Ткани из растительных волокон (хлопковые, льняные) всегда мнутся после стирки, какой бы режим, даже самый деликатный, мы ни выбрали. Ткани из синтетических волокон (например, из полиэфира) вполне могут перенести деликатный режим стирки, не сминаясь и не образуя складок. Чтобы разгладить мятые хлопчатобумажные или льняные ткани, надо нагреть утюг до более высокой температуры, чем для разглаживания тканей из полиэфирных волокон. Предложите химическое объяснение различного отношения разных тканей к стирке и различных температурных режимов, используемых при их глажке.
Хотя в задаче и сформулировано два вопроса, ответ на оба эти вопроса можно найти, анализируя один и тот же набор факторов, который на языке химиков называется «фундаментальное соотношение структура-свойства».
Сравните строение полимеров, образующих волокна льняных или хлопчатобумажных тканей и волокна синтетических тканей. С каким веществом ткани всегда будут контактировать при стирке и полоскании, какой бы режим ни был бы подобран?
Идея, что горячим утюгом можно прожечь или расплавить полиэфирную ткань, отчасти верна, но, если бы дело было только в этом, у утюгов не было бы систем терморегуляции и их рабочая подошва нагревалась бы только до температуры, безопасной для полиэфирной ткани, при которой гладили бы любую ткань. Вопрос не в том, почему синтетические ткани мы можем разгладить относительно холодным утюгом, а, скорее, в том, почему для глажки тканей из растительных волокон утюг должен быть более горячим.
1. Образование складок на тканях и изготовленной из них одежде, что в результате их стирки, что в результате каких-либо других причин (например, образование «заломов» и складок в результате длительной носки) связано с тем, что макромолекулы, либо сегменты макромолекул полимеров, образующих волокна для изготовления тканей, смещаются друг относительно друга.
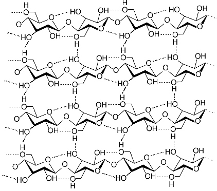
Волокна льняных и хлопчатобумажных тканей образует природный полимер — целлюлоза:

Благодаря наличию большого количества гидроксильных групп –ОН макромолекулы целлюлозы прочно связаны друг с другом водородными связями:

Полимеры, из которых изготавливают синтетические ткани, представляют собой сложные полиэфиры, например — полиэтилентерефталат:

Структура полиэфиров не дает их макромолекулам возможности образовывать водородные связи, для формирования которых необходимо наличие в строении вещества атома водорода, связанного с атомом, обладающим значительной электроотрицательностью (в молекулах полимеров водородная связь между макромолекулами может образовываться при наличии в структуре группировок –ОН и –NH/–NH2), поэтому цепочки полиэфиров связываются друг с другом за счет более слабых межмолекулярных взаимодействий (главным образом, основанных на том, что положительно заряженный атом углерода группы С=O притягивается к отрицательно заряженному атому кислорода той же группы — это называется диполь-дипольное взаимодействие).
2. Сами по себе межмолекулярные связи в сложных полиэфирах слабее, чем водородные связи в целлюлозе, но их много, и они прочно удерживают молекулы полимера, затрудняя их смещение друг относительно друга. Именно поэтому мягкого воздействия, которому ткани подвергаются при некоторых режимах деликатной стирки (низкая температура, умеренная механическая активация), в ряде случаев оказывается недостаточно, чтобы разорвать межмолекулярные связи между цепочками полимера — чтобы такие цепочки переместились и на ткани появились морщины или заломы. Поэтому одежду из такой ткани обычно можно надеть сразу после сушки, не прибегая к утюгу.
Процедура глажения заключается в том, что с помощью нагрева и механического давления утюга мы заставляем нити полимера вернуться в исходное положение, но для этого также надо разорвать межмолекулярные взаимодействия между цепями полиэфиров, сформировавших складки. Так как межмолекулярное взаимодействие между нитями полиэфиров слабое, разорвать его можно утюгом, который нагрет до не очень высокой температуры. Повышение температуры рабочей поверхности утюга в случае полиэфиров приведет к более полному разрыву межмолекулярных взаимодействий, большей подвижности нитей полимера друг относительно друга и, как следствие, к переходу полимера в вязкотекучее (с определенной натяжкой можно сказать — расплавленное) состояние и к порче ткани.
3. Как мы уже выяснили, образование и разглаживание складок тканей связано с перемещением цепей полимера друг относительно друга и преодолением энергии взаимодействий. Теперь становится понятно, почему для разглаживания целлюлозосодержащих льняных и хлопковых тканей требуется более значительная, чем для синтетики температура. Водородные связи, посредством которых молекулы целлюлозы связываются друг с другом, прочнее диполь-дипольных взаимодействий в полиэфирах (заметим, что и в самой целлюлозе диполь-дипольные взаимодействия также присутствуют), поэтому для их разрыва требуется больше энергии.
Более интересен вопрос — почему связанные более прочными взаимодействиями нити целлюлозы смещаются друг относительно друга, образуя складки даже при тех режимах стирки, при которых изделия из эфиров покидают стирку без единой морщинки. Дело в том, что за высокую сминаемостью тканей на целлюлозной основе отвечает обязательный участник любой стирки — вода. Вода тоже способна к образованию водородных связей, а малые размеры молекулы воды позволяют ей свободно попадать в пустоты между молекулами целлюлозы, разрушая сетку водородных связей, связывающих молекулы целлюлозы, замещая эти водородные связи на водородные связи «целлюлоза-вода».
Из-за воды связь между молекулами целлюлозы ослабляется, и ее цепочки смещаются. При сушке вода медленно покидает целлюлозосодержащую ткань, водородные связи между нитями целлюлозы регенерируются, но, поскольку во влажном состоянии молекулы целлюлозы уже изменили свое положение друг относительно друга, ткань при этом остается смятой. Нагрев и давление подошвы утюга позволяют сформировать нужную нам сетку водородных связей, разгладив при этом складки ткани. Отпаривание или увлажнение льняных или хлопчатобумажных тканей при их разглаживании работает так же, как и образование складок в процессе стирки: вода облегчает разрыв взаимодействий между цепочками целлюлозы и делает проще процесс удаления складок утюгом. По этой же причине гладить недосушенные, слегка влажные изделия из льна и хлопка легче, чем высохшие. «Водной смазкой» можно объяснить и эффект «саморазглаживания» влажной одежды из некоторых хлопчатобумажных тканей: если одежду намочить, то складки и заломы исчезают — точнее, принимают форму тела. В этом случае вода, как и при стирке, ослабляет межмолекулярные водородные связи между цепочками целлюлозы, которые, перемещаясь под воздействием механических сил, смещаются друг относительно друга, разглаживая складки. Поскольку смещению цепей целлюлозы в этом случае будет способствовать постоянное натяжение изготовленной из них ткани, легче всего будет «саморазглаживаться» одежда, которая слегка мала человеку или сидит точно по фигуре.
Ткани из полиэфиров, не способные образовывать водородные связи, не сминаются в результате контакта с водой, поэтому увлажнять их при глажке бесполезно
Как видим, задача разработки немнущегося текстиля (non-iron fabric) весьма актуальна. Существует большое количество устойчивых к сминанию полимеров, из которых делают волокна для изготовления тканей. Это синтетические волокна, то есть получаемые с помощью химического синтеза из низкомолекулярных соединений (полиэфир, нейлон, лайкра), или искусственные — получаемые в результате обработки природного высокомолекулярного соединения (ацетатный шелк, он же ацетат целлюлозы). Помимо устойчивости к сминаемости такие ткани обладают износоустойчивостью: они меньше, чем натуральные, подвержены механическому истиранию и формированию микроскопических частиц (пыли).
Меньше мнутся и смесовые ткани — ткани, в состав которых входят хлопок, шерсть, вискоза, шелк в сочетании с полиэфиром или полиамидом. Они сохраняют способность к терморегуляции, воздухообмену и впитыванию влаги, но при этом приобретают прочность и устойчивость к деформации.
Есть попытки сделать несминаемые ткани и из целлюлозосодержащих материалов — путем их незначительной химической модификации. Ведь ощущение от контакта хлопковых, льняных или вискозных (полученных из регенерированной целлюлозы) тканей с телом намного приятнее, чем от синтетических. Немаловажно и то, что из-за хемофобии сформировался сегмент потребителей, признающих только натуральные материалы.
Сделать целлюлозосодержащую ткань немнущейся можно за счет принудительной сшивки цепочек природного полимера. Такая сшивка не будет давать молекулам целлюлозы смещаться друг относительно друга и формировать складки. В прошлом к тканям добавляли мочевино-формальдегидные смолы, но от этой практики отказались из-за возможности выделения формальдегида в процессе разрушения таких сшивок.
Сейчас при изготовлении немнущихся тканей в качестве сшивающего агента применяют дигидроксиэтиленмочевину (ее фрагмент обозначен зеленым цветом на рисунке):

Она также сшивает нити целлюлозы, не давая им двигаться друг относительно друга, но такая сшивка менее опасна для человека, чем сшивка мочевино-формальдегидными смолами. Тем не менее все испытанные в настоящее время варианты сшивок целлюлозы разрушаются в результате происходящего при стирках процесса гидролиза, и химики продолжают искать новые способы сделать хлопчатобумажные ткани немнущимися.



