
Группа астрономов из Государственного астрономического института имени П. К. Штернберга МГУ им. М. В. Ломоносова совместно с итальянскими коллегами разработала оригинальный метод определения формы аккреционных дисков вокруг черных дыр в рентгеновских двойных системах и активных галактических ядрах на основе анализа степени поляризации их рентгеновского излучения. Оказалось, что рентгеновское излучение аккреционных дисков чувствительно к форме диска и должно быть линейно поляризованным, если диск имеет форму тонкого «блина». Эти теоретические предсказания были подтверждены наблюдениями: метод испытан на нескольких рентгеновских двойных системах с черными дырами, а также на сейфертовской галактике первого типа.
Космические компактные объекты, такие как черные дыры (ЧД), до сих пор остаются загадочными и, по сути, гипотетическими, — несмотря на то, что обнаружено уже множество «кандидатов в черные дыры», насчет которых у астрофизиков мало сомнений (см., например, новость Черная дыра галактики M87: портрет в интерьере, «Элементы», 14.04.2019). Их исследования сопровождаются множеством вопросов, на которые до сих пор нет четких ответов. Например, нет стройного понимания того, что происходит в ближайших окрестностях ЧД. В частности, до недавнего времени ученые лишь строили теоретические догадки о том, какую форму имеют диски вещества, падающего в ЧД (см. задачу Дисковая аккреция). Разные теории строения аккреционных дисков были предложены уже десятки лет назад, но экспериментальных данных, позволяющих определить, какая из них лучше всего описывает реальность, все не было. Эта ситуация изменилась после запуска космического телескопа IXPE (Imaging X-ray Polarimetry Explorer), который помог ученым получить данные, способные перевернуть учебники по астрофизике.
Основных варианта формы аккреционного диска три: «цилиндр», «сфера» и тонкий плоский «блин» (рис. 2)? Первые расчеты советских астрофизиков в 1970-х годах намекали именно на плоский вариант, но проверить догадку в то время было невозможно: возможности телескопов и методы анализа данных не позволяли забраться так глубоко в окрестности черных дыр.

Рис. 2. Аккреционный диск в форме плоского «блина», плоскопараллельность верхней и нижней границ хорошо видна на срезе. Рисунок с сайта eso.org
Наблюдения за черными дырами, проведенные с помощью IXPE, позволили подтвердить то, о чем раньше ученые лишь догадывались: рентгеновское излучение аккреционных дисков является поляризованным. Более того, их поляризация является линейной и зависит от оптической толщины диска, а также его ориентации в пространстве. Последнее предсказывалось на основе теоретических расчетов в строгом соответствии с релятивистской теорией переноса излучения еще в 1985 году советскими физиками Р. Сюняевым и Л. Титарчуком (R. Sunyaev, L. Titarchuk, 1985. Comptonization of low-frequency radiation in accretion disks Angular distribution and polarization of hard radiation).
Сейчас ученым МГУ удалось проверить ранее заявленную связь между степенью поляризации, оптической толщиной и углом между плоскостью диска и направлением на наблюдателя, используя широкий набор данных поляриметрических измерений и синхронные спектральные наблюдения, проведенные космическими телескопами NICER, NuSTAR и Swift. Важно, что подтверждение связи между поляризацией, толщиной диска и его ориентацией сразу говорит о форме аккреционного диска: диск «плоский»! Но обо всем по порядку.
Еще в 1973 году Н. Шакура и Р. Сюняев высказали пионерскую идею о том, как формируется рентгеновское излучение в двойных системах, состоящих из обычной звезды и компактного объекта (например, черной дыры, рис. 3). Сейчас эта идея общепринята мировым астрономическим сообществом. Суть — в высвобождении рентгеновских квантов при образовании аккреционного диска вокруг ЧД с учетом вязкости перетекающего вещества звезды-донора на черную дыру (N. Shakura, R. Sunyaev, 1973. Black holes in binary systems. Observational appearance). Аккреционный диск — гигантский «водоворот» или «бублик» из раскаленного газа и космической пыли, который образуется, когда вещество от звезды перетягивается колоссальной гравитацией ЧД. Это вещество не падает прямо в ЧД, а закручивается вокруг нее, разгоняясь до огромных скоростей и разогреваясь до миллионов градусов. Это главный источник информации о ЧД, по яркому свету которого астрономы могут изучать ее свойства.
Поляризация света
Напомним, что такое поляризация света. Свет, как и любая электромагнитная волна, представляет собой согласованные колебания электрического и магнитного полей в пространстве. В вакууме плоскость колебаний электрического поля всегда перпендикулярна плоскости колебаний магнитного поля (см. рис.). Поляризацией волны называют плоскость колебаний электрического поля. Линейная (или плоскостная) поляризация — это разновидность поляризации электромагнитных волн, при которой вектор электрического поля колеблется строго в одной плоскости и в одном направлении.
Поляризация излучения в терминах колебаний составляющих его электрических и магнитных полей. Сверху: плоская электромагнитная волна. Плоскости колебаний электрического (xz) и магнитного (yz) полей перпендикулярны по отношению друг к другу и к направлению распространения (z). Снизу: колебания электрического поля неполяризованного света. Рисунок © Айк Акопян
Если свет испускается совокупностью спорадически излучающих в различных направлениях и поляризациях частиц, то наблюдатель, который на самом деле детектирует не моментальное значение поляризации электрического поля, а некоторое среднее за большой интервал времени, будет видеть неполяризованный свет: за время наблюдения поле колеблется во всевозможных направлениях и потому никакой выделенной поляризации не имеет.
Если в системе есть некоторое выделенное направление, например, вызванное наличием магнитного поля, то частицы будут излучать уже не совсем спорадически, и результирующий свет может оказаться частично поляризованным. При отражении неполяризованного света от подходящей поверхности также может происходить «выравнивание» направлений электрического поля, в результате отраженный свет может оказаться поляризованным (частично или полностью).
Пример изменения поляризации излучения с произвольной на линейную при отражении от плоской поверхности (в качестве которой может выступать поверхность «плоского диска», показанная зеленым цветом): после отражения вектор электрического поля все время остается в горизонтальной плоскости. Рисунок с сайта render.ru
Впервые вывод о том, что в двойных системах может наблюдаться поляризация излучения был сделан Чандрасекаром в 1946 году (S. Chandrasekhar, 1946. On the Radiative Equilibrium of a Stellar Atmosphere). Им было показано, что в плоскопараллельной электронно-рассеивающей атмосфере перенос излучения приводит к его поляризации. Однако решение Чандрасекара было предназначено для чистого рассеяния в полубесконечной атмосфере и все еще не учитывало дисковую геометрию и рассеяние излучения с приобретением фотонами энергии (то есть, комптонизацию). Р. Сюняев и Л. Титарчук (в упомянутой выше статье 1985 года) были первыми, кто рассчитал угловое и пространственное распределение рассеянного излучения (за время, большее, чем время усреднения) для любой оптической глубины.
Поляризация излучения зависит от температуры аккреционного диска и степени ионизации его плазмы. Кроме того, состояние ионизации также зависит от плотности. Фактически, классический аккреционный диск испускает излучение, характерное для абсолютно черного тела (N. Shakura, R. Sunyaev, 1973. Black holes in binary systems. Observational appearance). Оно многократно рассеивается в горячем комптоновском облаке, и только это излучение рассеивается до энергий 2–8 кэВ (это как раз диапазон, в котором IXPE измеряет поляризацию). То есть, именно это излучение подвергается процессу комптонизации при отражении от плоской поверхности диска, при этом оно чувствительно к физическим параметрам диска (рис. 3).

Рис. 3. Чувствительность поляризации излучения при отражении от гладкой или шероховатой поверхности. На рисунке приведены примеры гладкого металлического шара и шероховатого камня; также показано отражение от поверхности замерзшего покрытого снегом озера и возникновение линейной поляризации при отражении от водяной глади (которая, впрочем, не показана). Аналогичная ситуация может возникать и при комптоновском рассеянии от плоской поверхности аккреционного диска (в зависимости от температуры и плотности диска). Рисунок © Елена Сейфина
А что происходит внутри диска? Возможна ли там поляризация рентгеновского излучения? Внутри диска все излучение находится в тепловом равновесии и совсем не рассеивается, но если фотон абсолютно черного тела испускается, он сразу же поглощается (см. G. Rybicki, A. Lightman, 1979. Radiative Processes in Astrophysics). Но в горячем комптоновском облаке фотоны черного тела действительно рассеиваются c приобретением энергии.
Как уже говорилось в начале текста, форма аккреционного диска долгое время была предметом споров астрофизиков. По разным данным, она может быть сфероидальной, плоской или линзовидной (выпуклой или вогнутой). Отчасти, это следовало из оптических наблюдений поляризации излучения галактик, в которых аккреционные диски образуются вокруг сверхмассивных ЧД. Однако эти наблюдения не позволяли понять, где, собственно, происходит поляризация рентгеновского излучения (в балдже, в диске, в какой-то части диска) и какую форму имеет основной «поляризатор». Оказалось, что внешние части диска, в каком-то смысле, живут своей жизнью и не принимают активного участия в поляризации.
Интересно, что в предыдущих моделях, в которых приближение было достаточно грубым, диск рассматривался как цилиндр с плоскими верхней и нижней границами («плоский» диск). Это связано с тем, что вращающееся вещество, падающее на центральный объект (например, черную дыру), под действием центростремительной силы и приливных сил формирует диск, вытянутый в плоскости вращения (подробно этот вопрос разобран в задаче «Плоская» Вселенная).
Как показано Р. Сюняевым и Л. Титарчуком (во все той же статье 1985 года), поляризация рентгеновского излучения двойной системы происходит только во внутренней части диска (в комптоновском облаке, КО) — там, где происходит взаимодействие «холодного» излучения с горячими электронами. Причем степень поляризации зависит от спектрального состояния ЧД: она выше в состоянии высокой светимости с мягким спектром и ниже в состоянии низкой светимости с жестким спектром (рис. 4; про спектральные состояния подробно рассказывается в статье Спектральные признаки отличия рентгеновских двойных систем с черными дырами и нейтронными звездами).

Рис. 4. Геометрия комптоновского облака и аккреционного диска в зависимости от спектрального состояния черной дыры. Вверху: высокая светимость с мягким спектром (комптоновское облако показано темно-синим); внизу: низкая светимость с жестким спектром (комптоновское облако показано голубым). При высокой светимости комптоновский слой относительно (геометрически) меньше и оптически толще, чем при низкой светимости. Рисунок © Елена Сейфина
Сравнение теоретических расчетов с наблюдательными данными для ряда рентгеновских двойных систем и активных ядер галактик подтвердило правильность описанного подхода, а также внесло определенность в разнообразие предложенных ранее моделей формы диска, оставив лишь «плоский диск».
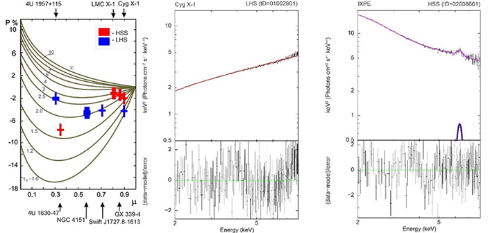
В самом деле, простое сопоставление измеренной с помощью IXPE степени поляризации \(P\), отложенное по вертикальной оси (рис. 5, слева), и угла наклона диска к лучу зрения земного наблюдателя \(i\) (точнее, \(\cos i\)), отложенного по горизонтальной оси (этот угол известен из наблюдений), для разных рентгеновских двойных систем с ЧД, показал, что пересечение этих величин ложится на график (темно-зеленые кривые) в соответствии с теорией для случая плоских дисков. И нет пересечений вне теоретически рассчитанных кривых. Причем каждая из кривых, сопровождаемая значением оптической глубины, опять же точно согласуется с предсказанием теории для случая плоского диска. Значит все эти диски плоские!
Рис. 5. Слева: степень линейной поляризации \(P\) (в %) в зависимости от параметра \(\mu=\cos i\), где \(i\) — угол между нормалью к комптоновскому облаку и лучом зрения в модели плоского диска. Красные и синие кресты указывают измеренную степень линейной поляризации в диапазоне энергий 2–8 кэВ для состояния высокой светимости с мягким спектром (HSS) и состояния низкой светимости с жестким спектром (LHS), соответственно, для разных источников с черными дырами (наименования источников указаны стрелками около соответствующих величин \(\mu\)). Вертикальная ширина этих крестов соответствует ошибке измерения степени поляризации по данным IXPE. Справа: два спектра объекта Cyg X-1 (также представленного на левой панели), для которых измерялась рентгеновская поляризация в состояниях LHS и HSS с помощью IXPE. Наглядно видно, что разные состояния ЧД в этом объекте сопровождаются «жестким» (красный спектр с фотонным индексом Γ = 1,4) и «мягким» (малиновый спектр с фотонным индексом Γ = 2,4) распределением фотонов. Рисунок из обсуждаемой статьи
Полученные результаты, даже несмотря на то, что они были предсказаны 40 лет назад и затем были «отложены» из-за невозможности наблюдательной проверки найденного эффекта поляризации, оказались неожиданными. Их придется учитывать — несомненно, это приведет к пересмотру многих моделей аккреционных дисков из-за возможных расхождений с наблюдательными данными. Благодаря описанным результатам астрофизики теперь могут проверять степень поляризации при вычислении параметров моделей рентгеновского излучения. IXPE раскрыл секреты поляризации и характеристик не только черных дыр звездной массы, но и сверхмассивных черных дыр, излучение которых оказалось также линейно поляризованным в процессе комптонизации в горячей плазме плоского аккреционного диска. Подтверждена зависимость степени поляризации сверхмассивных черных дыр от ориентации диска в пространстве.
Подводя итог, можно сказать, что многолетняя теория обрела твердую экспериментальную основу, а обсуждаемая работа не только подтверждает старые догадки, но и открывает новый способ изучения самых экстремальных объектов Вселенной.
Источник: Lev Titarchuk, Paolo Soffitta, Elena Seifina, Enrico Costa, Fabio Muleri, Romana Mikusincova. X-ray linear polarization prediction in black hole binaries and active galactic nuclei and measurements of it by IXPE // Astronomy and Astrophysics. 2025. DOI: 10.1051/0004-6361/202554834.
Елена Сейфина




Рис. 1. Рентгеновский поляриметрический телескоп IXPE (Imaging X-ray Polarimetry Explorer). Рисунок с сайта en.wikipedia.org