Игорь Сокальский,
кандидат физико-математических наук
«Химия и жизнь» №10, 2006
Главную роль в жизни видимой части Вселенной играют протоны и нейтроны, составляющие так называемую барионную материю. Из барионной материи состоят все наблюдаемые нами объекты – от мельчайших бактерий до галактик. Об истории барионов речь шла в предыдущей статье цикла «Вселенная: материя, пространство, время». В этой статье мы поговорим об исполнителях эпизодических ролей.
Вещи бывают великими и малыми не токмо по воле судьбы
и обстоятельств, но также по понятиям каждого.
Козьма Прутков

Помимо протонов и нейтронов, образующих атомные ядра, из которых состоит видимый нами мир, есть еще три стабильные частицы: электрон, квант электромагнитного излучения и нейтрино. Все они, родившись в тех или иных процессах, существуют бесконечно долго. Во всяком случае, ни в одном эксперименте не удалось пока обнаружить их самопроизвольного распада. Остальные элементарные частицы нестабильны и распадаются. Дольше всех живут мюоны – две миллионные доли секунды. Срок жизни других частиц (общее число их разновидностей достигает нескольких тысяч) как минимум в 100 раз меньше, чем у мюонов (это π- и Κ-мезоны), а у подавляющего большинства он еще короче. Типичное время жизни так называемых частиц-резонансов —
Электроны образуют оболочку атомов, определяя их химические свойства. Электрический заряд электронов отрицателен, и их кулоновское взаимодействие с положительными ядрами придает атомам стабильность, удерживая их от распада. Число электронов в атомной оболочке всегда равно числу протонов в ядре, что делает атом электрически нейтральным. Масса электрона примерно в 2000 раз меньше массы нуклона (протона или нейтрона), поэтому электроны не вносят заметного вклада в массу наблюдаемого нами вещества. Последняя почти целиком определяется количеством составляющих его нуклонов.
Идея атомов – мельчайших кирпичиков материи – одна из самых старых физических идей. Она была сформулирована греческим философом Демокритом двадцать пять столетий назад. Несмотря на наивность своих взглядов (он учил, например, что огонь обжигает потому, что его атомы остры, а вода способна течь, поскольку атомы у нее гладкие), Демокрит правильно понял основное: разные вещества состоят из разных атомов и особенности атомов формируют свойства тех или иных веществ.
Первым существование электрона как отдельной частицы зафиксировал в 1897 году английский физик, руководитель Кавендишской лаборатории Джозеф Джон Томсон. Он исследовал катодные лучи, отклоняющиеся в магнитном и электрическом полях, и доказал, что они представляют собой поток отрицательно заряженных частиц – электронов. Его сын Джордж Томсон в 1926–1927 годах обнаружил, что пучок электронов, рассеиваясь на тонкой пленке, дает дифракционную картину. То есть частица – электрон – ведет себя так же, как электромагнитная волна. Это было совершенно неожиданно с точки зрения классической физики. Эксперименты Томсонов с электронами сыграли важную роль в становлении квантовой механики.
Значение этих элементарных частиц в жизни людей трудно переоценить не только потому, что они определяют ход химических реакций, без которых жизнь была бы невозможна. Движение электронов в проводящих веществах под воздействием разницы потенциалов – электрический ток – технологическая основа современной цивилизации.
Эти же элементарные частицы способны донести до нас вести из глубин Вселенной: электромагнитное излучение, рождаемое при движении электронов в магнитном поле, называется синхротронным. Синхротронное излучение, приходящее от остатков сверхновых, пульсаров, активных ядер галактик или квазаров, несет информацию о процессах, протекающих в этих объектах.
Фотон – элементарная частица, переносящая электромагнитное взаимодействие, квант электромагнитного поля. Чаще всего фотонами называют частицы света, видимого человеческим глазом (длины волн от 3,5 до 6,5 микрон). Для обозначения переносчиков коротковолнового излучения (фотонов более высоких энергий) часто используют понятие «гамма-квант». В действительности термины «гамма-квант» и «фотон» – синонимы, их можно использовать применительно к кванту электромагнитного излучения с любой длиной волны. Макс Планк в 1900 году для объяснения свойств теплового излучения постулировал, что энергия электромагнитного поля излучается и поглощается отдельными порциями, квантами, а сам термин «фотон» предложил Гилберт Льюис в 1926 году. Свет состоит из фотонов. Электрическая лампочка мощностью в 100 Вт излучает примерно сто миллиардов миллиардов (1020) фотонов в секунду.
Основная функция фотонов в современной Вселенной – переносить энергию, которая выделяется в процессах, происходящих в звездах, активных ядрах галактик, квазарах и других «активных» объектах. Например, энергию, образующуюся в результате термоядерного синтеза в ядрах звезд, уносят фотоны и нейтрино, о которых будет рассказано чуть ниже. Эта энергия рассеивается в межзвездном и межгалактическом пространстве. Часть ее идет (за счет поглощения фотонов атомами) на нагрев планет у звезд с планетными системами, благодаря чему на некоторых из них могут (по крайней мере в теории) возникнуть условия для зарождения жизни. Единственная известная нам сейчас планета, на которой жизнь действительно возникла, – это наша Земля. Все попытки обнаружить внеземную жизнь, хотя бы и неразумную, пока ни к чему не привели – может быть, к сожалению, а может быть, к счастью.
Для нас, людей, фотоны служат одним из самых мощных инструментов познания окружающего мира: 90% информации, получаемой нами, поступает через органы зрения – глаза. Наши представления о Вселенной почти полностью сформированы наблюдением и исследованием электромагнитного излучения, поступающего из космоса. До середины XVII века, когда Галилео Галилей первым догадался направить на небо подзорную трубу, небесные объекты изучали с помощью глаз. Но и этот простой способ позволил прийти к гелиоцентрической модели мира. Наблюдение неба с помощью фотонов, регистрируемых оптическими телескопами, привело к настоящей революции: к середине XX века стала известна крупномасштабная структура Вселенной, а также природа планет и звезд. Сейчас астрономы изучают космос практически во всех диапазонах длин электромагнитных волн, от радиоволн до гамма-излучения. Вместе с тем бурно развиваются и «нефотонные» методы – регистрация протонов и легких ядер, входящих в состав космических лучей, а также нейтрино.
История этой частицы началась 4 декабря 1930 года, когда великий Вольфганг Паули в письме участникам физического семинара в немецком городе Тюбингене с горечью написал: «Я сделал сегодня что-то ужасное. Физику-теоретику никогда не следует делать ничего подобного. Я ввел в теорию нечто, что никогда не сможет быть проверено экспериментально». Речь шла о гипотетической в то время частице, название для которой появилось только спустя два года. Крестным отцом стал итальянский физик Энрико Ферми. Он предложил назвать электрически нейтральную безмассовую частицу «маленькое нейтральное», или, по-итальянски, «neutrino». Паули же сокрушался потому, что в отчаянной попытке спасти закон сохранения энергии он был вынужден нарушить основополагающий научный принцип, предложенный в XIV веке Уильямом Оккамом: «Entia non sunt multiplicianda praeter necessitatem» («Сущности не следует умножать без необходимости»). Но у Паули не было другого выхода. Впрочем, давайте по порядку.
В 1914 году английский физик Джеймс Чедвик обнаружил, что электроны, испускаемые при
Предполагая, что распадающееся ядро находится в покое (то есть имеет нулевой импульс), и исходя из законов сохранения импульса и энергии, можно было ожидать, что образовавшееся при распаде ядро и электрон всегда вылетают в диаметрально противоположных направлениях с равным абсолютным значением импульса. Следовательно, энергия электрона всегда одна и та же. Эксперимент же показывал другое. Ситуация усугублялась тем, что в известных уже к тому времени
Закон сохранения энергии оказался спасенным, но взамен пришлось мириться с существованием гипотетической слабовзаимодействующей частицы, которую никто не надеялся обнаружить экспериментально. Однако уже через 26 лет предположение Паули подтвердилось. В экспериментах на атомных реакторах, проведенных в 1953–1956 годах, группа американского физика Фредерика Рейнеса надежно зарегистрировала нейтрино.
Вселенная наполнена нейтрино. На каждый нуклон их приходится около миллиарда. Вероятность взаимодействия с веществом для них чрезвычайно мала – почти все нейтрино, рожденные в центре Солнца, проходят до его поверхности и затем сквозь Землю, не испытывая взаимодействия. Поэтому эксперименты по обнаружению нейтрино очень сложны.

С одной стороны, нейтрино почти не определяют свойств нашего мира. С другой стороны, именно эти частицы несут информацию, которую другим путем получить невозможно. Протоны электрически заряжены, траекторию их полета искривляют галактические и межгалактические магнитные поля; в результате невозможно определить объект, в котором они были ускорены. Нейтроны в свободном состоянии подвержены распаду и «не доживают» до Земли, если рождены в удаленных объектах. Хотя
Как мы уже говорили, помимо стабильных частиц есть короткоживущие, время жизни которых – от
На самом деле далеко не все элементарные частицы действительно элементарны. Есть элементарные лептоны (электрон е, электронное нейтрино νe, мюон μ, мюонное нейтрино νμ ,
Основная задача современной физики – поиск простых законов, способных объединить все четыре известных взаимодействия в одно-единственное, проявляющееся в разных формах. При этом лептоны, кварки и переносчики взаимодействий описывались бы теорией как разные состояния одних и тех же частиц. Фундаментальным понятием в таких теориях объединения выступают различные формы симметрии. Этот путь, начатый в середине XIX века Джеймсом Максвеллом, который объединил магнитное и электрическое взаимодействия, пока далеко не пройден и требует еще многих усилий как теоретиков, так и экспериментаторов.
Симметрия в самом общем виде – это неизменность свойств системы при каком-либо ее преобразовании. Простейшая геометрическая симметрия известна из школьного курса. Например, круг не меняется как при зеркальном отражении относительно оси, проходящей по его диаметру (зеркальная симметрия) или при повороте вокруг центра на любой угол (поворотная симметрия). Пример более сложной симметрии – почти полная независимость уравнений электродинамики относительно замены электрического поля на магнитное, и наоборот. Поиском таких (и еще более сложных) симметрий и занята современная физика в попытках построить единую теорию взаимодействий.
Физическая теория предсказывает несколько частиц, которые до сих пор не открыты, но физики продолжают верить в их существование, поскольку оно следует из теорий, более или менее точно предсказывающих наблюдаемые факты.
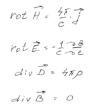
Итак, магнитный монополь. Электрические и магнитные силы известны с глубокой древности. В начале XIX века между ними была обнаружена глубокая связь. Ханс Кристиан Эрстед открыл, что электрический ток создает вокруг себя магнитное поле, а Майкл Фарадей показал, что переменное магнитное поле индуцирует в проводнике электрический ток. В 60-е годы XIX века Джеймс Клерк Максвелл построил первую теорию, объединяющую два взаимодействия, которые до тех пор рассматривались как две совершенно независимые силы. На основе этих уравнений были предсказаны электромагнитные волны. Уравнения Максвелла почти симметричны – замена в них электрического поля (Е или D) на магнитное поле (Н или В) почти не изменяет систему. Именно это придает им ту красоту и элегантность, которая вот уже полтораста лет восхищает физиков.
Мудрость, заключенная в уравнениях, вполне поддается переводу на общечеловеческий язык. Первые два гласят, что вихрь магнитного поля порождается электрическим током, а вихрь электрического – изменением магнитного поля. Третье – что источником электрического поля служит заряд, а четвертое – что у магнитного поля источника нет.
Теория Максвелла демонстрирует колоссальные возможности математики в описании мира, а также роль симметрии как путеводного научного принципа. Почему уравнения «почти» не полностью симметричны? Потому, что частицы с электрическими зарядами (положительными и отрицательными) существуют, тогда как магнитные заряды никогда не наблюдают по отдельности. У магнита всегда два полюса на двух его концах – положительный и отрицательный, и магнитное поле вокруг него есть результирующее поле обоих полюсов. Невозможно отделить от магнита один полюс: любой магнит, разделенный на две части, становится не двумя магнитными полюсами, а двумя новыми магнитами. Эта асимметрия уравнений Максвелла отражает результаты наблюдений.
В 1931 году английский физик Поль Дирак обратил внимание, что уравнения Максвелла обладали бы абсолютной симметрией, если предположить существование магнитного заряда, который создавал бы радиальное магнитное поле, аналогично тому, как электрический заряд создает электрическое поле. Дирак показал также, что существование хотя бы одного магнитного заряда во Вселенной автоматически ведет к требованию квантования электрического заряда – это естественным образом объяснило бы, почему все наблюдаемые электрические заряды кратны элементарному заряду, равному заряду электрона. Итак, Дирак постулировал существование частицы с магнитным зарядом, которая получила название «магнитный монополь», а ее поисками физики заняты уже 75 лет. Важно, что предсказание Дирака не опиралось на результаты наблюдений, а было продиктовано исключительно эстетическими соображениями. Природа, по убеждению Дирака, должна быть устроена красиво, а основа любой красоты – симметрия.
Из теории Дирака отнюдь не следует, что магнитные монополи непременно существуют. Она просто показывает, как красиво был бы устроен мир, будь в нем хоть один монополь. И вот в середине
За 75 лет, прошедших с опубликования работы Дирака, были поставлены сотни сложнейших экспериментов по поиску монополей, однако ни один из них пока не привел к успеху. Монополи искали в экспериментах на ускорителях, в космических лучах, в лунном грунте, в океанических донных отложениях, в древних образцах слюды, но, увы, безуспешно. Тем не менее физики не теряют надежды обнаружить эту частицу.
Одна из сложностей современной теории элементарных частиц в том, что до сих пор не объяснено, откуда у частиц берется масса. В 1964 году Питер Хиггс предложил механизм, в котором масса материи формируется так называемыми бозонами Хиггса. Есть неплохое шуточное объяснение этого механизма, которое предложил Дэвид Миллер. Вот оно: «Представьте коктейльную вечеринку, на которой гости равномерно заполнили зал... Входит Маргарет Тэтчер. Все хотят приблизиться к ней. При дальнейшем своем движении она притягивает стоящих перед ней. Те, кто остался позади, снова равномерно заполняют зал. Группа вокруг нее имеет большую массу, чем обычно». Бозоны Хиггса до сих пор не обнаружены в экспериментах. Физики надеются, что это будет сделано в ближайшие годы на LHC – громадном ускорителе элементарных частиц в Женеве, который вступит в строй в 2007 году.
Вызывает восхищение изощренность природы, которая умудрилась из относительно небольшого количества элементарных сущностей (кварки, лептоны, переносчики взаимодействий и некоторые другие) построить все наблюдаемое многообразие Вселенной, включающее и мир небесных тел, и мир человеческих чувств и эмоций. Поиск законов, по которым происходило это строительство, – увлекательное творческое занятие, дающее физикам ни с чем не сравнимое ощущение красоты и гармонии окружающего нас мира.