Один Дизайнер установил на свой компьютер новый графический редактор, в котором есть необычная функция. Её применение приводит к тому, что каждый отрезок на рисунке изменяется на ломаную, как показано на рис. 1.

Все такие изменения происходят одновременно, ломаная для каждого отрезка строится в подходящем масштабе. На рис. 2 показано, что произойдет с рисунком после однократного применения этой функции. Если на рисунке есть многоугольник, то необычная функция преобразует его стороны так, что новые уголки смотрят наружу.

Рис. 2. Применение необычной функции к рисунку
Наш Дизайнер только начал осваивать эту программу, но уже научился рисовать простые вещи. Нарисовав равносторонний треугольник, он решил сварить себе кофе. Когда он отлучился, на клавиатуре захотела погреться его кошка. По случайности, она уселась как раз на те клавиши, которые вызывают необычную функцию. В результате эта функция применилась очень много раз. Что увидел на экране Дизайнер, когда вернулся к своему компьютеру? Попробуйте посчитать периметр и площадь получившейся фигуры.
Чтобы ответить на первый вопрос задачи, сначала представьте себе, что будет происходить с треугольником при первых нескольких применениях этой функции. Потом уже довольно просто понять, как рисунок будет меняться дальше.
Со вторым вопросом задачи тоже лучше разбираться по шагам. Подумайте, что происходит с периметром и с площадью фигуры за одно применение необычной функции.
После первых применений необычной функции с исходным равносторонним треугольником будут происходить изменения, показанные на рисунке 3. Внутри каждой фигуры написано, сколько раз была применена функция, чтобы получилась эта фигура. Видно, что на каждом шаге число отрезков увеличивается, но сами они при этом становятся всё короче и короче. Так что довольно быстро изменения становятся почти незаметными. Например, чтобы разглядеть, чем отличается пятая фигура от шестой, нужно сильно увеличить изображение. Более того, если бы шестая фигура не была нарисована более тонкими линиями, то разница была бы практически незаметна. Итак, несмотря на то, что по условию необычная функция применилась очень много раз, наш Дизайнер увидел что-то очень похожее на шестую фигуру с рисунка 3.
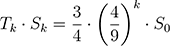
Обратимся к подсчетам. Можно считать, что сторона исходного треугольника была равна 1. Что происходит с периметром после однократного применения необычной функции? Вместо каждого отрезка на рисунке появляются четыре новых, каждый в три раза короче. Это хорошо видно на рисунке 1. Поэтому длина каждого отрезка (а значит, и весь периметр) умножается на 4/3. Если функция применилась N раз, то периметр последней фигуры будет равен 3 · (4/3)N. При больших N это число тоже будет очень большим. Точнее, при N → ∞ эта величина стремится к бесконечности.
Теперь сосчитаем площадь последней фигуры. Даже ничего не считая, можно сразу понять, что площадь, в отличие от периметра, не будет неограниченно расти, а всё время будет меньше некоторого конечного числа. Прекрасно видно, что все фигуры занимают ограниченные области на плоскости. Но мы всё-таки вычислим эту площадь точно.
Площадь исходного треугольника была равна
. Первое применение необычной функции добавило к нему три треугольника (со стороной 1/3). А каждое следующее применение будет добавлять в четыре раза больше треугольничков, чем предыдущее. Значит, на k-м шаге добавится
треугольничков. Стороны этих треугольничков, как уже отмечалось, каждый раз становятся в три раза короче, а так как площадь равностороннего треугольника пропорциональна квадрату его стороны, то площадь уменьшается в 9 раз:
.
Суммарный вклад треугольничков, которые появились на k-м шаге, равен
.
А вся площадь равна такой сумме:
Это точная формула, и при каждом конкретном N можно вычислить соответствующую площадь. Для этого удобно использовать формулу суммы геометрической прогрессии.
В решении мы вычислили периметр и площадь фигуры, которая получится после N применений необычной функции. Также мы видели, что довольно быстро происходящие изменения становятся не видны невооруженным глазом (при том, что они, конечно же, происходят). Теперь мы можем мысленно увеличивать N и при этом понимать, как меняется сама фигура и две ее числовые характеристики — периметр и площадь. При неограниченном увеличении N граница фигуры будет всё меньше отличаться от некоторой предельной линии. Этому утверждению можно придать математически строгий смысл, но мы сейчас опустим технические подробности. Один из наглядных аргументов в пользу этого утверждения такой: вершины всех углов, которые появились на очередном шаге, уже никогда не будут двигаться, и множество таких неподвижных точек с каждым шагом всё гуще и гуще «заполняет» ту самую предельную линию. Ее называют снежинкой Коха по имени шведского математика Хельге фон Коха, который, собственно, и описал эту линию и ее свойства в своей статье, опубликованной в 1904 году. Придумал он ее не для красоты, а с вполне конкретной научной целью — это был пример непрерывной линии, у которой ни в какой точке нет касательных. Из наших вычислений получается, что периметр снежинки Коха бесконечно большой, а площадь вполне себе конечная. Хотя она и равна бесконечной сумме
, под знаком суммирования здесь стоит убывающая геометрическая прогрессия, сумма которой по формуле равна
. Значит, площадь снежинки всего в 8/5 раза больше площади исходного треугольника.
О других свойствах снежинки Коха можно почитать на «Элементах» и в Википедии.
Снежинка Коха была одним из первых придуманных фракталов (хотя сам этот термин появился много позже, во второй половине XX века). Это такие странные линии и фигуры (и даже просто множества точек), которые обладают следующими свойствами (не обязательно всеми из этого списка):
У разных фракталов обнаруживается много разных интересных свойств, которые важны и для теории, и для приложений. Но, пожалуй, самое удивительное — это то, что их можно нарисовать и они часто оказываются очень красивыми. Более подробное знакомство с этой темой можно начать отсюда.
В заключение опишем один похожий на снежинку Коха фрактал, который обладает почти теми же самыми свойствами. Это так называемый остров Госпера (придуманный американским математиком и программистом Уильямом Госпером (Bill Gosper). Как и у снежинки, построение идет по шагам, а сам остров — это предельная кривая. Всё начинается с правильного шестиугольника, а дальше каждый отрезок заменяется на ломаную из трех равных звеньев, как показано на рисунке 4.

Рис. 4. Принцип построения острова Госпера
Тут сразу из построения видно, что площадь фигуры на любом шаге не меняется и равна площади исходного шестиугольника. Значит, и у острова Госпера будет такая же площадь. Длина же каждого звена ломаной равна




Рис. 1. Применение необычной функции к одному отрезку