Сопоставление данных по поведению и охранному статусу 8640 видов птиц подтвердило гипотезу о том, что поведенческая пластичность (способность подстраивать свое поведение под меняющиеся условия среды) снижает риск вымирания вида в условиях антропогенного кризиса. Для видов, находящихся на грани вымирания, характерна минимальная частота поведенческих инноваций, в то время как виды, склонные к изобретательству, успешнее приспосабливаются к антропогенным изменениям среды. К факторам, снижающим риск вымирания у птиц, относятся также быстрое размножение, малый размер, способность жить в разнообразных местообитаниях и питаться разными кормами.
Человеческая деятельность, ведущая к разрушению естественных местообитаний, является основной причиной вымирания видов в наши дни. Однако риск вымирания зависит не только от степени антропогенного воздействия, но и от свойств вида. Например, было показано, что уязвимость видов птиц растет с увеличением размера тела и снижением плодовитости: под угрозой чаще оказываются крупные, медленно размножающиеся виды (P. M. Bennett, I. P. F. Owens, 1997. Variation in extinction risk among birds: chance or evolutionary predisposition?). К факторам, повышающим риск оказаться в списке угрожаемых видов, также относятся высокий трофический уровень, низкая плотность популяции и малая площадь ареала (A. Purvis et al., 2000. Predicting extinction risk in declining species).
Предполагается, что одним из факторов, снижающих риск вымирания вида в условиях антропогенного кризиса, может быть поведенческая пластичность — умение подстраивать свое поведение под меняющиеся условия среды. Эту идею иногда называют «гипотезой когнитивного буфера» (D. Sol, 2009. Revisiting the cognitive buffer hypothesis for the evolution of large brains). У нее есть косвенные подтверждения (см., например: T. S. Fristoe et al., 2017. Big brains stabilize populations and facilitate colonization of variable habitats in birds), однако есть и данные, которые плохо с ней согласуются. Например, многие приматы, попугаи и китообразные находятся под угрозой вымирания несмотря на исключительно высокую поведенческую пластичность и сообразительность.
Биологи из Канады, Испании и Швеции попытались разобраться в этой проблеме, сопоставив два массива данных по птицам. Первый массив — это Красная книга Международного союза охрана природы (The IUCN Red List of Threatened Species Version). В ней для каждого вида указан его охранный статус по пятибалльной шкале: от «Least Concern» (находится под наименьшей угрозой) до «Critically Endangered» (в критической опасности). Есть еще виды «полностью вымершие», «вымершие в дикой природе» и те, по которым недостаточно данных, но они в обсуждаемой работе не учитывались (общее число учтенных видов — 8641).
Второй массив — это база данных по поведенческим инновациям у птиц, которую начали собирать канадские орнитологи более 10 лет назад (S. E. Overington et al., 2009. Technical innovations drive the relationship between innovativeness and residual brain size in birds). База пополняется путем тщательного просмотра 204 орнитологических журналов начиная с 1960 года. В общей сложности удалось собрать более 3800 записей о новых (не наблюдавшихся ранее) вариантах пищевого поведения, которые были замечены у 1248 видов птиц. Учтенные поведенческие инновации делятся на «потребительские» (consumer innovations) и «технические» (technical innovations). В первую категорию попадают случаи, когда птицы включили в свой рацион новый пищевой объект, во вторую — применение новых способов добычи или обработки пищи. Например, в Бразилии в 2017 году было зарегистрировано поедание воробьев большими белыми цаплями, в 2013 году в Индии снежные грифы, обычно питающиеся падалью, были замечены за поеданием сосновых иголок (это примеры «потребительских инноваций»), а в Новой Зеландии в 2013 году было описано необычное поведение больших бакланов, которые научились следовать за паромами, выхватывая из воды дезориентированных корабельными винтами рыбешек («техническая инновация»).
Данные обрабатывались сложными статистическими методами, позволяющими разделить влияние отдельных факторов на охранный статус (риск вымирания). При этом делались необходимые поправки на филогению (два вида могут быть сходны по какому-то признаку не потому, что на них действуют одинаковые факторы, а просто в силу родства, то есть могут унаследовать этот признак от общего предка), исследовательское усилие (понятно, что если за данным видом птиц наблюдают чаще, чем за другими, то и количество замеченных инноваций, при прочих равных условиях, будет больше), а также степень антропогенного воздействия в регионе, где встречается вид.
Полученные результаты хорошо согласуются с гипотезой о том, что поведенческая пластичность снижает риск вымирания.
Частота инноваций коррелирует с охранным статусом: чем меньше опасений вызывает судьба вида, тем в среднем чаще его представители изобретают новые варианты поведения (рис. 2, левый график). Кроме того, частота инноваций связана с популяционным трендом: виды, численность которых растет, в среднем изобретательнее тех, чья численность снижается (рис. 2, правый график).

Рис. 2. Связь количества поведенческих инноваций (Innovation rate, по вертикальной оси) с риском вымирания (левый график, extinction risk) и популяционным трендом (правый график, Population trend). Риск вымирания оценивается по охранному статусу в Красной книге (LC — вызывающий наименьшие опасения, NT — близкий к уязвимому положению, VU — уязвимый, EN — вымирающий, CR — находящийся на грани исчезновения). Популяционные тренды (восходящий, стабильный, убывающий) для каждого вида были тоже взяты из Международной Красной книги. В данном случае учитывались только виды, у которых была замечена хотя бы одна инновация. Рисунок из обсуждаемой статьи в Nature Ecology & Evolution
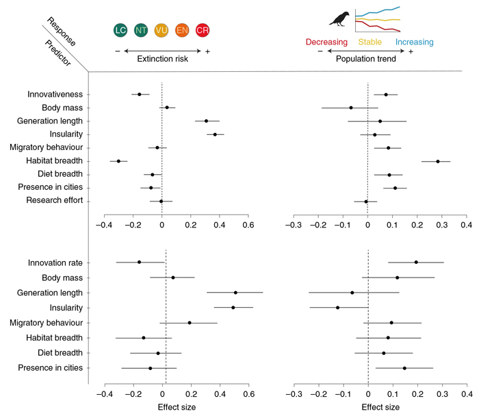
Авторы также оценили индивидуальное влияние нескольких факторов на риск вымирания и популяционный тренд при помощи двух статистических моделей, в одной из которых изобретательность рассматривалась как бинарный признак (innovativeness; инноваций нет — 0, инновации есть — 1), а в другой — как обычный количественный признак (innovation rate), причем во втором случае учитывались только виды, для которых зарегистрирована хотя бы одна инновация. Результаты в обоих случаях получились похожие (рис. 3).
 
    
Рис. 3. Сила влияния (Effect size) различных факторов на риск вымирания (левые графики) и популяционный тренд (правые графики). Положительное влияние означает, что данный фактор повышает риск вымирания (или вероятность того, что популяционный тренд будет положительным). Факторы: Innovativeness — способность к инновациям (бинарный признак: есть или нет), Body mass — масса тела, Generation length — продолжительность поколения, Insularity — обитание на островах (а не на материке), Migratory behaviour — миграционное поведение, Habitat breadth — разнообразие местообитаний, Diet breadth — разнообразие диеты, Presence in cities — присутствие в городах, Research effort — исследовательское усилие, Innovation rate — частота инноваций (для видов, у которых была замечена хотя бы одна). Рисунок из обсуждаемой статьи в Nature Ecology & Evolution
Рисунок показывает, от каких характеристик сильнее всего зависит в наши дни судьба вида птиц. Чтобы жить долго и счастливо в условиях антропогенного кризиса, желательно быть сообразительной небольшой птичкой с быстрой сменой поколений, жить на материке (а не на острове), поменьше привередничать в выборе местообитаний и кормовых объектов и уметь выживать в городах. Принципиальной разницы между «потребительскими» и «техническими» инновациями авторы не обнаружили: оба типа инноваций примерно в равной степени снижают риск вымирания.
Дополнительные расчеты показали, что изобретательность, по-видимому, хорошо защищает птиц от угроз, связанных с изменением местообитаний, но хуже — от других невзгод, таких как чрезмерный промысел и засилье инвазивных видов. Очевидно, есть вещи, против которых птичья изобретательность бессильна. Возможно, это отчасти дает ответ на вопрос, сформулированный выше: почему на грани вымирания оказались многие в высшей степени сообразительные и изобретательные виды обезьян, попугаев и китообразных. Во многих случаях эти виды страдают (или в недавнем прошлом страдали) не столько от трансформации местообитаний, сколько от чрезмерной эксплуатации человеком. Впрочем, здесь надо учитывать еще и то, что в обсуждаемой работе рассматривались только инновации, связанные с добычей пропитания. Логично, что такие инновации помогают справиться с нехваткой пищи, возникшей, например, из-за вырубки лесов, но вряд ли защитят от браконьеров.
Еще один возможный ответ заключается в том, что сообразительность, изобретательность и способность заимствовать полезные навыки у сородичей (социальное обучение, без которого изобретения будут быстро теряться) плохо сочетаются с коротким жизненным циклом и быстрым размножением. Самые сообразительные птицы, как правило, живут долго и размножаются медленно. Для приматов это тоже справедливо, во многом потому, что для выращивания крупного мозга и наполнения его ценными знаниями нужно много времени, калорий и общения. Между тем для дикого животного в быстро меняющейся, непредсказуемой антропогенной среде делать ставку на долгую жизнь, позднее размножение и длительное воспитание детенышей — проигрышная стратегия. Наоборот, в таких условиях нужно размножаться быстрее, чтобы успевать компенсировать резкие спады численности, вызванные внезапными колебаниями условий (именно поэтому медленная смена поколений увеличивает риск вымирания, как показано на рис. 3). Если же вы вкладываете все силы в ускоренное размножение, то жизнь ваша вряд ли будет очень долгой (см.: Antagonistic pleiotropy hypothesis), вы мало чему успеете научиться сами, да и учить птенцов будет недосуг. Так что, хотя антропогенный кризис и дает некоторое преимущество сообразительным видам птиц, на быструю эволюцию пернатых в сторону поумнения и создания сложной культуры всё же вряд ли стоит рассчитывать.
Источник: S. Ducatez, D. Sol, F. Sayol, L. Lefebvre. Behavioural plasticity is associated with reduced extinction risk in birds // Nature Ecology & Evolution. 2020. DOI: 10.1038/s41559-020-1168-8.
См. также:
1) Чтобы выжить в городе, птицам нужны большие мозги, «Элементы», 10.10.2011.
2) Культурные традиции у птиц основаны на социальном обучении и конформизме, «Элементы», 08.12.2014.
виды, склонные к изобретательству, успешнее приспосабливаются к антропогенным изменениям среды. К факторам, снижающим риск вымирания относятся также быстрое размножение, малый размер, способность жить в разнообразных местообитаниях и питаться разными кормами."Химический порошок, бодрящий электрошок,















Рис. 1. Примеры животных, которым пластичность поведения помогает выживать в меняющейся среде. Бутылконосые дельфины (Tursiops aduncus), использующие губки для добычи пропитания (M. Krützen et al., 2014. Cultural transmission of tool use by Indo-Pacific bottlenose dolphins (Tursiops sp.) provides access to a novel foraging niche), лучше пережили аномальную жару 2011 года по сравнению с cородичами, не обладавшими этим навыком (S. Wild et al., 2019. Long-term decline in survival and reproduction of dolphins following a marine heatwave). Серые юнко (Junco hyemalis) прижились в городе Сан-Диего (Калифорния) благодаря тому, что сумели отказаться от векового обычая гнездиться на земле (P. Yeh et al., 2007. Alternative nesting behaviours following colonisation of a novel environment by a passerine bird). Ящерицы Anolis sagrei в ходе эволюционного эксперимента приспособились к присутствию опасных хищников (змей), научившись меньше времени проводить на земле и больше — на деревьях (O. Lapiedra et al., 2018. Predator-driven natural selection on risk-taking behavior in anole lizards). Изображение из обсуждаемой статьи в Nature Ecology & Evolution