Науке известны считаные соединения, имеющие в своем составе тройные связи тяжелых элементов 14-й группы, находящихся в таблице Менделеева под углеродом — кремния (Si), германия (Ge) и олова (Sn). Поэтому их синтез и изучение являются важной задачей химиков, специализирующихся в этой области.
Недавно в группе одного известного исследователя была открыта необычная реакция элиминирования силана с атома олова в довольно мягких условиях (рис. 1). На первой стадии силан tBu2MeSiH элиминирует с получением станнилена (см. stannylene) — нестабильного двухвалентного соединения олова. На второй стадии станнилен димеризуется и в результате получается соединение с двойной связью между атомами олова (Sn=Sn).

1. С какой молекулой можно провести такую же реакцию элиминирования силана, так чтобы в результате получилась молекула с тройной связью «олово—олово» (рис. 2)?

Рис. 2. Соединение с тройной связью «олово—олово»
В 1967 году советский химик Леонид Евгеньевич Гусельников показал, что в отличие от веществ с двойной связью «углерод—углерод», вещества с двойной связью «кремний—углерод» димеризуются, образуя четырехугольные кольца (рис. 3). Подобное поведение было описано позже и для молекул с двойными связями германия и олова.

Pис. 3. Реакция получения и димеризации вещества с двойной связью «кремний—углерод», открытая Леонидом Гусельниковым в 1967 году
Димеризации можно помешать, нагромоздив большие группы вокруг двойной связи (об этом рассказывалось в новости Впервые получены структуры контактной и сольватноразделённой ионных пар силенил-литиевого соединения, «Элементы», 23.09.2016). Именно из-за больших групп вещество с двойной связью «олово—олово», показанное на рис. 1, не димеризуется. Тройные связи тоже могут димеризоваться.
2. Какую молекулу могут получить исследователи, если соединение с тройной связью олово-олово (рис. 2), которое они планируют получить, будет нестабильным?
Продумайте ретросинтез — то есть как бы добавьте молекулу (или молекулы) силана к тройной связи, показанной на рис. 2.
Нарисуйте четырехугольное кольцо, которое может получиться димеризацией вещества с тройной связью «олово—олово» и подумайте, что с ним может произойти дальше.
Задача сформулирована на основе совсем свежей статьи исследователей из Израиля, опубликованной в журнале Angewandte Chemie (R. Bashkurov et al., 2020. A Novel High Yield Synthesis of an Octastannacubane and a Bis(silyl) Stannylene via Reductive Elimination of a Silane). Так что вам предлагалось подумать о самой современной химии. Можно посмотреть популярное видео с рассказом об этой работе на канале автора задачи:
Открыть новую реакцию — это всегда здорово, но для публикации в хорошем журнале одного открытия мало. Надо убедительно показать, что новооткрытая реакция может быть применена для чего-то, что раньше либо не получали вовсе, либо получали более сложным путем (то есть известные ранее способы синтеза требуемого соединения были многостадийными, с низким выходом и т. д.).
К чему можно применить новую реакцию элиминирования силана? Как было сказано в самом начале задачи, науке известны считанные соединения, имеющие в своем составе тройные связи тяжелых элементов 14-й группы (с оловом таких соединений пока известно всего одно или два). Поэтому одна из первых идей применения была именно в этом направлении.
Чтобы спланировать синтез новой молекулы, часто используется метод ретросинтетического анализа (ретросинтеза) — пошаговое упрощение структуры желаемой молекулы вплоть до простых и доступных исходных соединений. В обсуждаемом случае нужно были «спроектировать» молекулу, из которой путем элиминации силана получиться вещество с тройной связью «олово—олово», показанное на рис. 2. Идея ретросинтеза заключается в добавлении силанов tBu2MeSiH к тройной связи. Таким образом былo спланировано соединение, обозначенное на рис. 4 номером 11. Путем элиминации двух молекул силана с этой молекулы должно было получиться искомое соединение, обозначенное на том же рисунке номером 13. Элиминирующие силаны обведены красной пунктирной линией.

Pис. 4. Синтез, спланированный учеными в статье R. Bashkurov et al., 2020. A Novel High Yield Synthesis of an Octastannacubane and a Bis(silyl) Stannylene via Reductive Elimination of a Silane. Два силана tBu2MeSiH элиминируют с получением соответствующих станниленов (так же, как на рис. 1). Два станнилена, находясь по соседству, создают двойную связь. Но одна связь между атомами олова уже есть, поэтому получается тройная связь. Элиминирующие силаны обведены красной пунктирной линией
Молекулy номер 13 выделить не получилось — она оказалась нестабильной. Это в принципе было ожидаемо, так как группы, оставшиеся вокруг тройной связи, недостаточно большие, чтобы предотвратить димеризацию. Hо были выделены красные кристаллы (исходное вещество номер 11 бесцветное, а вещество с двойной связью нa pис. 1 — зеленое). Структура кристаллов была расшифрована с помощью рентгеновской кристаллографии (см. новость Новый метод MicroED определяет молекулярную структуру вещества за полчаса, «Элементы», 24.10.2018). Оказалось, что получилась молекула (номер 9 на рис. 5), в которой 8 атомов олова образуют куб. Внизу на рис. 5 показана структура этой молекулы, полученная расшифровкой дифракционных данных.

Рис. 5. Вверху: реакция, в которой ученые ожидали получить тройную связь «олово—олово», дала на выходе совсем другой продукт — кубан (соединение номер 9). Внизу слева: структура кубана, расшифрованная при помощи рентгенокристаллографии. Внизу справа: фотография его красных кристаллов
Молекула номер 9 называется кубаном. Онa получилась путем «двойной» димеризации — сшивания четырех молекул с тройной связью (рис. 6.). Первая димеризация (стадия а) дает четырехугольную молекулу с двумя двойными связями, а вторая димеризация двух таких димеров (стадия b) — дает куб.

Pис. 6. Возможный механизм получения кубана. На первой стадии (а) две молекулы с тройной связью димеризуются в квадрат, а на второй стадии (b) два квадрата димеризуются в куб. Группы tBu2MeSi недостаточно большие, чтобы предотвратить димеризацию в обоих случаях
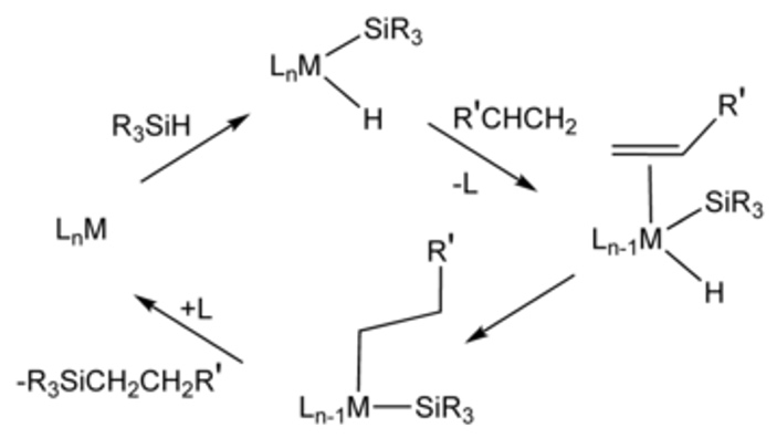
Элиминация силанов известна для многих переходных металлов (pис. 7): например, палладия, платины, рутения, родия, ирридия. Эта реакция имеет огромное практическое значение — она является одной из стадий в процессе гидросилилирования олефинов (веществ с двойной связью С=С), который используется для синтеза красителей и многих других веществ, имеющих практическое применение в строительстве, производстве лекарств и полимеров, нанотехнологии (см. новость Появился способ получения нецентросимметричных наночастиц, «Элементы», 17.08.2012), и т. д.

Рис. 7. Механизм классической реакции гидросилилирования олефинов с помощью катализа комплексaми переходных металлов LnM (L — лиганд, M — металл). Металл на первой стадии внедряется в связь «кремний—водород», на второй стадии — взаимодействует с олефином, а на следующих стадиях силан элиминирует с металла и внедряется в активированную двойную связь с получением продукта и восстановлением металлического катализатора
Переходные металлы дороги, токсичны и их количество на земле ограниченно, поэтому поиски альтернативных методов гидросилилирования имеют важное прикладное значение. Олово — не переходной металл, с ним такая элиминация в мягких условиях не была известна. Находка реакции элиминирования силана с олова может стать шагом в направлении замены переходных металлов в некоторых реакциях или открытии новых каталитических циклов для новых продуктов, к которым до сих пор катализаторов не нашлось.
Кубаны — сами по себе очень интересные вещества для изучения природы химической связи. Идея существования кубической молекулы из атомов углерода завораживала химиков-органиков уже давно. Дело в том, что в обычном состоянии угол между связями на атоме углерода равен около 109,5°, а в кубане они обязаны быть равны 90°. Как должна быть устроена эта связь? Не будет ли такая молекула взрывчаткой? Вот такие вопросы волновали химиков в первой половине XX века.
Первый углеродный кубан (веществo, с формулой C8R8, в котором во всех вершинax куба находятся атомы углерода) был синтезирован в 1964 году восьмистадийным синтезом с выходом всего 12% (P. E. Eaton, T. W. Cole, 1964. Cubane). Позже были синтезированы углеродные кубаны с большим выходом. Они даже — благодаря отсутствию токсичности — нашли практическое применение в медицине (T. A. Reekie et al., 2019. Cubanes in Medicinal Chemistry). На рис. 8 показаны три примера кубанов из этой обзорной статьи (всего их там 140). Самый левый показал антивиральную активность, центральный — противораковую, а самый правый — обе.

Рис. 8. Примеры кубанов, испытываемых для использования в медицине. Рисунок из обзора T. A. Reekie et al., 2019. Cubanes in Medicinal Chemistry
Оловянный кубан с формулой Sn8R8 был ранее синтезирован лишь единожды, причем это получилось случайно (то есть он был побочным продуктом). Выход составил менее 3%. В новой работе химиков из Хайфы выход оловянного кубана 70%, а это значит, что его впоследствии можно будет тщательно исследовать спектроскопически и химически, что позволит узнать много нового о природе связи в таких веществах, и, возможно, найти применение и им.




Pис. 1. Реакция элиминирования силана с атома олова. (a) — первая стадия, после которой образуется станнилен, (b) — вторая стадия реакции. Обозначения: tBu — трет-бутил C(CH3)3, Me — метил CH3