Ахиллес стоит в 1 метре от неподвижной стенки, к которой одним концом прикреплена резиновая лента (резину считаем идеальной, то есть способной неограниченно растягиваться). Другой конец ленты Ахиллес держит в руке. Возле стенки на ленте сидит черепаха. В один момент времени оба они начинают двигаться: Ахиллес бежит от стенки со скоростью 10 м/сек и растягивает ленту, а черепаха ползет в его сторону по ленте с собственной скоростью 10 см/сек. Догонит ли когда-нибудь черепаха Ахиллеса? Если вы считаете, что ответ на этот вопрос положительный, то попробуйте оценить время, которое потребуется черепахе.
К решению задачи можно подойти двумя немного разными способами. Во-первых, можно вычислить скорость черепахи относительно стенки в зависимости от времени. Если в какой-то момент её скорость будет больше скорости Ахиллеса (которая не меняется), то ясно, что она его догонит. Во-вторых, можно вычислить, как меняется доля пройденного черепахой пути в зависимости от времени.
Сразу договоримся, что считаем и Ахиллеса, и черепаху точками.
На первый взгляд может показаться, что у черепахи нет никаких шансов догнать Ахиллеса — ведь он так быстро от нее убегает! Но если подумать, то расклад сил уже не выглядит столь очевидным. Дело в том, что лента, на которой сидит черепаха, постоянно растягивается. Поэтому даже если черепаха в какой-то момент вдруг остановится, чтобы отдохнуть, она по-прежнему будет удаляться от стены. Но наша черепаха неугомонная, она без устали ползет за убегающим героем, и значит, всё время уменьшает долю ленты, которая отделяет её от цели. Весь вопрос в том, насколько быстро она это делает.
Важно понимать, что ответ на вопрос, догонит ли черепаха Ахиллеса, еще не получен. Рассмотрим ситуацию, когда оставшаяся доля ленты всё время сокращается, но черепаха не догонит Ахиллеса. Пусть она изначально сидит в середине ленты (дадим ей фору) и за каждую секунду преодолевает ровно половину оставшейся части ленты (все измерения делаются в долях от длины ленты, которую поэтому можно условно считать равной 1, несмотря на то, что относительно «неподвижного наблюдателя» лента всё время удлиняется). Через секунду черепаха будет на отметке 3/4 текущей длины ленты (которая будет в тот момент равна 11 метрам), еще через секунду — на 7/8, и т. д. Видно, что черепаха неуклонно приближается к концу ленты — через n секунд ей останется преодолеть всего
часть ленты, это совсем немного (например, через одну минуту длина ленты будет равна 601 метру, а черепахе останется проползти
от этого расстояния, что меньше одного нанометра). Проблема в том, что
меньше 1, то есть ни в какой конечный момент времени черепаха не достигнет конца ленты.
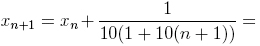
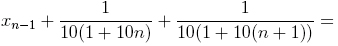
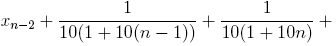
Теперь всё-таки посчитаем, что же происходит в нашей задаче. Будем фиксировать положение черепахи на ленте каждую секунду. (Можно считать, что раз в секунду Ахиллес сдвигается на 10 метров, удлиняя ленту, а черепаха вслед за этим проползает свои 10 сантиметров. Такое допущение не изменяет сути происходящего — мы как будто наблюдаем за процессом по фотографиям, сделанным через секундные промежутки времени.) Пусть через n секунд после начала движения черепаха уже продвинулась на xn (напомним, что мы меряем её прогресс в долях от 1 — полной длины ленты; в самом начале x0 = 0). Как изменится её положение через секунду? Сначала лента растянется на 10 метров и её длина составит 1 + 10(n + 1) метров. При этом доля пройденного черепахой пути не изменится, ведь она тоже двигается, пока растягивается лента. После этого черепаха проползет свои 10 сантиметров, что составляет
от длины ленты. Получаем зависимость
. Можно получить и явную формулу для xn+1. Для этого нужно последовательно в этой формуле переходить ко всё более ранним членам последовательности. Вот что получится:
Более компактно эту сумму можно записать так:
. Нам нужно выяснить, может ли эта сумма при больших n перевалить через 1, и если может, то приблизительно при каком n это произойдёт. Прежде чем читать дальше, проверьте свою интуицию: сможет при каком-нибудь n xn быть больше 1? (Первое слагаемое в сумме равно 1/110, второе равно 1/210 и т. д.)
Итак,
, и нам нужно понять, как меняется эта сумма с увеличением n. Чтобы дальше было удобнее считать, слегка изменим слагаемые в этой сумме. Уменьшим их, заменив 1 на 10:
. Естественно, вся сумма при этом уменьшается. Но если про эту новую сумму получится выяснить, что она при каком-то n окажется больше 1, то и исходная тоже будет больше 1 при этих n. Поэтому исследуем x'n. Перепишем эту сумму ещё раз, отбросив последнее слагаемое (это её еще немного уменьшит):
. Если умножить это равенство на 100 и добавить 1 к обеим частям, то в правой части равенства получится n-я частичная сумма гармонического ряда:
. Этот ряд расходится — какое бы большое число вы не задумали, при достаточно больших n частичные суммы этого ряда будут больше вашего числа. В частности, существует такое n, что сумма
будет больше 101, то есть 100x'n + 1 > 101, а это означает, что x'n > 1 и, соответственно, xn > 1.
Итак, черепаха догонит Ахиллеса. Проблема лишь в том, что это произойдет очень нескоро. По формуле Эйлера
≈ ln n + γ, здесь ln — натуральный логарифм (по основанию e), а γ ≈ 0,5772... — постоянная Эйлера–Маскерони. Поэтому черепахе потребуется порядка e100 ≈ 1044 секунд, чтобы догнать Ахиллеса (на самом деле, чуть меньше из-за наших оценок, но это не внесет сколько-нибудь существенной погрешности). Для сравнения: по современным оценкам возраст Вселенной примерно равен 4,3·1017 секунд.
В решении мы встретились с двумя рядами. Первый — сумма чисел, обратных к степеням двойки, — сходится к 1. Вторым был гармонический ряд. Про него, наверное, слышали все, кто проходил в вузе высшую математику или начала математического анализа. Расходимость гармонического ряда доказывается несложно. Как мы уже видели, ряд расходится очень медленно: чтобы сумма была больше 100, нужно взять очень большое число слагаемых. Это связано с тем, что гармонический ряд занимает «пограничное» место по сходимости. Если возвести числа в знаменателях входящих в ряд дробей в любую степень больше 1, то такой ряд уже будет сходится. Например, ряд
сходится к какому-то (большому) числу. А ряд
сходится к числу
. Подробнее обо всём этом лучше почитать хотя бы в Википедии.
На расходимости гармонического ряда основана еще одна замечательная задача, подробно познакомиться с красивым изложением которой можно на сайте «Математические этюды». Оказывается, если иметь достаточный (очень большой!) запас кирпичей, то можно построить лестницу сколь угодно большой длины, в которой каждая ступенька — ровно один кирпич.
С подобной задачей про резиновую ленту связана интересная история. Она взята из заметки академика Л. Б. Окуня «Три эпизода», посвященной его встречам с А. Д. Сахаровым (опубликовано в журнале «Природа», №8, 1990). Вот этот отрывок:
«21 июля 1976 г. Ресторан «Арагви» в Тбилиси, где происходит торжественный ужин участников Международной конференции по физике высоких энергий (XVIII в серии так называемых Рочестерских конференций). Много длинных столов. За одним из них я оказался вблизи от Андрея Дмитриевича. Общий разговор стохастически менял направление. В какой-то момент заговорили о задачах на сообразительность. И тут я предложил Андрею Дмитриевичу задачу о жучке на идеальной резине. Суть её такова.
Резиновый шнур длиной 1 км одним концом прикреплен к стене, другой у вас в руке. Жучок начинает ползти по шнуру от стены к вам со скоростью 1 см/с. Когда он проползет первый сантиметр, вы удлиняете резину на 1 км, когда он проползает второй сантиметр — ещё на 1 км, и так далее. Спрашивается: доползет ли жучок до вас, и если доползет, то за какое время?
И до, и после этого вечера я давал эту задачу разным людям. Одним для её решения требовалось около часа, другим сутки, третьи оставались твердо убеждены, что жучок не доползет, а вопрос о времени задается, чтобы навести на ложный след.
Андрей Дмитриевич переспросил условие задачи и попросил кусочек бумаги. Я дал ему свой пригласительный билет на банкет, и он тут же без всяких комментариев написал на обороте решение задачи. На всё ушло около минуты.»



