Наталья Резник,
кандидат биологических наук
«Химия и жизнь» №8, 2024
Чего только не едят люди: супы и каши, салаты и соусы, разнообразные мясные и молочные продукты, хлеб, конечно. Самые отважные позволяют себе тортики и шоколад. И во всех этих продуктах есть жир, животный или растительный.
Жиры очень полезны. Во-первых, они питательны — в одном грамме жира девять калорий, а белках и углеводах только четыре. Во-вторых, жиры содержат жирорастворимые витамины A, D, E и K и помогают им всасываться в кишечнике. Они служат единственным источником незаменимых жирных кислот, линолевой и линоленовой. В общем, жир необходим и взрослым, и детям для нормального роста, развития и поддержания здоровья. Он также придает пище вкус и приятную консистенцию, что немаловажно, и помогает нам почувствовать сытость и перестать есть.
Но практика показывает, что перестать есть как раз очень сложно, а лишние калории и лишние жиры в частности приводят к избыточному весу, сердечно-сосудистым заболеваниям, сахарному диабету 2-го типа и другим неприятностям. Поэтому ходят вокруг нас кругами диетологи и кардиологи, заглядывают в тарелки и настоятельно советуют есть поменьше.
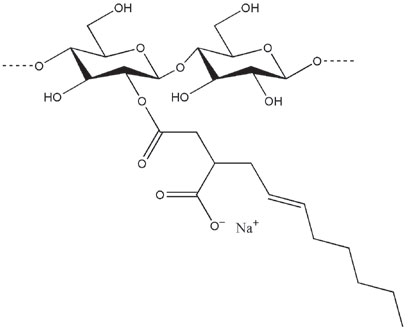
Следовать совету можно по-разному. Специалисты рекомендуют ограничить потребление жиров, как самой калорийной составляющей пищи, чтобы получать из них не более 30% суточной энергии, а из насыщенных жиров — не более 10%. Для сердечно-сосудистой системы вредны длинноцепочечные насыщенные жирные кислоты, особенно миристиновая (C14:0) и пальмитиновая (С16:0). Увы, эти две кислоты присутствуют в большинстве молочных продуктов. Потому и появились заменители молочного жира — смесь модифицированных и немодифицированных растительных масел.
По уверениям Всемирной организации здравоохранения, заменители молочного жира для здоровья безопасны и даже полезны, но многие потребители относятся к ним с недоверием, опасаясь присутствия трансжиров. Трансжиры образуются в результате модификации растительных ненасыщенных жирных кислот — присоединения водорода к двойной связи, а называются так потому, что в них углеводородные заместители располагаются по разные стороны двойной связи «углерод-углерод». Трансжиры признаны вредным продуктом, поскольку повышают уровень циркулирующего в крови холестерина, с которым традиционно связывают риск сердечно-сосудистых заболеваний и метаболических нарушений. Диетологи считают, что безопасная доля трансжиров составляет не более 2% всех потребляемых жиров. Кое-где трансжиры вообще под запретом, хотя их всё равно используют.

Изомеры жирных кислот: слева цис-, справа транс-изомер
Короче говоря, количество потребляемых жиров надо уменьшать, но как? Просто их удалить из пищевых продуктов не получится, потому что обезжиренная еда теряет привычные свойства: вязкость, текстуру, внешний вид и вкус наконец. От пищи, которую никто не хочет есть, пользы никакой. А многие блюда без жира просто не приготовить. Поэтому жиры надо чем-то заменить.
Теоретически идеальный заменитель жира обладает всеми его полезными свойствами, но не содержит насыщенных жирных кислот и холестерина, и совсем хорошо, когда в нем нет калорий. Идеального жирозаменителя пока не придумали, но вообще их много, хороших и не очень. Ими заменяют не весь жир, но некоторую его часть, иногда почти половину.
Заменители жира подразделяют на аналоги жиров и миметики. Аналоги сходны с жирами химической структурой, но плохо перевариваются, поэтому имеют меньшую энергетическую ценность. Обычно их делают на основе липидов. Миметики похожи на жиры своими свойствами, но основа у них белковая или углеводная. Краткое описание разных жирозаменителей приведено в таблице, а мы сейчас поговорим о них поподробнее.
Первые жирозаменители были углеводными. Они появились в середине 1960-х годов как увлажнители, эмульгаторы, стабилизаторы и загустители пищевых продуктов. В качестве заменителей жира их начали использовать лет на тридцать позже.
Их часто изготовляют на основе крахмала, который добывают из кукурузы, пшеницы, риса, клубней картофеля и некоторых тропических растений. Крахмал — полимер остатков глюкозы, соединенных α-связями. Благодаря такой структуре линейные молекулы крахмала скручиваются в глобулы, напоминающие формой и размером жировые. А капельки жира образуют эмульсии в жидкостях и гели в более плотных продуктах. Это благодаря им крем и мороженое во рту мягкие и гладкие, а тесто упругое и плотное. Выпечка, лишенная жиров, рассыпается в крошки.
Оказалось, что крахмал может обеспечить сходный результат. В жирозаменителях предпочитают использовать модифицированный крахмал, поскольку он выдерживает высокую температуру и замораживание, а это значит, что его можно употреблять в выпечке и замороженных продуктах. К тому же такой крахмал усваивается хуже, чем обычный, а значит, снижает калорийность блюд.

Октенилсукцинат натрия крахмала — один из видов модифицированного крахмала, загуститель и эмульгатор
Модифицированный крахмал получают либо ацетилированием, нагревая его с уксусной кислотой, либо вводя блокирующие группы, которые образуют поперечные сшивки между цепочками полимера.
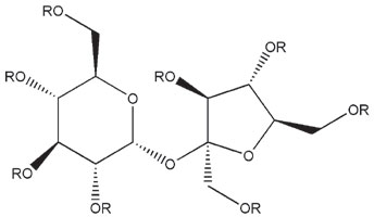
В качестве жирозаменителей используют также мальтодекстрины — крахмал, гидролизованный ферментами или кислотой. В отличие от натурального или модифицированного крахмала, они не образуют глобул, однако хорошо удерживают воду и формируют гели с такими же параметрами, что и жировые шарики, и присутствие мальтодекстринов создает во рту «жирное» ощущение.

Мальтодекстрин
Мальтодекстриновый гель содержит одну часть мальтодекстрина и три части воды, поэтому его калорийность низка, всего 1 кал/г. Однако жирозаменители на основе мальтодекстрина плохо переносят замораживание и оттаивание, нестабильны при высокой температуре и в кислой среде. Тем не менее мальтодекстрины добавляют в жирные начинки кондитерских изделий и в мороженое, ими можно заменить до 15% жира без ущерба для вкуса продукта.
Помимо крахмала в ход идет целлюлоза. Это тоже глюкозный полимер, только звенья глюкозы соединены в нем β-связями, отчего каждое последующее звено повернуто на 180 градусов относительно предыдущего. Поэтому целлюлоза образует не гранулы, а длинные цепи. Набухшая целлюлоза формирует гель, который используют как пищевой стабилизатор. На вид он глянцевый, на вкус приятен и в кишечнике не усваивается, поэтому не содержит калорий. Целлюлозу используют в основном в хлебобулочных и жареных изделиях, потому что она связывается преимущественно с водой, а не с жиром, и при жарке пища поглощает меньше масла.
Бета-глюканы — еще один полимер, в котором глюкозные звенья соединены β-связями. Подобно целлюлозе, β-глюканы образуют линейные структуры и не перевариваются. Широко распространен жирозаменитель оатрим (от английского oats — «овес») — комбинация β-глюкана и мальтодекстринов овса. Это белый порошок, хорошо растворимый в воде и практически безвкусный. При смешивании с водой он образует жироподобный гель, содержащий всего 1 кал/г. Оатрим термостабилен и подойдет для жарки и выпечки.
К числу неперевариваемых полисахаридов относятся и пектины. Это природные полимеры клеточной стенки травянистых растений, состоят они преимущественно из остатков галактуроновой кислоты. Сейчас пектин получают из кожуры яблок или цитрусовых и добавляют в качестве желирующего агента, загустителя и стабилизатора в торты, печенье, заправки, пасты и глазури, супы и соусы.

Пектин
Чтобы превратить пектин в жирозаменитель, его этерифицируют — навешивают на остатки галактуроновой кислоты метильные группы. Пектины различаются степенью этерификации.
И наконец, камеди. Хотя структурой они не напоминают жиры, их способность образовывать поперечные сшивки и гидрофобные или водородные связи с крахмалом и белком создает иллюзию жирности. Камеди используют в некоторых хлебобулочных изделиях, йогурте, мороженом, супах и соусах, а также в мясных продуктах, которым камеди придают гладкий, сливочный вкус.
В качестве заменителей используют гуаровую и ксантановую камедь и камедь рожкового дерева. Гуаровая камедь — природный полимер из бобов растения гуар Cyamopsis tetraganoloba. Камедь рожкового дерева схожа по строению с гуаровой, но хуже растворяется. Ксантановая камедь — разветвленный полисахарид, который образуют бактерии Xanthomonas campestris, сбраживая глюкозу. Главная цепь полимера представляет собой целлюлозу, а ответвления — остатки глюкозы, маннозы, глюкуроновой кислоты, а также пируватные и ацетильные группы.

Гуаровая камедь
Заменители жира на белковой основе появились в начале 1990-х годов. Их разрабатывали специально для замены жира в пищевых продуктах. Сырьем для них служит сывороточный, молочный или яичный белок (из белой части яйца).
Большинство белковых жирозаменителей состоит из микрочастиц диаметром от 0,1 до 2 мкм, сходных по размерам с жировыми глобулами (0,1–3 мкм). Эти частицы придают конечному продукту кремовую текстуру. Сильного нагревания они не выдерживают, превращаются в гель, поэтому годятся только для холодных молочных продуктов: масла, сыра, мороженого, майонеза, йогурта, заправки для салатов и сметаны. Один грамм таких частиц при использовании в мороженом может заменить 3 грамма жира, что при калорийности 1–4 кал/г дает очень хороший эффект. Сывороточные белки также повышают стабильность пены и гидрофобность поверхности.
Казеин присутствует в молоке в виде больших сферических мицелл, которые формируют наночастицы и обеспечивают большую часть физических ощущений во рту. Он выдерживает нагревание до 140°С, и его можно добавлять в продукты, которым предстоит пастеризация и консервирование. Жарить на таком жирозаменителе все-таки нельзя. Зато он обеспечивает холодность, гладкость и скорость таяния мороженого, а также обволакивающее ощущение во рту, почти как настоящий молочный жир.
Жирозаменители исхитряются получать даже из соевых белков. В сое белка много, около 40%, и основной соевый белок глицинин знаменит своей способностью образовывать гели и эмульсии. У него хорошо сбалансированный аминокислотный состав, и он снижает содержание холестерина в крови. Соя — масличное растение, поэтому сначала получают соевую муку, затем ее обезжиривают и уже из этого сырья при регулируемой кислотности выделяют глицинин. Его добавляют в мясные и молочные продукты, хлеб и конфеты.
А еще есть жирозаменитель из микрочастиц кукурузного белка. Белок растворяют в органических растворителях, затем добавляют воду, и белки осаждаются в виде суспензии микрочастиц. Они кругленькие, гладкие, диаметром от 0,1 до 8 мкм. И калорий в них всего 4 на грамм.
Встречаются еще белковые смеси — жирозаменители, сочетающие в себе животный или растительный белок, камедь, пищевой крахмал и воду.
Ну вот мы и добрались до жирозаменителей на жировой и липидной основе. Их обычно делают из масел и жиров, модифицированных ферментами, а также синтезируют химически. В пище они выполняют все функции жиров и сохраняют стабильность при выпекании и жарке, а от настоящих отличаются тем, что плохо перевариваются, и потому практически не содержат калорий.

Олестра
Пожалуй, один из самых известных жирозаменителей этого класса — олестра. Она состоит из молекул сахарозы, в которой 6–8 гидроксильных групп замещены остатками длинноцепочечных жирных кислот. Олестра — продукт химического синтеза, ее разработала компания «Проктор энд Гэмбл». Из-за большого размера молекулы и содержания неполярных жирных кислот олестру не расщепляют ферменты желудка или поджелудочной железы — она не переваривается. Ее добавляют в картофельные чипсы, крекеры и сырные слойки.
Существуют также полиэфиры сорбитола и раффинозы.
Жирозаменитель салатрим — это смесь молекул, содержащих по крайней мере одну жирную кислоту с короткой цепью (в основном C2:0, C3:0 или C4:0) и хотя бы одну жирную кислоту с длинной цепью (преимущественно стеариновую C18:0), которые случайным образом присоединены к глицериновой основе. Благодаря нестрогому соотношению коротко- и длинноцепочечных жирных кислот, салатрим обладает широким диапазоном свойств, таких как температура плавления, твердость и внешний вид.
В отличие от олестры, салатрим нельзя использовать для жарки, только в холодных условиях и при pH 3–7,5. Он обеспечивает всего 5 кал/г, потому что жирные кислоты с короткой цепью (например, масляная) дают меньше калорий на единицу веса, чем жирные кислоты с более длинной цепью, к тому же стеариновая кислота (основной длинноцепочечный жирный продукт салатрима) плохо усваивается.
И наконец, капренин (капрокаприлобегеновый триацилглицерид) — здоровенная молекула, которую получают из глицерина путем этерификации каприловой (С8:0), каприновой (С10:0) и бегеновой (С22:0) жирными кислотами. Бегеновая кислота усваивается не полностью, что позволяет сэкономить на калориях. Поскольку капренин по свойствам аналогичен маслу какао (его температура плавления близка к температуре тела человека, масло долго хранится, не прогоркая), его используют в шоколадных батончиках, а также в кондитерских покрытиях для орехов и печенья. Капренин выдерживает нагревание до 132°C, что вполне достаточно для кондитерских изделий.

Капренин
Жирозаменители сейчас применяют очень широко, но могут ли они действительно улучшить здоровье сердечно-сосудистой системы и заметно повлиять на общее потребление жиров и калорий? К сожалению, утверждать это безоговорочно нельзя. Начнем с того, что в состав большинства жирозаменителей входят углеводы, а многие специалисты именно углеводную диету считают вредной, провоцирующей диабет и ожирение; жирная, по их мнению, безопаснее (см. «Химию и жизнь» 2022, №9).
Некоторые исследователи утверждают, что углеводы, хотя и не полезны диабетикам, не увеличивают риск сердечно-сосудистых заболеваний. Специалисты Университета Лаваля и Университета Манитобы сравнили влияние молочных продуктов, углеводов и ненасыщенных жиров на факторы риска сердечно-сосудистых заболеваний. В исследовании участвовали 92 человека, которых случайным образом разделили на пять групп. Испытуемые четыре недели сидели на диетах, богатых молочными жирными кислотами; сыром и сливочным маслом; мононенасыщенными жирными кислотами из оливкового масла; полиненасыщенными жирными кислотами из подсолнечного масла. Последняя группа получала пищу с высоким содержанием углеводов и низким содержанием жиров. Все диеты были одинаково калорийны.
Оказалось, что содержание общего холестерина, а также холестерина липопротеинов высокой и низкой плотности в сыворотке крови существенно снизилось, когда 6% энергии молочного жира заменили равным по калорийности количеством углеводов. Аналогичным образом в другом исследовании с участием 75 человек сравнивали влияние жирной и углеводистой диет на массу тела, содержание в нем жира и на уровень инсулина. Оказалось, что за 16 недель рацион с высоким содержанием углеводов и низким содержанием жиров заметно снизил массу тела, общую жировую массу и массу жира в брюшной полости.
Рандомизированное контролируемое клиническое исследование, которое провели иранские специалисты из Тебризского медицинского университета, показало, что ежедневный прием 10 грамм мальтодекстрина в течение двух месяцев не изменил уровень глюкозы в плазме натощак, уровень инсулина натощак или резистентность к инсулину у 25 пациентов с диабетом 2-го типа.
Хотя опыты эти краткосрочные и с малым количеством участников, их результаты, по мнению исследователей, свидетельствуют в пользу жирозаменителей. Однако же употребление этих продуктов не проходит без последствий.
Глюкоза из расщепленного (переваренного) мальтодекстрина быстро всасывается в тонком кишечнике, что может привести к резкому повышению концентрации глюкозы после еды, а это вредно для здоровья.
Ксантановая камедь в дозах от 10,4 до 12,9 грамм в день действует как объемное слабительное средство, правда, без каких-либо неблагоприятных пищевых или физиологических последствий. Гуаровую камедь можно использовать только в низкой концентрации (0,5–1,0%), при более высокой концентрации ухудшаются питательные и сенсорные свойства пищи, а камедь мешает усвоению липидов и белков.
Белковые жирозаменители сохраняют биологические свойства исходного белка, поэтому неполезны людям с аллергией на яйца или молоко.
Пожалуй, больше всего претензий к знаменитой олестре. Известность у нее скандальная. Хотя она не токсична, но иногда усиливает перистальтику, вызывает боль в животе и рвоту. Поскольку олестра не расщепляется и не всасывается в кишечнике, она может помешать усвоению другой пищи, особенно жирорастворимой, в том числе витаминов A, D, E и K. Производители не видят в этом особой проблемы и заявляют, что надо просто витаминов добавлять побольше, и абсорбция будет в норме.
К сожалению, благотворное влияние жирозаменителей на здоровье пока не доказано. Клинических испытаний почти нет, а те, что есть, невелики по объему и зачастую их финансируют производители жирозаменителей. Например, компания «Проктор энд Гэмбл» частично проспонсировала несколько исследований, доказавших пользу олестры.
Нет у исследователей и ответа на вопрос, помогают ли жирозаменители снизить потребление калорий. По некоторым данным, испытуемые, евшие продукты с олестрой, добирали свою обычную ежедневную норму калорий за счет углеводов, а некоторые ее даже превышали. В исследовании, проведенном в Университете штата Пенсильвания, женщинам давали один и тот же йогурт с маркировкой «с высоким содержанием жира» или «с низким содержанием жира». Группа, получавшая нежирный вариант, съела потом за обедом больше, чем группа, которой достался жирный йогурт, и потребляла в результате больше калорий. Оказалось, что эти женщины рассматривали низкое содержание жиров как разрешение на переедание.
Однако не спешите осуждать жирозаменители. В 1990-х годах в США провели серию клинических исследований, посвященных женскому здоровью (Women's Health Initiative). Исследователи интересовались в том числе диетами с низким содержанием жиров и выяснили, что использование жирозаменителей давалось женщинам гораздо легче, чем просто отказ от жиров, например употребление хлеба без масла или маргарина.
Многие эксперты по питанию сходятся во мнении, что при правильном использовании заменители жира могут существенно оздоровить наш стол. Однако жирозаменитель — не волшебное вещество, которое надо лишь проглотить, а дальше уж не наша забота. Его нужно употреблять с рассуждением, прислушиваясь к своим ощущениям и подсчитывая все-таки калории, если вы действительно решили сократить их количество.
Набухшая целлюлоза формирует гель, который используют как пищевой стабилизаторКто-то ещё в перестройку кукарекнул что в советскую колбасу добавляли туалетную бумагу (которой не было). А оказывается это мировая рыночная практика. Расстрелять бы этих всех химиков изобретателей за вредительство. Дело учёных отравителей. Пластиковая каша.
Большинство продуктов сейчас фальсификаты так или иначе, с поддельными свойствами и поддельными вкусами.Молоко пью со времен СССР (у меня нет проблем с лактазой), так вот молоко в СССР было дерьмовым (разбавляли) - сейчас вкуснее. Кефир в СССР был полной рыгаловкой, к тому же просроченной - теперь вкуснее.
Молоко и кефир разные попадаются, хорошие и не очень.В СССР все с одного молкмбината было одного отвратительного розлива. А сейчас для нищебродов предлагаются плохие, а для состоятельных людей, вас кто-то заставляет покупать молоко из нижнего ценового сегмента?
Хлеб как был неважным, так и остался, да ещё почти в весь теперь сыпят сахар, что противно и вредно.Опять по дешману где то хлебом закупаетесь? У меня в соседнем супермаркете своя пекарня - дорого, вкусно.
Говядину не помню чем отличалась, гречку не ел тогда. Красную рыбу не люблю,вермишель дерьмовая была в СССР, хоть и пшеницу твердых сортов в Канаде закупали - наверно разбавляли местной.
были дешёвые качественные консервыабхахатался, что может быть качественного в консервах? А-а-а наверное консерванты!
Лук репчатый теперь особо вонючий после чистки, ещё лет 10 назад был нормальный.где вы видели приятно пахнущий лук?
Картошка как гнила так и гниёт, за что критиковали в перестройку, сейчас это просто нормой сделали.У меня в погребе на даче не гниет - нужно ее выкопать родимую, аккуратно не побив, потом просушить в темноте недели 3, потом аккуратно в погреб и утеплить. Картоха она заботу любит, ну и сорт конечно имеет значение.

Иллюстрация Александра Кука