
Горячее тело может отдавать тепло своему окружению за счет разных видов теплопередачи. Если его обдувает воздух или омывает жидкость, теплоотдача идет в основном благодаря конвекции, а если в механическом контакте с ним находится твердое тело, то за счет теплопроводности. Но когда тело полностью изолировано вакуумным зазором от контакта с другими веществами, эти явления не работают, и тогда у тела остается только один способ отдавать тепло — через тепловое излучение.
Рассмотрим простой пример этого процесса (рис. 1). Две очень большие параллельные друг другу пластины находятся при разных температурах. Они разделены вакуумным зазором шириной d. Каждая из этих пластин испускает во все стороны тепловое излучение, но только поток тепла от горячей пластины больше, чем от холодной, в результате чего горячая пластина с течением времени отдает свое тепло холодной.
Мощность теплового потока для идеально черного тела выражается известным даже по школьному курсу законом Стефана–Больцмана (для реальных тел этот закон лишь дополняется численным коэффициентом черноты вещества). Его точный вид нам в этой задаче не потребуется; главное — обратить внимание на то, что мощность теплообмена между двумя пластинами не зависит от ширины зазора d (при условии, конечно, что расстояние между ними намного меньше их размера).
А теперь — необычный момент: оказывается, это выполняется не всегда. Если расстояние между пластинами меньше некоторой величины, теплообмен излучением начинает зависеть от d, и при том очень существенно. Подчеркнем, что две пластины по-прежнему разделены вакуумом и не касаются друг друга.
Объясните это явление. Оцените то расстояние, начиная с которого теплообмен между двумя пластинами начинает сильно зависеть от расстояния, и укажите приблизительный характер этой зависимости.
Просто глядя на закон Стефана–Больцмана или читая про него в общих чертах, эту задачу решить не получится. Для этого нужно понять физическую суть теплового излучения: за счет чего оно вообще возникает на микроскопическом уровне?
Интуитивно мы обычно связываем тепло с движением молекул. Скажем, при визуализации теплопроводности (неметаллических тел) мы представляем, как более быстрые молекулы в одной части материала начинают сильнее расталкивать более медленные.
Тепловое излучение уже не является атомным движением — это один из видов электромагнитного излучения. На шкале электромагнитных волн оно относится (для обычных температур) к среднему инфракрасному диапазону. Поэтому процесс испускания теплового излучения в своей физической основе похож на излучение радиоволн и микроволнового излучения; нужно только подумать, что именно в нагретом веществе испускает эти волны.
Дальше надо попробовать использовать эту аналогию, опираясь на общие понятия в радиотехнике или вспоминая бытовые приборы, принцип работы которых имеет кое-какое сходство с этим явлением.
Электромагнитные (ЭМ) волны излучаются движущимися зарядами. Для волн высоких частот, например в оптическом диапазоне, энергия отдельных фотонов достаточно велика, сравнима с энергиями возбужденных электронных уровней в атомах и молекулах. Такие фотоны обычно испускаются в электронных переходах отдельных атомов.
Источники менее энергетических фотонов уже не связаны с отдельными атомами, а, скорее, представляют собой микроскопические токи, которые возникают внутри нагретого вещества за счет флуктуаций зарядов. Эти токи не упорядочены, они постоянно и беспорядочно дергаются туда-сюда. Этим они отличаются от радио- или микроволновых устройств, которые испускают волны за счет скоординированного движения зарядов, как, например, это происходит в обычных антеннах. Таким образом, тепловое излучение — это тоже электромагнитный процесс, но только происходящий за счет хаотично флуктуирующих токов.
Теперь важный момент, касающийся электромагнитного поля. Движущиеся заряды создают в пространстве вокруг себя меняющиеся во времени электрическое и магнитное поля. Однако лишь небольшая доля этого переменного ЭМ-поля умудряется «оторваться» от источника и улететь прочь в виде настоящей ЭМ-волны. Намного большая часть поля — она называется «ближним полем» — продолжает «трястись» поблизости от зарядов (рис. 2). Ближнее поле существует в пространстве, оно обладает очень существенной энергией, просто оно быстро ослабевает с расстоянием и не улетает на макроскопические расстояния. Поэтому-то его не включают в понятие электромагнитного излучения.

Рис. 2. Схематическое изображение электромагнитного поля от колеблющихся зарядов: вблизи них существует сильное переменное ближнее поле, а в дальней области остается только ЭМ-излучение, оторвавшееся от источника
У переменного ЭМ-поля есть некий типичный размер пространственных изменений. Он определяет как длину волны улетающего вдаль ЭМ-излучения, так и то расстояние, начиная с которого ближнее поле начинает резко ослабляться. Поэтому по порядку величины можно считать, что для источника волн с длиной волны λ то расстояние, ближе которого ближнее поле начинает расти, тоже порядка λ.
Возможна даже такая ситуация, когда вообще никакая часть переменного ЭМ-поля не уходит в излучение. Этот эффект широко используется в быту, например в устройствах бесконтактной зарядки электроники и в индукционных электроплитках. Он в чём-то напоминает нашу задачу: кастрюля практически не будет чувствовать ЭМ-поле работающей индукционной плитки, пока ее не поставили прямо на поверхность.
Итак, как выглядит влияние ближнего поля в нашей задаче?
В заключение можно добавить еще такой взгляд на вещи. Ближнее поле тоже можно представить в виде ЭМ-волны, но только это волна, бегающая вдоль поверхности и затухающая при удалении от нее. Такие волны хорошо известны в оптике и радиотехнике и называются «эванесцентными». Например, при явлении полного внутреннего отражения световой луч, падающий изнутри стекла на границу его раздела с воздухом, полностью отражается обратно в стекло и не выходит наружу. Однако в процессе отражения он всё же чуть-чуть «вылезает» за пределы стекла в виде эванесцентной волны, но тут же вынужден вернуться обратно. Поэтому если к границе раздела на доли микрона поднести другое стекло, то луч частично будет в него переходить: два стекла входят в оптический контакт даже без механического соприкосновения. Такой «перескок» светового луча через область, где он нормально распространяться не может, называется туннельным эффектом. Он очень похож на явление туннелирования в квантовой механике, только в этом случае (так же, как и в нашей задаче) туннелируют фотоны.
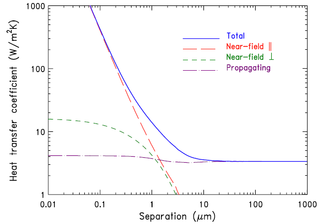
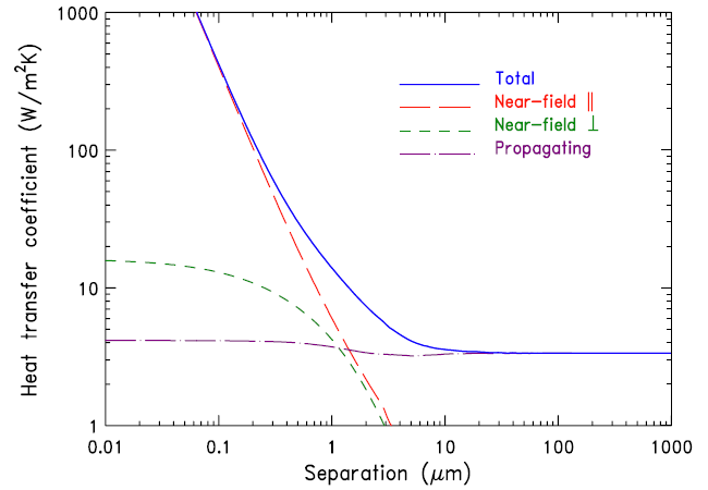
У описанного эффекта и его аналогов есть длинная и интересная история, которая продолжается и по сей день. Первая теория теплопередачи ближним полем была построена в 1971 году на основе более ранних разработок советского радиофизика С. М. Рытова, и в дальнейшем она неоднократно уточнялась и расширялась. На рис. 3 показано, что сегодняшняя теория предсказывает для этого явления.

Рис. 3. Теоретические предсказания для зависимости коэффициента теплопередачи между двумя пластинами от расстояния между ними. Фиолетовой линией показан вклад излучения, красной и зеленой — разные компоненты ближнего поля, сплошная синяя линия — их суммарный эффект. Изображение из статьи arxiv.org/abs/1103.2389
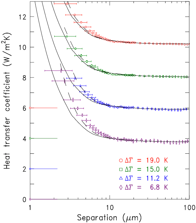
Экспериментально этот эффект был впервые надежно продемонстрирован еще в 1969 году, но до недавнего времени данные оставались на удивление неполными. Аккуратное систематическое измерение эффекта было опубликовано лишь в 2011 году; на рис. 4 приведены некоторые результаты этого эксперимента.

Рис. 4. Экспериментальные результаты измерения эффекта усиления теплопередачи в ближней зоне при нескольких разницах температур пластин. Изображение из статьи arxiv.org/abs/1103.2389
Не так давно физики смогли измерить этот эффект и на очень маленьких расстояниях вплоть до нанометровых масштабов (правда, уже не между двумя плоскими поверхностями, а между острием туннельного микроскопа и подложкой). На расстояниях меньше 10 нм полученные результаты начинали заметно расходиться с теоретическими предсказаниями (см. нашу новость Структура электромагнитных полей в веществе оказалась сложнее, чем считалось ранее за 2005 год).
Взаимодействие двух тел через тепловое ближнее поле имеет, среди прочего, и большое практическое значение для задач микро- и нанотехнологии. Манипулируя строением наноструктурных материалов и их электронными свойствами, можно дополнительно усиливать бесконтактную теплопередачу, что позволит, например, добиться исключительно эффективного охлаждения нагревающихся нанодеталей сложных систем. Кроме того, между близко расположенными телами возможно даже бесконтактное трение — немного необычное явление, на первый взгляд, но довольно естественное следствие электромагнитного «сцепления» двух нагретых тел за счет ближнего поля. Полностью удовлетворительная теория этого эффекта пока еще не построена. Желающим познакомиться поближе с этой областью можно порекомендовать подробный обзор А. И. Волокитина и Б. Перссона, опубликованный в УФН в 2007 году.




Рис. 1. Теплообмен излучением между двумя пластинами, разделенными вакуумной прослойкой, обычно не зависит от ширины зазора d. Однако при достаточно малом d процесс приобретает необычные черты