Оба родились на территории современной Украины. Физик в детстве уехал в Россию, химик в юности — в США. Оба прожили примерно 70 лет. Физику в прошлом году исполнилось бы 110, химику в позапрошлом — 150. Оба совершили великие фундаментальные открытия и, по мнению многих выдающихся ученых (в том числе нобелевских лауреатов), заслужили Нобелевскую премию, но — не получили. Открытие физика, хоть и было сделано почти на полвека позже, привело к созданию наиболее используемого метода обнаружения и анализа открытия химика.
Химик открыл молекулу, структура которой показана на рис. 1.

На рис. 2 показан результат анализа открытия химика методом, который открыл физик через 44 года.

Рис. 2. По оси X — магнитное поле (в гауссах); по оси Y — относительная интенсивность
Задание 1. Назовите физика, химика и их открытия. Что в них было революционного?
Задание 2. Если в молекуле на рис. 1 поменять атомы водорода на атомы хлора и измерить у новой молекулы спектр в тех же условиях (концентрация, разрешение и т. д.), то он а) будет на порядки интенсивнее, что указывает на гораздо большую концентрацию молекулы в растворе, и б) будет состоять в основном из одной широкой линии (примерно как на рис. 3). Объясните наблюдения (а) и (б).

Рис. 3. Спектр молекулы, полученной путем замены в открытии химика атомов водорода на атомы хлора
1. Посмотрите на рис. 1. Чем центральный атом углерода отличается от других?
2. (а) Атомы хлора гораздо больше атомов водорода по размеру. Чему эта разница в размерах может помешать? (б) Какое физическое свойство присуще ядру атома водорода, но сильно отличается у изотопов атома хлора?
1. Ниже на рис. 4 дано изображение молекулы со всеми связями. Посчитайте количество связей у атомов углерода.

Рис. 4
2. (а) Эта молекула способна обратимо присоединяться к двойным связям С=С. (б) Физическое свойство из подсказки 1 имеет отношение к единицам, указанным на оси спектра на рис 2.

Рис. 5. Фото физика (слева) и химика на рабочем месте. С сайтов kpfu.ru и en.wikipedia.org
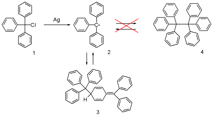
Химик Моисей Гомберг (Moses Gomberg) в 1900 году синтезировал первый стабильный радикал трифенилметил (см. также Triphenylmethyl radical), рис. 1. Физик Евгений Константинович Завойский (Yevgeny Zavoisky) в 1944 году открыл электронный парамагнитный резонанс (ЭПР).
Углерод в стабильных молекулах почти всегда четырехвалентен: атом углерода образует четыре связи четырьмя электронами на внешней электронной оболочке. Если одну из четырех связей порвать, то получится углеродный радикал — молекула с неспаренным электроном (молекула 2 на рис. 6; электрон на химических формулах изображается точкой). Большинство свободных радикалов очень нестабильны и, как правило, быстро димеризуются — сшиваются между собой: два электрона образуют ковалентную связь. До открытия Гомберга многие считали, что долгоживущих радикалов существовать не может.

Рис. 6. Реакция получения радикала Гомберга (трифенилметила, молекула 2) с помощью обработки трифенилхлорметана (молекула 1) серебром. Радикал не может димеризоваться напрямую: молекула 4 не получается. В бензольном растворе он находится в равновесии с молекулой 3, которая получается путем обратимого присоединения радикала к двойной связи одного из фенильных заместителей другой молекулы радикала. Схема с сайта en.wikipedia.org
В случае трифенилметила (его также называют радикал Гомберга) две молекулы не могут создать связь неспаренными электронами на центральных углеродах из-за объемных фенильных заместителей, что существенно удлиняет время жизни молекулы в свободно-радикальном состоянии. Объемные заместители — не единственная причина стабильности. Не менее важная причина заключается в особенностях строения молекулярных орбиталей фенильных заместителей, позволяющих неспаренному электрону делокализоваться («размазаться») по молекуле. Чем электрон делокализованей, тем молекула стабильней, потому что делокализованному электрону труднее создать химическую связь (для создания химической связи электрону нужно «гибридизоваться», «перетечь» или «перепрыгнуть» на молекулярный орбиталь создающейся молекулы, а если он делокализован, то это энергетически затратнее. Когда электрон делокализован, молекула как бы находится одновременно в нескольких квантовых состояниях, которые для простоты называют резонансными структурами (см. теория резонанса): при определенных химических взаимодействиях молекула коллапсирует в одну из таких структур и реагирует соответственно (получается эдакий кот Шрёдингера).
В бензольном растворе радикал Гомберга находится в равновесии с молекулой 3, которая получается путем присоединения радикала к двойной связи одного из фенильных заместителей другой молекулы радикала (рис. 6). Такому присоединению можно помешать, например, заменив маленькие атомы водорода на фенилы, атомы хлора или другие группы. Тогда радикал получается сверхстабильным и не «торопится» реагировать даже с кислородом. При комнатной температуре в растворе присутствует, как правило, 2% радикала Гомберга и 98% димера 3. Поэтому сигнал (линия на спектре) электронного парамагнитного резонанса при любом прямом измерении радикала Гомберга будет на порядки слабее, чем сигнал измерения аналога в такой же концентрации, но с атомами хлора вместо атомов водорода.
Гомберг предположил структуру радикала с помощью доступных тогда методов — элементарного анализа и определения структуры продуктов реакции радикала с кислородом (рис. 7) и другими молекулами. Физического метода для описания радикалов тогда не существовало. То есть, хотя доказательства структуры косвенными методами были вполне убедительны, стопроцентного подтверждения уникальной природы молекулы у Гомберга не было. И даже когда в 1938 году был открыт ядерный магнитный резонанс (ЯМР) и с его помощью научились определять химическое строение веществ, на той стадии развития радикалы и другие молекулы с неспаренными электронами (парамагнитные) анализу этим методом не поддавались.

Рис. 7. Реакция радикала Гомберга с кислородом записанная по современным правилам (А) и записанная Гомбергом (Б) в статье 1900 года
Ситуация изменилась в 1944 году с открытием Е. К. Завойского (рис. 8). Метод электронного парамагнитного резонанса (ЭПР/EPR, в химии также популярен термин электронный спиновой резонанс — ЭСР/ESR) заключается в регистрации резонансного поглощения радиочастотного излучения неспаренными электронами системы (свободнорадикальных молекул и комплексов, содержащих ионы переходных или редкоземельных металлов), помещенной в постоянное магнитное поле. На рис. 2. изображен ЭПР-спектр радикала Гомберга в X-диапазоне, при микроволновой частоте ~10 ГГц, впервые зарегистрированный в 1952 году. Неспаренный электрон свободного радикала взаимодействует с магнитными ядрами (в данном случае — с 1H и 13C), различающимися по их положению в молекуле.

Рис. 8. Реконструкция установки, которую разработал Е. К. Завойский и на которой были зарегистрированы первые спектры ЭПР. Фото с сайта kpfu.ru
Спектр на рис. 2. объясняется следующим образом: все ядра атомов водорода обладают магнитным моментом — так называемым ядерным спином, в то время как среди атомов углерода лишь 1,1% атомов (изотопы 13C) несут ядерный спин. Неспаренный электрон «чувствует» все магнитные ядра в молекуле — каждое взаимодействие между электронным и ядерным спинами проявляется в расщеплении резонансного сигнала на два (в случае водорода и углерода, у которых ядерный спин 1/2; в случае ядер, у которых другой спин, количество линий в результате расщепления будет другим). Взаимодействие любого неспаренного электрона с любым атомом водорода расщепляет резонансный сигнал. Расщепление же от взаимодействия неспаренных электронов с атомами углерода 13C происходит примерно с одним из 100 атомов углерода — то есть интенсивность сигналов, связанных с взаимодействием с атомами углерода 13C, будет в 100 раз слабее. Чем ближе ядро к электрону, тем сильнее будет взаимодействие и тем больше расстояние (в единицах магнитного поля) между расщепленными линиями.
Спектр радикала Гомберга — довольно сложный, что объясняется его структурой: каждая молекула содержит три вида химически эквивалентных атомов водорода: шесть в позиции «орто», шесть в позиции «мета» и три в позиции «пара» (см. орто-, мета-, пара-). Любой из этих наборов эквивалентных ядер взаимодействует с электронами по-своему и дополнительно расщепляет уже расщепленные сигналы, получившиеся в результате других взаимодействий. Степень делокализации электрона также видна на спектре ЭПР. Если электрон локализован на одном из атомов, то константы расщепления (расстояния между сигналами в единицах магнитного поля) от удаленных водородов гораздо меньше.
Если в радикале Гомберга заменить атомы водорода на атомы хлора, то расщепление исчезнет (рис. 3). Это объясняется тем, что основные изотопы хлора (35Cl 75,78% и 37Cl 24,22%) обладают спином ядра каждого изотопа 3/2 и магнитные моменты этих изотопов отличаются друг от друга и от водорода и могут наблюдаться на других частотах, но не в тех же условиях, в которых записан спектр на рис. 2. От атомов углерода 13C, как уже говорилось, сигнал очень слаб.
Спектры подобного рода (как на рис. 2 и еще намного более сложные!) можно моделировать специальной программой, вводя в качестве исходных данных предполагаемую структуру молекулы и измеренные в экспериментальном спектре константы расщепления. Совпадение смоделированного спектра с экспериментальным является, как правило, надежным доказательством правильности определения молекулярной структуры.
Радикалы в наши дни — это важнейшие реагенты и интермедиаты. Например, чрезвычайно коммерчески важна радикальная полимеризация. Стабильные радикалы — по прежнему редки, но и их уже широко используют. Например, стабильный на воздухе радикал ТЕМПО (рис. 9) — популярный катализатор и ловушка для радикалов, используемый при исследовании механизмов реакций.

Рис. 9. Резонансные структуры радикала TEMPO (систематическое название: (2,2,6,6-тетраметилпиперидин-1-ил)оксил). Изображение из статьи V. Baronea и A. Polimenob, 2006. Toward an integrated computational approach to CW-ESR spectra of free radicals
Аналоги радикала Гомберга используют для получения стабильных органических светодиодов (X. Ai et al., 2018. A Stable Room-Temperature Luminescent Biphenylmethyl Radical).
Первый стабильный углеродный радикал без резонансной делокализации электрона (рис. 10) был получен всего 20 лет назад коллаборацией российских и израильских химиков (Y. Apeloig et al., 1999. Synthesis and X-ray Molecular Structure of the First Stable Organic Radical Lacking Resonance Stabilization). Радикал стабилен почти исключительно благодаря объему окружающих групп, не позволяющих радикалу реагировать. Такие радикалы пока экзотика, но теоретически, благодаря их уникальной электронной структуре, со временем могут они быть применены в наноэлектронике.

Рис. 10. Структура первого органического радикала без стабилизации резонансом, полученная с помощью рентгеноструктурного анализа. Неспаренный электрон почти полностью локализован на атоме C10. Атомы водорода не показаны. Изображение из статьи: Y. Apeloig et al., 1999. Synthesis and X-ray Molecular Structure of the First Stable Organic Radical Lacking Resonance Stabilization
ЭПР-спектроскопия используется не только для обнаружения и определения структуры свободных радикалов. Любые системы, содержащие неспаренные электроны, — молекулы и биологические системы со свободными радикалами, органические и неорганические молекулы, содержащие ионы переходных и редкоземельных металлов, кристаллические дефекты, магнитные системы, проводники и сверхпроводники — могут быть эффективно исследованы методом ЭПР. Обладая огромной чувствительностью, метод чрезвычайно полезен для определения изотопного состава пород и определения их возраста (см. Electron spin resonance dating), для обнаружения загрязнений парамагнитными тяжелыми металлами и многих других задач. Есть также потенциал использования ЭПР для диагностики (например, S. C. Kazmierczak et al., 2006. Electron Spin Resonance Spectroscopy of Serum Albumin: A Novel New Test for Cancer Diagnosis and Monitoring), подобно ЯМР, используемому в магнитно-резонансной томографии (MPT).
Современные исследовательские установки ЭПР довольно громоздки (рис. 11) и позволяют измерять спектры с высоким разрешением, в широком диапазоне и при разных температурах.
Рис. 11. Пример современной установки для измерения ЭПР. Фото с сайта uleth.ca
Новейшие модификации спектрометров ЭПР позволили уменьшить регистрирующую часть инструмента до размера нескольких миллиметров, что может пригодиться для определенных нужд той же диагностики и неинвазивных измерений биологических объектов (O. Zgadzai et al., 2018. Electron-Spin-Resonance Dipstick), рис. 12.

Рис. 12. Такой минимизированнй ЭПР-сенсор (в колбе справа) позволит делать ЭПР-измерения вне лаборатории, а также в биологических системах in vivo, не изымая образцы. Графический абстракт статьи O. Zgadzai et al., 2018. Electron-Spin-Resonance Dipstick
Автор благодарит доктора Александра Шамеса (Alexander Shames) из Лаборатории магнитного резонанса кафедры физики факультета естественных наук Университета им. Бен-Гуриона в Негеве за помощь в описании метода ЭПР.




Рис. 1. Открытие химика. Черные шарики — атомы углерода, белые — атомы водорода