Со времён древних греков известно пять платоновых тел — правильных многогранников, отличающихся высшей степенью симметрии. Это тетраэдр, куб, октаэдр, икосаэдр и додекаэдр, они изображены на рис. 1.

Легко заполнить одинаковыми кубами всё пространство без пустот и наложений так, чтобы любые два граничащих друг с другом куба пересекались либо по вершине, либо по ребру, либо по грани (рис. 2).

Рис. 2. Заполнение пространства одинаковыми кубами
а) Докажите, что другие платоновы тела такого заполнения пространства не допускают.
б) Придумайте, как заполнить пространство, если можно использовать различные платоновы тела.
Предположим, имеется некоторое заполнение пространства платоновыми телами (не обязательно одинаковыми). Рассмотрим ребро одного из них. Тогда сумма двугранных углов многогранников, примыкающих к этому ребру, составляет 360°.
Покажите, что двугранные углы тетраэдра, октаэдра, икосаэдра и додекаэдра равны
,
,
и
соответственно.
Покажите, что пространство можно заполнить тетраэдрами и октаэдрами.
Рассмотрим сначала заполнение пространства кубами, чтобы понять, каким образом оно получается. Пусть AB — ребро одного из кубов (рис. 3.). Тогда оно является ребром ещё трёх кубов. Чтобы пространство было заполнено без пустот, сумма двугранных углов, ребром которых является AB, должна составлять 2π. Так как двугранный угол куба равен π/2, то сумма четырёх таких углов — в точности то, что нам нужно.

Таким образом, для того чтобы каким-либо платоновым телом можно было замостить пространство указанным в условии задачи способом, необходимо, чтобы двугранный угол этого платонова тела имел вид 2π/n, где n — некоторое натуральное число, большее двух.
Теперь найдём двугранные углы всех остальных платоновых тел. Убедившись в том, что ни один из них не может быть представлен в виде 2π/n, мы докажем пункт а). Начнём с тетраэдра.

Будем считать, что все стороны тетраэдра ABCD равны 1. Пусть M — середина стороны BC, DH — высота (рис. 4). Тогда точка H является центром грани ABC, а значит, лежит на отрезке AM и делит его в отношении 2 : 1, считая от точки A. Учитывая, что AM = DM, отсюда следует, что cos
. То есть двугранный угол тетраэдра равен
.

Далее рассмотрим октаэдр ABCDEF (рис. 5). Как и в случае тетраэдра, мы будем считать, что длина каждой стороны октаэдра равна 1. Пусть M — середина стороны BF, AH — перпендикуляр, опущенный на плоскость BCF из точки A, H1 и H2 — центры граней BCF и ADE соответственно. Тогда AM = CM, AHH1H2 — прямоугольник, а
. Кроме того,
. Следовательно,
и
. Таким образом, двугранный угол октаэдра равен
.

Прежде чем перейти к икосаэдру и додекаэдру, нам стоит поближе познакомиться с правильным пятиугольником. Пусть в правильном пятиугольнике PQRST диагонали PS и QT пересекаются в точке K (рис. 6). Так как каждый угол правильного пятиугольника равен 3π/5, то углы при основаниях равнобедренных треугольников PST и QTP равны π/5. Значит, углы при основаниях равнобедренных треугольников KPQ и KTS равны 2π/5; в частности, это означает, что любая диагональ правильного пятиугольника делит его на равнобедренный треугольник и трапецию.
Проведём в треугольнике KPQ биссектрису PM. Тогда легко видеть, что
KPM = π/5
PKM =
PMK = 2π/5
Действительно, будем считать для простоты, что PQ = 1. Тогда ST = KQ = 1. Обозначим KT через x. Тогда PK = PM = MQ = x, KM = 1 – x. Следовательно,
. Преобразовывая это равенство, мы получаем соотношение x2 + x – 1 = 0, откуда находим
.
Теперь легко найти разные элементы. Так, для нас будет иметь значение, что длина диагонали правильного пятиугольника со стороной 1 есть
. Другой важный момент — значения тригонометрических функций в точках π/5 и 2π/5. Например,
Кроме того,
— это сторона правильного пятиугольника, который высекается, если мы проведём в пятиугольнике PQRST все диагонали.

Перейдём, наконец, к икосаэдру. Для того чтобы найти его двугранный угол, нам достаточно будет рассмотреть «шапочку» икосаэдра — правильную пятиугольную пирамиду ABCDEF. Пусть M — середина стороны AC (рис. 7). Тогда считая, что все стороны пирамиды равны 1, легко получаем
,
. Согласно теореме косинусов, BD2 = BM2 + DM2 – 2 · BM · DM ·
BMD
Таким образом, двугранный угол икосаэдра равен
.

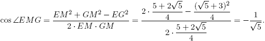
Перейдём к додекаэдру. Как со всеми остальными платоновыми телами, будем считать, что длина каждого его ребра равна 1. Введём обозначения так, как указано на рис. 8. Пусть M — середина стороны BC. Тогда искомый угол EMG можно найти, применив теорему косинусов для равнобедренного треугольника EMG. Осталось найти стороны этого треугольника.
Боковые стороны треугольника EMG отыскать несложно. Действительно,

Для того чтобы найти EG, рассмотрим сечение додекаэдра плоскостью DEG (рис. 9). Эта плоскость высекает из додекаэдра шестиугольник DEKLGH, у которого DE = KL = GH = 1 и HD = EK = GL =
(как диагональ правильного пятиугольника со стороной 1). Из соображений симметрии ясно, что шестиугольник DEKLGH вписан в окружность, причём
DEG =
EGH =
KHG = π/3
. Таким образом, получаем ![]()
Вернёмся к двугранному углу додекаэдра. Как следует из теоремы косинусов для треугольника EMG, EG2 = EM2 + GM2 – 2 · EM · GM ·
EMG
Таким образом, двугранный угол додекаэдра равен
.
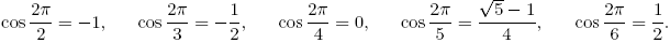
Теперь мы можем заняться анализом полученных результатов. Как мы уже говорили в самом начале, для того, чтобы копиями некоторого платонова тела можно было заполнить всё пространство без остатка, необходимо, чтобы двугранный угол этого платонова тела имел вид 2π/n. Значения косинусов углов такого вида, соответствующие значениям n = 2, 3, 4, 5, 6, таковы:
Поскольку на промежутке [0, π] функция cos x монотонно убывает, то для сравнения углов достаточно сравнить между собой значения их косинусов. Сделаем это.
Двугранный угол тетраэдра равен
. Для косинусов выполнены следующие неравенства:
< 1/3 < 1/2. Значит, 2π/5 >
> 2π/6.
Двугранный угол октаэдра равен
. Для косинусов выполнены следующие неравенства: –1/2 < –1/3 < 0. Значит, 2π/3 >
> 2π/4.
Двугранный угол икосаэдра равен
. Для косинусов выполнены следующие неравенства: –1 < –√5/3 < –1/2. Значит, 2π/2 >
> 2π/3.
Двугранный угол додекаэдра равен
. Для косинусов выполнены следующие неравенства: –1/2 < –1/√5 < 0. Значит, 2π/3 >
> 2π/4.
Таким образом, двугранные углы ни одного платонова тела, кроме куба, не являются углами вида 2π/n. Пункт а) доказан.
Перейдём к пункту б) задачи. Рассмотрим равные октаэдры ABCDEF и PQRCBS, у которых ребро BC общее. Тогда если рёбра BC, DE и QR лежат в одной плоскости, то расстояние между вершинами A и P равно расстоянию между центрами октаэдров (рис. 10). Однако последнее равно длине ребра октаэдра. Значит, в тетраэдре ABCP все стороны равны, и он — правильный.

Это соображение позволяет требуемым образом заполнить пространство тетраэдрами и октаэдрами. Сначала мы складываем из них четырёхгранную трубу (рис. 11). Эта труба в сечении даёт ромб. Однако мы умеем копиями любого четырёхугольника (а тем более — ромба) покрывать плоскость без пробелов и наложений (см. задачу «Замощения»). Поэтому такими трубами всё пространство тоже легко заполняется.

Заполнение пространства фигурами разного вида — задача, находящаяся на стыке нескольких наук: математики, физики, химии и геологии. С точки зрения математики интерес здесь представляют самые разные модификации: можно ограничивать область, которую требуется замостить копиями данной фигуры, можно менять форму фигуры или фигур (если их несколько), можно попытаться исследовать, что получится в пространствах различных размерностей. Очень часто данными фигурами заполнить пространство или некоторую его область без пустот оказывается невозможно. В таких случаях обычно спрашивается, какая упаковка будет наиболее плотной. Типичной задачей подобного типа является вопрос о наиболее плотной упаковке кругов на плоскости (см. задачу «Круги в круге») и шаров в пространстве. Несмотря на то, что почти все формулировки звучат весьма естественно, подобные задачи довольно сложны, и в большинстве случаев они только ожидают своего решения.
С точки зрения других наук рассматриваемая задача интересна прежде всего, потому, что ответ на неё позволяет предсказать, каково строение кристаллов того или иного вещества, как различные атомы и молекулы соединяются для того, чтобы эти кристаллы образовать. Оказывается, кристаллы в большинстве своём устроены регулярно, что позволяет описать их единообразно при помощи дискретных подгрупп движений пространства. Связь кристаллов и подгрупп движений объясняется следующим образом: для каждой дискретной подгруппы движений пространства можно выделить наибольший связный кусок пространства, никакие две точки которого не могут быть друг в друга переведены каким-либо движением из этой подгруппы. Вообще говоря, таких кусков может быть много; любой из них называется фундаментальной областью подгруппы движений. В том случае, когда фундаментальная область ограничена, дискретная подгруппа движений называется кристаллографической. Это название и объясняет природу связи: молекулы и атомы регулярно устроенных кристаллов зачастую можно рассматривать как фундаментальную область некоторых кристаллографических групп движений.
Количество плоских кристаллографических групп равно 17. В трёхмерном пространстве имеется уже 219 кристаллографических групп. В пространстве размерности 4 количество групп ещё больше: 4783. Каждая такая группа порождает определённое разбиение плоскости или пространства на одинаковые кусочки. Например, разбиение плоскости на равные квадратики, стороны которых равны 1 (клетчатая бумага), порождается кристаллографической группой, состоящей из параллельных переносов на всевозможные векторы вида (m, n), где m и n — целые числа, а также поворотов на углы π/4, π/2 и 3π/4 относительно центров и вершин квадратиков. Подобной кристаллографической группой порождается заполнение пространства кубами. Регулярному заполнению пространства тетраэдрами и октаэдрами также соответствует кристаллографическая группа — она состоит из всех таких движений, которые переводят заполнение само в себя. Однако ни октаэдр, ни тетраэдр не будут её фундаментальной областью.




Рис. 1. Правильные многогранники (Платоновы тела). Слева направо: тетраэдр, куб, октаэдр, икосаэдр и додекаэдр