Для паразита организм хозяина — это целая экосистема со своими «сезонными» циклами, приливами, отливами, температурными колебаниями, хищниками, роль которых исполняет иммунитет, и, разумеется, потоками вещества и энергии. Есть в организмах хозяев и такие «медвежьи углы», куда доступ ресурсов затруднен, а потому конкуренция за них между паразитами должна быть особенно высокой. Таким закутком оказываются, например, «внутренности» глазного яблока позвоночных: хрусталик и стекловидное тело. Питательные вещества поступают в глаз через его переднюю камеру и сначала достигают хрусталика, а затем лишь стекловидного тела. Мы заражали рыб двумя видами трематод, один из которых живет в хрусталике, а другой — в стекловидном теле, чтобы изучить, как паразиты конкурируют друг с другом за ресурсы хозяина. Как и ожидалось, паразиты, находящиеся дальше от источника питательных веществ, страдали от наличия конкурента, а вот обратное было неверно. Наша работа — редкий пример того, как взаимоотношения паразитов в организме хозяина удается предсказать, исходя из общих макроэкологических соображений.
Много лет тому назад мне в руки попала замечательная книга палеонтолога Кирилла Еськова «История Земли и жизни» на ней. В этой книге, говоря о зависимости водных экосистем от биогенов, поступающих с суши, автор использовал английское выражение «находиться за солью» (below the salt), которое восходит ко временам Средневековья, когда английские землевладельцы трапезничали за одним столом с гостями разного социального ранга и челядью. В верхней части стола вместе с хозяевами сидели гости познатнее, а ниже — те, кто поплоше. В качестве социально-экономического «межевого столба» служило стоявшее на столе большое блюдо с солью. Тем, кто сидел ниже этого блюда, и кушанья подавались не столь изысканные, и сервис полагался так себе.
Как вы уже, наверное, догадались, в экологии «за солью» находятся местообитания, получающие ресурсы во вторую очередь. Еще одним примером таких местообитаний могут служить морские глубины, получающие лишь крохи от биогенно-фотосинтетического пиршества жизни, творящегося в верхних слоях Мирового океана.
Бывают, однако, и другие, более экзотические примеры ресурсной сегрегации. Для маленьких паразитов организм хозяина — это целый мир, целая экосистема, разные части которой также имеют неравный доступ к ресурсам. Таковы, например, разные части глаза позвоночных животных. Вообще, питание глаза однонаправленно и контринтуитивно. Большая часть поверхности глазного яблока отделена от остального организма гематоретинальным барьером. Этот барьер защищает тонко устроенный орган от чрезмерной активности иммунной системы позвоночных, подчас способной нанести организму больший вред, чем иная инфекция.
Однако гематоретинальный барьер не пропускает внутрь глаза не только антитела, но и большинство других крупных молекул, а если и пропускает, то с помощью специальных, тратящих немало энергии белков-переносчиков. Доставлять питательные вещества внутрь глаза через этот барьер крайне неэффективно. Поэтому основная часть питания (в виде аминокислот и моносахаридов) поступает в глаз позвоночных через его переднюю камеру — заполненное жидкостью пространство между внутренней поверхностью роговицы с одной стороны и радужкой и хрусталиком с другой (рис. 1). Таким образом, внутриглазной путь «из варяг в греки» пролегает от передней части глаза к задней, причем структуры, находящиеся в начале этого пути (например, хрусталик), получают питательные вещества в первую очередь, а те, что находятся ближе к его завершению (стекловидное тело) — во вторую.
Рис. 1. Слева: жизненный цикл трематод Tyl и Dps , использованных в нашем исследовании. Зараженные трематодами улитки (A) выделяют в воду расселительные стадии паразита (церкарии, B), заражающие рыбу. Пробравшись в глаза рыбы, паразиты развиваются в личинку (D), которая называется метацеркарией. Окончательные хозяева Tyl и Diplo — рыбоядные птицы (Е). В их организме паразиты взрослеют и спариваются (F). С фекалиями птицы яйца паразитов попадают в воду, где из них выходит реснитчатая личинка (G), заражающая моллюска. Справа: схема питания глаза и расположение в нем паразитов. Питательные вещества поступают в глаз через переднюю камеру и в первую очередь омывают хрусталик. Стекловидное тело, занимающее большую часть объема органа, получает питание во вторую очередь. Через большую часть поверхности глазного яблока питательные вещества проникают или проникают с большими приключениями из-за гематоретинального барьера. Трематоды обитают и в хрусталике (Diplostomum pseudospataceum — Dps), и в стекловидном теле (Tylodelphys clavata — Tyl)
По обилию ресурсов стекловидное тело, занимающее большую часть объема глазного яблока, напоминает пустыню, состоящую почти исключительно из воды с небольшими добавками коллагена и других крупных молекул. Число клеток в стекловидном теле мало, а метаболические процессы идут медленно, что, к слову, делает этот орган незаменимым для судебно-медицинской экспертизы: посмертные изменения в стекловидном теле происходят позже, чем в других органах.
При этом и в хрусталике, и в стекловидном теле позвоночных (в частности, рыб) могут обитать паразиты. Получается, что паразиты, обитающие в стекловидном теле, оказываются «за солью», а вот паразиты, локализующиеся в хрусталике, получают доступ к ресурсам хозяина в первую очередь (рис. 1). Однако это всего лишь умозрительная схема, которая, впрочем, позволяет сформулировать гипотезы, проверяемые экспериментально.
Мы заражали лососевую рыбу (мальму) двумя видами трематод: Tylodelphys clavata (Tyl) и Diplostomum pseudospathaceum (Dps). Первый паразит обитает в стекловидном теле хозяина, а второй — в хрусталике. Они поглощают питательные вещества, всасывая их через покровы. Оба паразита широко распространены в пресноводных экосистемах и нередко встречаются в рыбах вместе. Рыб в эксперименте разделили на три группы: первую заражали только Tyl, вторую — только Dps, а третью — одновременно обоими паразитами. Для заражения использовали свободноживущие стадии трематод — церкарии, которых получали от зараженных моллюсков, собранных в природных водоемах (жизненный цикл паразита представлен на рис. 1, слева). Процедура заражения крайне проста: расчетное число церкарий, недавно выделенных моллюсками, добавляют в воду, где плавают рыбы. «Дозы», которые получали рыбы при экспозиции, были следующими: первая группа — 70 церкарий Tyl, вторая — 90 церкарий Dps, третья — 70 церкарий Tyl + 90 церкарий Dps. Такая процедура приводит к весьма умеренным уровням заражения рыб паразитами, вполне сопоставимыми с природными. Попав в глаза, оба паразита могут жить там месяцы и даже годы, не вызывая заметного ухудшения физического состояния рыбы, если не считать постепенной потери зрения хозяином из-за образующейся катаракты. Впрочем, процесс этот занимает обычно не менее месяца, а наш эксперимент закончился до того, как катаракты образовались.
Важно, что не каждая церкария заражает рыбу. Доза при экспозиции — это возможный максимум заражения. На практике число трематод, достигших глаз рыбы, обычно значительно ниже и зависит от многих факторов: температуры воды, вида рыбы, возраста церкарий и пр. Эти факторы мы контролировали, заражая рыбу в лаборатории в идентичных условиях. Нас интересовало то, как наличие представителей одного вида трематод влияет на успех заражения и рост другого вида в организме хозяина.
Предполагалось, что, во-первых, при одновременном заражении паразиты будут уменьшать успех заражения друг друга. Другими словами, в группе рыб, подвергшихся атаке сразу двух видов паразитов, интенсивность заражения паразитом каждого вида будет ниже, чем при моноинфекциях. Такую конкуренцию мы назвали симметричной. Во-вторых, мы полагали, что влияние паразитов на скорость роста представителей другого вида будет отличаться. Tyl в присутствии конкурента будет расти медленнее, поскольку находится «за солью», ниже по течению «реки», снабжающей глаз рыбы питательными веществами. А вот на рост Dps, обитающего в хрусталике, наличие соседа никакого влияния не окажет — он от него не зависит. Такую форму конкуренции мы называли асимметричной.
Спустя несколько недель после заражения рыб усыпляли и, вскрыв, подсчитывали и измеряли личинок паразита в хрусталике и стекловидном теле. Вскрытие осуществляли в период наиболее активного роста трематод, чтобы «поймать» возможные различия в размерах, связанные с различиями в доступе к пищевым ресурсам.
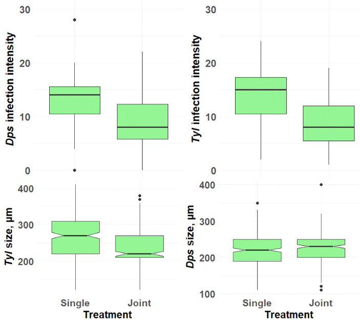
Оказалось, что интенсивность заражения рыб и скорость роста паразитов в их глазах вполне соответствуют изначальным гипотезам (рис. 2). При смешанном заражении в глазах рыб оказывалось меньше как тех, так и других паразитов по сравнению с моноинфекциями. При этом рост трематоды Tyl, обитающей дальше от источника питательных веществ, замедлялся в присутствии конкурента (Dps), а вот на рост Dps присутствие Tyl не влияло. То есть здесь взаимодействие между паразитами было асимметричным, как и предполагалось изначально.

Рис. 2. Верхний ряд: при совместном заражении оба паразита менее успешно проникали в хозяина, чем при моноинфекциях, а вот на скорость роста паразитов присутствие соседа оказывало различное влияние (нижний ряд). Tyl (внизу слева), локализующийся в стекловидном теле, рос медленнее в присутствии конкурента, обитающего выше «по течению» и, как мы предполагаем, перехватывающего поток питательных веществ, поступающих в глаз. При этом наличие в глазу Tyl, получающего объедки с барского стола, никак не влияло на скорость роста самого «барина» — Dps (внизу справа)
Однако с интерпретацией результатов исследования не всё так однозначно. Во-первых, получены лишь косвенные свидетельства в пользу высказанных гипотез. Мы не проверяли в явном виде, какие питательные вещества потребляли паразиты в глазах хозяина и насколько эффективно они это делали. Эта непростая задача остается для будущих исследований. Во-вторых, в работе есть одна довольно любопытная деталь.
Выяснилось, что рост трематод Tyl положительно коррелирует с их числом в стекловидном теле хозяина. Другими словами, если в хрусталике глаза рыбы есть трематода-конкурент (Dps), то Tyl растет медленнее, а вот с увеличением числа представителей своего вида скорость роста Tyl только увеличивается (рис. 3). Строго говоря, в этом нет явного противоречия. Можно предположить, например, что в присутствии конкурента в хрусталике в стекловидное тело попадает меньше питательных веществ, зато при наличии большего числа особей своего вида эффективность их утилизации повышается. У бактерий механизмы, позволяющие при более высокой плотности популяции эффективнее утилизировать субстрат, давно известны (см. Бактерии-альтруисты помогают своим сородичам-каннибалам себя съесть, «Элементы», 27.02.2006). Почему бы таким механизмам не существовать и у трематод? Однако, опять же, пока такие рассуждения выглядят слишком спекулятивно.

Рис. 3. Скорость роста личинок (метацеркарий) Tyl положительно коррелировала с их числом в стекловидном теле — довольно неожиданный результат, учитывая, что наличие конкурента в хрусталике замедляло их рост
С уменьшением успеха инфекции при совместном заражении тоже не всё так просто. Хотя влияние конкурента очевидно в обоих случаях, механизм происходящего отнюдь не очевиден. Проникнув в рыбу, паразиты примерно за сутки достигают глаза хозяина, где они уже недоступны для атак иммунной системы. Вряд ли они физически взаимодействуют друг с другом после заражения, поскольку, в отличие от сыновей лейтенанта Шмидта, строго придерживаются «конвенции», всегда занимая различные части глаза. Физический контакт между паразитами в ходе заражения тоже маловероятен: рыба и даже ее глазные яблоки слишком велики для крошек-трематод, использованных в нашем исследовании. А адаптивный иммунитет рыб считается слишком медлительным для того, чтобы выступить арбитром в споре паразитов, проникающих в глаза рыб за сутки. Антитела за это время просто не успевают образоваться. Конечно, помимо антител существуют и другие механизмы иммунного ответа, но почему в случае с использованными нами паразитами они работают так своеобразно, усиливая свою эффективность с увеличением инфекционной дозы, непонятно.
Обсуждаемая работа — относительно редкий пример исследования, где взаимодействия между двумя близкородственными видами паразитов были изучены в контролируемых лабораторных условиях. Важно и то, что нам удалось довольно точно предсказать исход взаимодействий между паразитами, исходя из теоретических или, правильнее сказать, макроэкологических представлений о свойствах экосистемы, в которой эти паразиты обитают. Хочется надеяться, что в будущем таких инфраэкологических, то есть относящихся к экосистемам внутри организма хозяина, исследований паразитов станет больше.
Источник: Mikhail Gopko, Kseniia Savina, Danila Sotnikov, Ekaterina Mironova. Within-Host «Infraecology»: Asymmetric Interactions Between Two Co-infecting Eye Parasites // Integrative Zoology. 2026. V. 21. No. 1. P. 79–88. Препринт на портале Researchgate.
Михаил Гопко





1 — глаз рыбы, зараженной трематодами (паразитическими плоскими червями). Хорошо заметна белесая катаракта, возникающая как следствие инфекции спустя месяц-другой после заражения. 2 — хрусталик глаза, возле которого видны трематоды Tylodelphys clavata, обитающие в стекловидном теле. 3 — тот же вид трематод крупно. 4 — трематода Diplostomum pseudospathaceum, паразит хрусталика рыб и потенциальный конкурент T. clavata. NB! Два вида трематод показаны при разном увеличении. На самом деле они примерно одного размера