
Исследования последних лет свидетельствует, что какаду Гоффина (Cacatua goffiniana) обладают способностью к орудийной деятельности. Недавно вышли еще две статьи на эту тему. В первой статье показано, что какаду Гоффина могут правильно оценивать ситуацию, в которой оказался их сородич, и действовать в соответствии с этим. В экспериментах один какаду должен был передать второму предмет, которым тот мог достать лакомство из контейнера. Три из восьми испытанных какаду довольно успешно справлялись с этим тестом. Во второй статье ученые впервые описали, как какаду Гоффина используют орудия в условиях, максимально приближенных к природным. Две из 15 птиц, которых на время заключили в вольер, регулярно изготавливали палочки нескольких типов, при помощи которых они вскрывали плоды, чтобы добраться до семян. Пока непонятно, насколько это умение распространено в популяции и чем оно больше обусловлено — мышлением или повторением. По мнению авторов работ, оба этих примера демонстрируют, что какаду Гоффина проявляют мыслительную гибкость в изготовлении и использовании орудий.
Поведение животных определяется тремя основными компонентами — мышлением, наследственно обусловленными формами поведения и обучением. Мышление «отвечает» за поведение в новой для животного ситуации, когда решение надо принимать экстренно — без предварительного обучения и при отсутствии соответствующей наследственной программы. К мышлению, например, относят элементарную рассудочную деятельность животных (см. Когнитивная этология и статью Зои Зориной Мышление животных). Обучение — это способность изменять свое поведение благодаря накопленному ранее опыту. Наследственно обусловленными называются врожденные стереотипные формы поведения (можно было бы сказать, что это инстинкты, но вокруг этого термина есть некоторая неоднозначность). Несомненно, эти составляющие перекрываются, и, в зависимости от степени продвинутости организации мозга и ситуации вклад того или иного компонента отличается. Именно поэтому при изучении сложного поведения животных с высокоорганизованным мозгом (таких как приматы, врановые, попугаи и дельфины) перед учеными всегда стоит нелегкая задача определить, какой из этих компонентов вносит наибольший вклад.
Одним из видов поведения, который мог бы указывать на то, что представители данного вида способны мыслить, является использование орудий. Но связь эта, к сожалению, не однозначная, поскольку, например, муравьев в такой способности заподозрить сложновато, а орудийная деятельность и у них (см. У муравьев афеногастеров орудиями труда пользуются только самые активные рабочие особи, «Элементы», 21.01.2021). Более того, даже у гораздо более развитых животных — в том числе и некоторых приматов — наличие орудийной деятельности не обязательно коррелирует с высоким интеллектом (подробнее см. Использование орудий животными не всегда говорит о большом уме, «Элементы», 29.03.2006). Но, тем не менее, исследование орудийной деятельности — это один из немногих способов для ученых «заглянуть» в голову братьям нашим меньшим.
Безусловно, наиболее изучены в этом плане приматы. Наши ближайшие эволюционные родственники довольно активно пользуются разными орудиями, причем не только теми, что валяются под ногами, но и специально изготовленными (см., например, Матери-шимпанзе делятся удочками с детенышами, чтобы помочь им научиться ловить термитов, «Элементы», 17.10.2016).

Рис. 2. Новокаледонские вороны (Corvus moneduloides) — признанные мастера изготовления орудий среди пернатых. Они используют веточки или — как на этих фото — кусочки листьев пандана, при помощи которых выковыривают личинок из-под коры деревьев. Изображение из статьи G. R. Hunt et al., 2008. Innovative pandanus-tool folding by New Caledonian crows
Среди птиц наиболее продвинутыми с точки зрения использования орудий считаются новокаледонские вороны (Corvus moneduloides, рис. 2), для которых использование и изготовление орудий в дикой природе — обычное дело. Они делают их из веточек и листьев пандана для добычи личинок насекомых из-под коры деревьев. По краям листьев этого растения идут ряды шипиков, которые можно использовать, чтобы подцеплять добычу. Но для этого нужно правильно изготовить орудие (рис. 3). Вороны либо загибают конец веточки, чтобы получить подобие крючка, либо отрывают края листьев, причем орудия из листьев бывают трех разных типов: широкие, узкие и заостренные (с широким основанием и узким концом). Типы отличаются по ширине и сложности изготовления, причем заостренная форма орудия считается наиболее сложной.

Рис. 3. Вверху — три типа пандановых орудий новокаледонских ворон: широкий, узкий и заостренный. Внизу — стадии улучшения техники изготовления орудия по мере взросления у новокаледонских ворон. Стадия 1 — у совсем юных особей отрывание кусочков листьев происходит почти случайным образом, и обычно это не приводит к успеху (правда, некоторые вороны пытаются пользоваться своими поделками — два таких «недоорудия» указаны стрелками). Стадия 2 — действия ворон становятся более четкими и получающиеся орудия уже больше похожи на настоящие, но они все равно не функциональны. Стадия 3 — результат уже близок к идеалу, но молодые вороны тратят на изготовления орудий много времени. Стадия 4 — примеры орудий, изготовленных взрослыми особями. Рисунки из статьи J. C. Holzhaider et al., 2010. Social learning in new Caledonian crows
Известно даже, что новокаледонские вороны способны к передаче уникальных для популяции дизайнов орудий следующим поколениям, то есть у них имеются зачатки культуры (S. A. Jelbert et al., 2018. Mental template matching is a potential cultural transmission mechanism for New Caledonian crow tool manufacturing traditions). Но чем же все-таки является орудийная деятельность у ворон — видоспецифическим поведением, обусловленным исключительно генетическими составляющими, обучением путем наблюдения за другими особями в популяции или все-таки мышлением? Понимают ли птицы, что они делают? И если да, то как ученым понять, что птицы это понимают?
Чтобы правильно ответить на эти вопросы, нужно учитывать, что не всякое использование орудий требует понимания его свойств. Например, при изучении орудийной деятельности животных очень важно отличать спонтанно возникшее поведение от характерного данному виду. Первое, как правило, проявляется в новых для животных обстоятельствах, а второе — в постоянно повторяющихся. Например, новокаледонские вороны изготавливают и используют орудия в природе и эта способность характерна для всех представителей вида. А вот у голубых соек (Cyanocitta cristata), тоже относящихся к врановым, такого поведения в природе не было отмечено. Однако в экспериментальных условиях удалось зафиксировать, как голубая сойка оторвала кусочек от лежащей на полу газеты, свернула из него трубочку, просунула ее через решетку клетки и подтащила к себе лежавший снаружи и находившийся вне пределов досягаемости корм (T. Jones, A. Kamil, 1973. Tool-Making and Tool-Using in the Northern Blue Jay).
В конце концов ученым удалось убедительно показать, что у новокаледонских ворон (несмотря на наличие наследственно обусловленных форм поведения) обучение в течение жизни вносит вклад в освоение мастерства изготовления орудий (J. C. Holzhaider et al., 2010. Social learning in new Caledonian crows; G. R. Hunt et al., 2012. Prolonged Parental Feeding in Tool-Using New Caledonian Crows). При этом в лабораторных условиях новокаледонские вороны справляются с новыми для них задачами, с которыми они не встречаются напрямую в природе, и орудуют незнакомыми материалами в незнакомых ситуациях, что говорит и о вкладе мышления (A. M. P. von Bayern et al., 2018. Compound tool construction by New Caledonian crows).
Но среди птиц не только врановые были замечены в использовании орудий. К настоящему времени уже накоплено немало свидетельств, что и представители отряда попугаеобразных способны к орудийной деятельности. Наиболее изучен в этом отношении какаду Гоффина (Cacatua goffiniana, рис. 1): в лабораторных экспериментах было показано, что они могут решать задачи, требующие использования разных предметов. Например, в серии работ ученых из Венского университета какаду успешно и неоднократно изготавливали орудия. Птица вполне справлялась с тем, чтобы догадаться оторвать кусочки от деревянной доски или поднять веточку с земли, при помощи которых она затем пододвигала к себе приманку, находящуюся за пределами клетки (A. M. I. Auersperg et al., 2012. Spontaneous innovation in tool manufacture and use in a Goffin’s cockatoo). Также какаду изготавливали палочковидные орудия из трех разных материалов (A. M. I. Auersperg et al., 2016. Goffin's cockatoos make the same tool type from different materials). А вот в природе пока у этого вида орудийную деятельность зафиксировать не удавалось.
Недавно появились две любопытные статьи той же научной группы, посвященные этим птицам.
В первой из них, опубликованной в журнале PLOS One, восьми взрослым какаду Гоффина пришлось решать сложные (по птичьим меркам) когнитивные задачи в строго контролируемых лабораторных условиях. Исследователи пытались выяснить, понимают ли какаду функциональные свойства орудий.
В тестах использовали две экспериментальные установки. Первая представляла собой изогнутый цилиндр с откидывающимся дном (на дно помещали съедобную приманку). Птица могла достать ее, бросив внутрь установки мячик, который откидывал дно. Вторая экспериментальная установка представляла собой прозрачный куб с отверстием, внутри которого на подставке лежала приманка. Ее можно было достать, просунув в отверстие куба палку и столкнув приманку вниз.
Испытуемые птицы получили опыт использования этих орудий в предыдущих экспериментах, поэтому они должны были знать, как пользоваться палкой и мячиком. В новой серии экспериментов одной птице нужно было оценить, какой из предметов может подойти для того, чтобы вторая птица смогла добыть лакомство. Это одна из стандартных схем для изучения просоциального поведения, то есть такой формы взаимодействия между особями, при которой действия одной из них приносят выгоду только другой. Просоциальность встречается среди животных. В первую очередь это, конечно, приматы, но и некоторые птиц — в том числе и из отряда попугаеобразных — тоже демонстрируют просоциальное поведение. Подробнее о просоциальности в животном мире можно прочитать в новости Голубые сороки делятся едой с товарищами («Элементы», 17.12.2020).
Известно, что какаду Гоффина — очень социальные животные, живущие в парах или семейных группах. В неволе они демонстрируют широкий спектр социальных взаимодействий — в том числе и такие, которые можно трактовать как просоциальные (I. B. Laumer et al., 2019. Tentative evidence for inequity aversion to unequal work-effort but not to unequal reward distribution in Goffin's cockatoos). Также ученые наблюдали у них сложное игровое поведение, при котором какаду взаимодействуют как с конспецификами, так и с разными объектами, которые они очень любят куда-нибудь засовывать (проявляя тем самым и исследовательское поведение). Игровое поведение, при котором происходит манипулирование объектами (вне кормового контекста) может отражать когнитивные способности, способствующие выживанию вида. Кроме этого, различные типы социальных отношений могут влиять на индивидуальные стратегии обучения в группах животных. Так что из общих соображений следует, что, передавая орудие сородичу, какаду может или делать это без какой-либо цели, или расценивать конспецифика как участника игры, или действительно обращать внимание на то, какое орудие ему нужно.
Экспериментальная клетка состояла из двух отсеков, разделенных прозрачной перегородкой с небольшим отверстием, через которое какаду могли передавать друг другу предметы. В отсеке с испытуемым какаду (отмечен буквой A на рис. 4) находились четыре орудия — палка, мячик, крестик и треугольник. Все они ранее уже использовались в экспериментах с какаду, так что были им знакомы и, возможно, ассоциировались у птиц с добычей еды. В условиях этого эксперимента два орудия в принципе были функциональными (палка и мячик), а два других использовались для отвлечения внимания. В другом отсеке находилась одна из двух экспериментальных установок с приманкой и второй какаду. То есть от испытуемого какаду «требовалось» подобрать то орудие, которое подходило для данной экспериментальной установки, и передать его товарищу. Птицы, естественно, не знали, что от них что-то требуется, — ученые просто смотрели, как поведут себя какаду в этой ситуации.
Рис. 4. Схема эксперимента по проверке того, что какаду осознают функциональное предназначение разных предметов. Пояснения в тексте. Рисунок из обсуждаемой статьи в PLOS One
Также была проведена серия контрольных опытов, в которых во втором отсеке находилась либо только птица, либо только экспериментальная установка. Это было сделано для того, чтобы оценить, насколько целенаправленным было поведение птиц. Если в отсеке с установкой нет птицы, то передавать орудия не имеет смысла, однако в случае непонимания структуры задачи такое поведение возможно.
Авторы честно пишут, что изначально они ожидали (исходя из знания об игривости какаду Гоффина), что все птицы более-менее провалят тест, то есть что они будут демонстрировать игровое поведение и передавать друг другу предметы случайным образом. Но дизайн эксперимента позволял даже в такой ситуации проследить за тем, в каком порядке птицы передают предметы, есть ли предпочтения в порядке или типе передаваемых предметов.
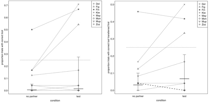
Результаты, хоть и превзошли пессимистичные ожидания ученых, получились не слишком однозначными. В 62% тестов предметы не передавались вообще (тестом мы называем один раунд эксперимента, когда испытуемая птица находится в первом отсеке клетки, а во втором отсеке находится или вторая птица, или установка с приманкой, или птица вместе с установкой). В 75% тестов правильный предмет не был передан за отведенное время. Но при этом три птицы — Фигаро, Фини и Мэйдэй — в большинстве тестов передавали нужные орудия своим сородичам: Фигаро — примерно в 54% тестов, Фини — примерно в 65%, Мэйдэй — примерно в 70% (рис. 5). В контрольных тестах, когда во втором отсеке находилась только установка, они тоже перекладывали правильное орудие, но происходило это существенно реже (у Фини — примерно в половине тестов, у Фигаро и Мэйдэй — примерно в 20%). Эта же троица достаточно часто передавала первым именно правильное орудие. Остальные пять птиц одинаково редко (в среднем меньше чем в 10% тестов) передавали во второй отсек правильный предмет и когда там был сородич, и когда его не было. Тип экспериментальной установки не влиял на вероятность передачи правильного предмета первым. Авторы также отмечают, что во многих тестах наблюдалось игровое поведение: птицы часто перекладывали предметы во второй отсек и обратно (и это почти не зависело от наличия там товарища), а некоторые какаду иногда передавали товарищу все четыре предмета.
Рис. 5. Результаты эксперимента. Слева — доля тестов, в которых правильный предмет был передан. Справа — доля тестов, в которых правильный предмет был передан первым. Test — во втором отсеке находились экспериментальная установка и какаду; no partner — во втором отсеке находилась только установка. Графики из обсуждаемой статьи в PLOS One
Таким образом, из восьми испытанных какаду три птицы смогли гибко изменять свое поведение в зависимости от условий: им удавалось оценивать не только функциональные свойства орудий, но и условия, в которых эти орудия можно применять. Чтобы определить, насколько здесь сильно влияние просоциального поведения, а насколько — игрового, потребуются дополнительные эксперименты. Но полученные результаты все равно свидетельствуют о вкладе мышления в поведение какаду (по крайней мере, некоторых) и отчасти подтверждает гипотезу о том, что среди представителей видов, которые практикуют орудийную деятельность, встречаются своего рода «гении», которым эта деятельность дается куда лучше сородичей (см. Использование орудий животными не всегда говорит о большом уме, «Элементы», 29.03.2006). Чтобы подтвердить или опровергнуть эту гипотезу, нужно, конечно, расширять число исследуемых видов.
Как уже говорилось, в дикой природе орудийная деятельность у какаду Гоффина пока не наблюдалась (в отличие от новокаледонских ворон). Значит ли это, что для какаду не характерна такая форма поведения в природе в принципе? В недавнем номере журнала Current Biology вышла статья, приближающая нас к ответу на этот вопрос.
Ученые поймали 15 какаду и поселили их в уличный вольер (площадью 50 м² и высотой 2–3 м) с условиями, максимально приближенными к естественным. Среди разных лакомств в вольере оказались плоды дерева Cerbera manghas, которые какаду регулярно едят в дикой природе. Наблюдая за поведением птиц в вольере, авторы заметили, что некоторые из них пытались достать семена из плода, изготавливая и используя разные типы орудий (рис. 6, к статье прилагается несколько видео, на которых хорошо видны манипуляции, которые какаду производили с плодами и палочками).
Рис. 6. Вверху — последовательность действий какаду при раскрытии плода. Внизу — трансформации плода в процессе его обработки птицей. Изображения из обсуждаемой статьи в Current Biology
Сначала птицы с помощью клюва удаляли внешнюю часть плода (околоплодник). Чтобы раскрыть плод, птицы либо бросали его на землю, либо пользовались орудиями. Двое самцов, например, отламывали кусочек ветки, очищали от коры и придавали ему нужную форму, при этом они не выпуская плод из лап (что косвенно свидетельствует о целенаправленности поведения). Изготовленное орудие они вставляли в щель в эндокарпии, сдвигая его. Когда кончик орудия показывался с другой стороны щели, какаду ощупывали его языком (интересно, зачем?). Всего птицы изготовили 125 орудий, которые можно разделить на три типа. Сначала какаду использовали тонкие острые палочки для прокалывания оболочки семени под эндокарпием, а затем — палочки средней толщины для извлечения семян. А один самец даже изготавливал клинья, чтобы расширить щель. Изготовление различных по функциям типов орудий говорит о том, что птицы не только оценивали их форму, но и мысленно представляли их ориентацию в пространстве.
Похожее «многоорудийное» поведение ранее наблюдали только у высших приматов. Например, шимпанзе используют от одного до пяти орудий, чтобы добывать мед из ульев (C. M. Sanz, D. B. Morgan, 2009. Flexible and Persistent Tool-using Strategies in Honey-gathering by Wild Chimpanzees).
В этой работе исследователям удалось впервые зафиксировать, что какаду Гоффина используют нескольких типов орудий. Если животное использует разные орудия для достижения своей цели, то говорить уже об исключительно наследственно обусловленных формах поведения не приходится. Но многие вопросы пока остаются открытыми. Например, непонятно, является ли данная популяция птиц «изобретателем» такого поведения или же они обучились ему у другой популяции? Как широко распространен этот навык? Будут ли птицы, выращенные в неволе, демонстрировать такое поведение? На эти и другие вопросы еще предстоит ответить.
Источники:
1) I. B. Laumer, J. J. M. Massen, P. M. Boehm, A. Boehm, A. Geisler, A. M. I. Auersperg. Individual Goffin´s cockatoos (Cacatua goffiniana) show flexible targeted helping in a tool transfer task // PLOS One. 2021. DOI: 10.1371/journal.pone.0253416.
2) Mark O’Hara, Berenika Mioduszewska, Roger Mundry, Yohanna, Tri Haryoko, Rini Rachmatika, Dewi M. Prawiradilaga, Ludwig Huber, Alice M. I. Auersperg. Wild Goffin’s cockatoos flexibly manufacture and use tool sets // Current Biology. 2021. DOI: 10.1016/j.cub.2021.08.009.
Екатерина Диффинэ














Рис. 1. Какаду Гоффина (Cacatua goffiniana) уплетает плод рамбутана. Фото с сайта commons.wikimedia.org