Восточноафриканские верветки издают три разных звуковых сигнала при виде леопарда, змеи и орла. Каждый сигнал запускает свою программу защитных действий. Предупрежденная сородичем о леопарде, верветка залезает на дерево, сигнал «змея» побуждает ее встать и оглядеться, сигнал «воздушная тревога» — вглядываться в небо или бежать в укрытие. У зеленых мартышек, обитающих в Западной Африке, есть похожие сигналы для леопарда и змеи, но до сих пор не был зарегистрирован сигнал, означающий угрозу с воздуха. Эксперименты, проведенные германскими приматологами в национальном парке Ниоколо-Коба в Сенегале, показали, что зеленые мартышки всё же обладают врожденной способностью подавать сигнал воздушной тревоги, похожий на соответствующий сигнал верветок. Подходящим стимулом для этого оказался жужжащий над головой дрон, хотя ни местные хищные птицы, ни сидящая на дереве модель орла не побуждают зеленых мартышек издавать какие-либо специфические звуки. Исследование показало врожденный характер и эволюционную консервативность сигналов об опасности, характерных для некоторых обезьян.
Для некоторых видов мартышкообразных обезьян (Cercopithecidae, см. Old World monkey) показано наличие дифференцированных звуковых сигналов, обозначающих разные виды опасностей (см.: Мартышки произносят фразы из двух слов, «Элементы», 21.05.2006). Больше всего данных собрано по трем сигналам («леопард», «змея» и «орел»), характерным для обитающих в Восточной Африке верветок Chlorocebus pygerythrus (рис. 1). У верветок есть и другие звуковые сигналы, но они хуже изучены. Верветки реагируют на каждый из трех сигналов специфическим и, по-видимому, адаптивным образом. В ответ на сигнал «леопард» они бегут к деревьям и залезают на них, сигнал «змея» побуждает их встать вертикально и осмотреться, сигнал «орел» — посмотреть вверх или бежать в укрытие (R. M. Seyfarth, et al., 1980. Vervet monkey alarm calls: Semantic communication in a free-ranging primate).
Многолетние исследования показали, что сигналы эти в основном являются врожденными, однако для их правильного применения и интерпретации юные обезьянки все же нуждаются в некоторой практике и даже в инструктаже со стороны взрослых. Детеныши часто ошибаются: например, они могут подать сигнал «орел» при виде падающего листа, а сигнал «леопард» — при виде слона. Взрослые, по-видимому, поощряют правильное использование сигналов и агрессивно реагируют на ошибочное, что способствует скорейшему усвоению детенышем правильного «словоупотребления» (T. M. Caro, M. D. Hauser, 1992. Is There Teaching in Nonhuman Animals?).
Чтобы разобраться в происхождении и эволюции тревожных сигналов обезьян, исследователи из Германского приматологического центра в Гёттингене (German Primate Center) изучают звуковую коммуникацию у зеленых мартышек Chlorocebus sabaeus. Этот вид родственен верветкам, но обитает в другом регионе. Исследования ведутся в национальном парке Ниоколо-Коба на юго-востоке Сенегала.
Многолетние наблюдения за естественным поведением обезьян и эксперименты с моделями леопарда, змеи и орла показали, что у зеленых мартышек есть сигналы «леопард» и «змея», похожие на соответствующие сигналы верветок (T. Price, J. Fischer, 2014. Meaning attribution in the West African green monkey: influence of call type and context).
При этом сигнал «орёл» зарегистрировать не удалось. Ни местные хищные птицы, ни модель орла, посаженная на дерево, никак не комментируются зелеными мартышками. Возможно, это связано с тем, что охотящийся на верветок боевой орел (Polemaetus bellicosus) редко встречается в Ниоколо-Коба, а другие пернатые хищники, судя по всему, не представляют для мартышек серьезной опасности.
Новое исследование германских приматологов, результаты которого опубликованы 27 мая в журнале Nature Ecology & Evolution, показало, что у зеленых мартышек все-таки есть сигнал «орел», хоть они им и не пользуются в повседневной жизни. Есть у них и адекватная поведенческая реакция на угрозу с воздуха, опять-таки не используемая в обычной жизни.
Нужно было только подобрать правильный триггер. Им оказался квадрокоптер модели Yuneec Typhoon Q500 4K. Пока один исследователь управлял дроном, заставляя его летать кругами над группой мартышек на высоте около 60 м, двое других записывали издаваемые мартышками звуки при помощи высокочувствительных направленных микрофонов.
Эти звуки сильно отличались от записанных ранее сигналов «леопард» и «змея». Отличалась и поведенческая реакция: многие животные при виде дрона начинали прятаться, как это делают верветки при виде орла.
В общей сложности удалось записать 3018 звуковых сигналов, изданных при виде дрона 80 мартышками. Эти звуки сравнивались с другими сигналами зеленых мартышек и верветок по 12 признакам, отражающим длительность, распределение частот и амплитуд и другие характеристики сигнала.
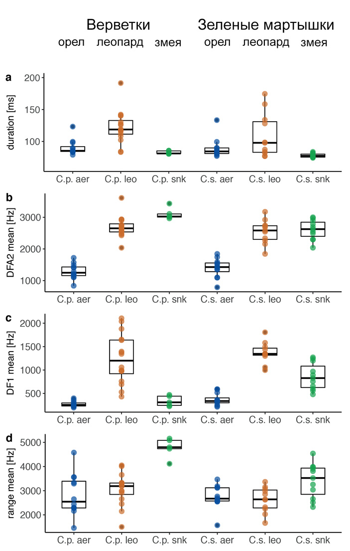
Рис. 2. Сравнение тревожных сигналов самок верветок и зеленых мартышек по некоторым количественным характеристикам. У самцов картина в целом такая же, но чуть более размытая. a — продолжительность в миллисекундах, b, c — характеристики частотного спектра («центральная частота» и «доминирующая частота»), показывающие, что в сигнале воздушной тревоги больше низких нот по сравнению с сигналами «леопард» и «змея», d — диапазон частот (разница между самой высокой и самой низкой частотой). Рисунок из дополнительных материалов к обсуждаемой статье в Nature Ecology & Evolution
Расчеты подтвердили, что сигнал, издаваемый зелеными мартышками при виде квадрокоптера, отличается от сигналов «леопард» и «змея» и очень похож на сигнал «орел», характерный для верветок (рис. 2).
Исследователи также проверили акустическую память зеленых мартышек, проигрывая звук квадрокоптера из динамика, расположенного на земле. Тестировались животные, видевшие до этого квадрокоптер от одного до трех раз. Оказалось, что даже если мартышка видела квадрокоптер лишь однажды, она запоминала, как он жужжит, и начинала вглядываться в небо при его звуке (хотя звук шел не сверху, а сбоку). Некоторые животные прятались, а кое-кто издавал сигнал воздушной тревоги. Ничего подобного не наблюдалось при проигрывании контрольных звуков (жужжание пчел, пение цикад, шум генератора).
Следовало бы также проверить реакцию зеленых мартышек на запись их собственного сигнала «дрон», но авторы, по-видимому, еще не успели этого сделать.
Таким образом, зеленые мартышки, практически не сталкивающиеся в своей жизни с реальными угрозами с воздуха и не боящиеся местных хищных птиц, при виде незнакомого летающего объекта издают звуковые сигналы, похожие на сигнал «воздушной тревоги» верветок (для которых орлы представляют реальную угрозу). Ясно, что данное поведение нельзя объяснить социальным обучением. Это не культурная традиция, а врожденная поведенческая реакция, скорее всего, унаследованная от общих предков с верветками. Из этого следует, что специфические тревожные сигналы у мартышек не только являются в основном врожденными (вокальное обучение не играет большой роли в их формировании), но и отличаются высокой эволюционной консервативностью (медленно меняются в ходе эволюции).
Исследование также показало, что мартышки легко запоминают новые звуки и адекватно интерпретируют их смысл (вспомним, что мартышки, один-единственный раз видевшие квадрокоптер, всматривались в небо и прятались, заслышав из динамика знакомое жужжание). Известно также, что мартышкообразные обезьяны способны правильно интерпретировать сигналы тревоги, подаваемые другими животными, хоть и не совсем понятно, в какой мере эта способность врожденная, а в какой — выученная (M. D. Hauser, 1988. How Infant Vervet Monkeys Learn to Recognize Starling Alarm Calls: The Role of Experience). По-видимому, в эволюции приматов развитие хорошей акустической памяти и умения интерпретировать разнообразные сигналы предшествовало развитию сложного и пластичного вокального репертуара.
Источник: Franziska Wegdell, Kurt Hammerschmidt, Julia Fischer. Conserved alarm calls but rapid auditory learning in monkey responses to novel flying objects // Nature Ecology & Evolution. 2019. DOI: 10.1038/s41559-019-0903-5.
См. также:
1) Мартышки произносят фразы из двух слов, «Элементы», 21.05.2006.
2) Светлана Бурлак. Как люди смогли договориться, что каким словом называть?
чем жужжащий предмет, ничем не напоминающий орла и птицу вообще, пробуждает у мартышек "генетическую память" об опасности орлаОчевидно, что месторасположение дрона совпадает с месторасположением хищной птицы. Вроде бы это хорошо раскрыто "виде падающего листа".
чем жужжащий предмет, ничем не напоминающий орла и птицу вообще, пробуждает у мартышек "генетическую память" об опасности орла? Да еще и заставляет заговорить определенными звуками из "памяти предков"?Ну это просто: в далеком прошлом в этих местах водились гигантские боевые жуки, наводящие ужас на мартышек. Но со временем в ходе длительных кровопролитных воздушных войн между жуками и боевыми орлами жуки были полностью истреблены, а численность орлов упала до критического уровня, не опасного для мартышек. Более того, орлы стали пробуждать в мартышках чувство симпатии и успокоения (ибо враг моего врага мне друг), что способствовало быстрому угасанию рефлекса воздушной тревоги при виде летающих объектов. Однако, след остался и актуализировался спустя тысячи лет экспериментом с жужжащими дронами :)
Уровень исследования и аргументации просто поражает. Надо было объяснить покупку дрона, что ли....Лингвисты определённого направления, а именно, те, которые идут от Н. Хомского утверждают:
Детеныши часто ошибаются: например, они могут подать сигнал «орел» при виде падающего листа, а сигнал «леопард» — при виде слона. Взрослые, по-видимому, поощряют правильное использование сигналов и агрессивно реагируют на ошибочное, что способствует скорейшему усвоению детенышем правильного «словоупотребления»
Исследование также показало, что мартышки легко запоминают новые звуки и адекватно интерпретируют их смысл (вспомним, что мартышки, один-единственный раз видевшие квадрокоптер, всматривались в небо и прятались, заслышав из динамика знакомое жужжание). Известно также, что мартышкообразные обезьяны способны правильно интерпретировать сигналы тревоги, подаваемые другими животными, хоть и не совсем понятно, в какой мере эта способность врожденная, а в какой— выученнаяНеобратимость сенситивного периода: дети-Маугли - если упустить данный самой природой ШАНС ОБУЧЕНИЯ, то процессы развития могут исказиться или вообще стать необратимыми, проходить с невосполнимыми потерями.














Рис. 1. Верветки (слева) живут в Восточной Африке и подают три разных звуковых сигнала при виде леопарда, змеи и орла. Зеленые мартышки (справа) живут в Западной Африке. У них есть сигналы «леопард» и «змея», но, как считалось до сих пор, нет сигнала «орёл». Фото с сайтов wikimedia.org и igoterra.com