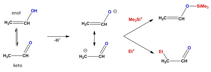
На рис. 1 изображена реакция отрыва протона (H+) от ацетальдегида с последующим добавлением электрофилов: либо кремниевого Ме3Si+ (буквами Ме обозначена метильная группа СН3), либо этильного Еt+ = СН3CН2+ (то есть углеродного). В роли самих электрофилов могут выступать, например, хлорид Ме3SiCl и иодид ЕtI, но для задачи это не важно.

В левой части уравнения нарисованы две молекулы, присутствующие в растворе одновременно в пропорции, связанной с их относительной стабильностью: одна молекула превращается в другую и обратно. Это пример химического равновесия, в данном частном случае — кето-енольная таутомерия. Tаутомерия — явление обратимой изомерии, при которой два или более изомера легко переходят друг в друга.
После отрыва протона и добавления электрофила происходит на первый взгляд нечто странное: несмотря на то, что изначально в растворе присутствовали две молекулы, кремниевый катион «садится» исключительно на кислород, а углеродный — исключительно на углерод. Продуктов с этилом на кислороде или с кремнием на углероде в этой реакции не получается совсем. Надо заметить, что и в том, и в другом случае получившийся продукт — наиболее термодинамичeски стабильный из двух возможных (то есть при его получении выделяется наибольшее количество энергии). При этом, однако, можно синтезировать чуть менее термодинамически стабильные изомеры, но они в условиях реакции перестраиваться в более стабильные не будут (рис. 2), — таутомерия возможна только с протоном.

Рис. 2.
В химических реакциях достичь селективности (получить чистый продукт без примесей), как правило, довольно сложно. А особенно — если исходных веществ не одно, а целых два: в реакциях получаются все возможные продукты. Как же объяснить селективность реакции в данном случае?
Рассмотрите реакцию отрыва протона повнимательнее. Обратите внимание на то, что вертикальные стрелки слева и справа разные.
После отрыва протона остается электрон (обозначенный на схеме реакции минусом в кружочке). Чем поведение электронов сильно отличается от поведения протонов?
Рассмотрим повнимательнее этап отрыва протона (рис. 3).

Рис. 3.
Важно понять отличие левой части уравнения от его правой части. Слева изображены две реальные молекулы, они одновременно присутствуют в растворе, а их содержание в нем определяется их относительной стабильностью. Одна молекула превращается в другую и обратно — именно это схематически показано двумя противоположно направленными параллельными стрелками.
Теперь посмотрим на правую сторону уравнения: что происходит после отрыва протона. Вы вроде бы опять видите две молекулы, которые очень похожи на молекулы слева. Но на самом деле это одна молекула — енолат (enolate). В ней реакционно-способные электроны сидят одновременно и на кислороде, и на углероде, то есть «размазаны» между ними. Поэтому молекулу можно описать как суперпозицию двух состояний: в одном состоянии электрон у атома кислорода, в другом — у атома углерода. Eнолат изображают еще и в виде самой правой формулы на рис. 3, которая как раз и подчеркивает его двоякую природу. Этот анион — классический кот Шредингера в коробке: пока он не вступит в реакцию, он одновременно является и кетоном, и енолом. И так как мы имеем дело не с двумя разными молекулами, а с одной, то нет ничего необычного в том, что с разными реагентами она реагирует по-разному.
Тот, кто догадался до этого места, задачу решил.
Но можно пойти и дальше: подумать, откуда электрофил «знает», к какому атому ему присоединиться, чтобы получился наиболее стабильный продукт?
В растворе реагенты (енолат и электрофил) сталкиваются, в происходит взаимодействие электронной плотности на енолате с ее «отсутствием» на электрофиле. Получается переходное состояние с энергетическим максимумом, которое выглядит по-разному для разных электрофилов, потому что результат коллапсa суперпозиции (то есть открытия коробки с котом Шредингера) зависит от того, с чем енолат взаимодействует. Связь кремния с кислородом сильнее чем с углеродом, поэтому кремний будет ближе к кислороду уже в переходном состоянии, а углеродный электрофил будет ближе к углероду (и дальше от кислорода). Поэтому и продукты получатся соответствующие.
С явлением таутомерии связаны многие химико-технологические процессы, особенно в области синтеза лекарственных веществ и красителей. Очень важна роль таутомерии в биохимических процессах, протекающих в живых организмах. Например, при получении аденозинтрифосфата (АТФ) фосфориляцией аденозиндифосфата (АДФ).

Рис. 4.
АТФ — универсальный источник энергии для всех биохимических процессов. Показанная слева на рис. 4 молекула фосфоенолпирувата находится в енольной форме (то есть фосфат находится на кислороде). При переносе фосфата на АДФ, эта молекула спонтанно возвращается в более стабильную кето-форму. Получение фосфоенолпирувата катализируется ферментом енолазой в процессе гликолиза.
Реакции енолатов с электрофилами — важнейший метод селективного получения связей «углерод—углерод» и «кремний—кислород». Связь «углерод—углерод» — это основа органической химии, так что важность этой реакции тяжело недооценить. Что же касается кремниевых групп на атомах кислорода, то почти ни один мультистадийный органический синтез без них тоже не обходится (см., например, новость Связи кремний-водород можно каталитически хлорировать соляной кислотой без участия металлов, «Элементы», 18.01.2018). Если на молекуле есть несколько активных групп (которые легко вступают в реакции), можно одну из них селективно (не затрагивая другие) заблокировать кремниевым «щитом» с помощью соответствующего хлоросилана, затем провести желаемые реакции с другими реактивными группами, после чего снять кремниевую защиту, освободив защищенную группу для дальнейших реакций. Снимается кремниевая защитная группа довольно легко. При этом не затрагиваются другие части молекулы, поэтому такая защита очень популярна.
На рис. 5 показан пример такой реакции. Группу ОН защищают триметилкремниевым «щитом» (TMS). Затем проводят реакцию на другом конце молекулы, замещая бром на органическую группу с ацетиленом (тройной связью «углерод—углерод») литиевым реагентом, а потом снимают кремниевый «щит» фторированием. Связь «фтор—кремний» сильнее чем связь «кислород—кремний», поэтому снятие защиты проходит легко. Без защиты на группе ОН литиевый реагент прореагировал бы в первую очередь именно с ней. Молекула с ацетиленом может в дальнейшем использоваться, например, для получения более крупных молекул (лекарств, пестицидов, полимеров, и т. д.) с помощью методов так называемой «клик» химии (см., например, aзид-алкиновое циклоприсоединение).

Рис. 5.
После отрыва протона у кетона/енола получается реагент (енолят), поведение которого объясняется теорией резонанса. Теория резонанса — теория электронного строения химических соединений, в соответствии с которой распределение электронов в молекулах является комбинацией (резонансом) структур с различной конфигурацией ковалентных связей. Иными словами, молекулярная структура описывается не одной возможной структурной формулой, а сочетанием (резонансом) всех альтернативных структур. Теория резонанса — это способ посредством химической терминологии и классических структурных формул визуализировать математическую процедуру построения приближенной волновой функции сложной молекулы.
Теория резонанса была предложена Вернером Гейзенбергом в 1926 году. Почти сразу на нее обратил внимание Лайнус Полинг, который применил ее к описанию электронной структуры молекул в 1928 году. Свои результаты он описал в серии публикаций, вышедших в начале 1930-х годов (см., например, статью L. Pauling, 1931. The Nature of the Chemical Bond. Application of Results Obtained from the Quantum Mechanics and from a Theory of Paramagnetic Susceptibility to the Structure of Molecules). Эти работы принесли Полингу в 1954-м году Нобелевскую премию по химии за исследования природы химической связи.
В послевоенном СССР теория резонанса стала объектом гонения в рамках идеологических кампаний. Ее объявили чуждой диалектическому материализму и обвинили в разных грехах против советского строя. Гонения на теорию резонанса иногда называют «лысенковщиной в химии». Химики, однако, пострадали меньше генетиков. Им удавaлось оставаться ниже света прожекторов репрессивной машины с помощью использования других терминов вместо «резонансa» (например, «гибридизации»). Подробнее эти события изложены, например, здесь.
За прошедшее время теория резонансa доказала свою полную научную состоятельность, и с ее помощью сейчас изучаются и объясняются многие химические и биологические процессы.




Рис. 1.