с размерами х0 = у0 = 0,5λ, z0 = 0,15λ (a), х0 = у0 = z0 = 0,5λ (б), х0 = у0 = 0,75λ, z0 = 1,5λ (в). Слева — объемное изображение, справа — контурный график изолиний интенсивности; цветовая шкала изображает уровень интенсивности [12]. Изображение «Природа»](images/eltpub/nevidim_10_700.jpg)
Движение объекта может служить фактором его обнаружения и для варианта невидимости обтекания. Действительно, как мы говорили, такая невидимость рассчитана на определенную длину волны излучения, а в связи с высокими градиентами оптических характеристик среды чувствительность к сдвигам частоты весьма велика. Но при движении как раз и происходят частотные (доплеровские) сдвиги, что будет служить причиной рассеяния излучения и, следовательно, детектирования объекта.
Таким образом, полная невидимость макроскопических объектов — отсутствие рассеяния ими электромагнитного излучения во всех направлениях и для любых длин волн — принципиально невозможна. Но достижимо заметное уменьшение рассеяния излучения при некоторых ограничениях, прежде всего на спектральный состав диагностирующего излучения.
Значительный прогресс в этом направлении связан с развитием технологий изготовления метаматериалов — искусственных сред с заранее заданными характеристиками. В настоящее время применительно к невидимости такое уменьшение рассеяния реализовано для радиоволн. Для оптического излучения «детали», из которых изготавливается среда, на много порядков миниатюрней, что затрудняет решение задачи. Но и здесь возможен прогресс при использовании современных нанотехнологий. Наконец, решение проблемы невидимости движущихся объектов требует учета дополнительных релятивистских эффектов.
Литература: