
Взаимное притяжение двух металлических тел в вакууме, возникающее на расстояниях менее 1 мкм, называют эффектом Казимира, а силу, с которой тела притягиваются, — силой Казимира. Хотя эффект Казимира известен уже более 60 лет и неоднократно проверялся экспериментально, до сих пор не было ясно, можно ли так подобрать геометрическую конфигурацию двух тел с металлической проводимостью, что между ними будет наблюдаться не притяжение, а отталкивание. Группа физиков-теоретиков из Массачусетского технологического института и Гарвардского университета нашла пример геометрии, в которой два металлических объекта в вакууме испытывают казимировское отталкивание.
Традиционно эффект Казимира объясняют квантовыми флуктуациями электромагнитного поля в вакууме. Согласно принципу неопределенности Гейзенберга, вакуум представляет собой не абсолютную пустоту. В нём постоянно флуктуируют (рождаются и почти сразу исчезают) пары различных частиц и античастиц, среди которых есть и фотоны, то есть кванты — переносчики электромагнитного взаимодействия. Чаще всего эффект Казимира наблюдается в случае притяжения двух параллельных незаряженных металлических пластин. Расчеты показывают, что в пространстве, зажатом между пластинами, число рождающихся фотонов меньше, чем снаружи. Из-за такого дисбаланса в количестве частиц давление, которое оказывают фотоны извне, становится больше давления в зазоре между пластинами, и между пластинами возникает притяжение, которое назвали силой Казимира. В последующих теоретических исследованиях эффекта Казимира обнаружилось, что притягиваться могут не только параллельные пластины, но и тела произвольной геометрической формы. Главное, чтобы они обладали металлической проводимостью.
Через несколько лет после открытия эффекта Казимира советский физик Евгений Лифшиц описал эти квантовые флуктуации и обнаружил, что сила Казимира может возникать не только между металлическими телами с разделяющим их вакуумным промежутком, но и между объектами с произвольными значениями диэлектрической проницаемости. Из такого обобщения эффекта Казимира, впоследствии получившего название «эффект Казимира–Лифшица», следовало, что при определенных соотношениях диэлектрических проницаемостей тел, а также материала, заполняющего зазор, объекты могут не притягиваться, а, наоборот, отталкиваться на любых расстояниях. В начале прошлого года величина этого отталкивания было впервые точно экспериментально измерена (см. Впервые измерена сила отталкивания в эффекте Казимира–Лифшица, «Элементы», 21.01.2009).
Тем не менее до настоящего времени было неизвестно, можно ли подобрать такую геометрию двух тел с металлической проводимостью, разделенных вакуумным промежутком, чтобы вместо казимировского притяжения между ними происходило отталкивание? Иными словами, какую форму должны иметь объекты и как они должны быть расположены, чтобы «чистый» эффект Казимира (не эффект Казимира–Лифшица) приводил к их взаимному отталкиванию без всяких ухищрений с диэлектрическими проницаемостями?
Ответ на этот вопрос смог дать коллектив физиков-теоретиков из Массачусетского технологического института и Гарвардского университета. В журнале Physical Review Letters они опубликовали статью Casimir Repulsion between Metallic Objects in Vacuum (доступную также в Архиве электронных препринтов), в которой описывается пример геометрии с казимировским отталкиванием.
Найденная система состоит из металлической частицы в форме эллипсоида вращения (сфероида), расположенной над центром отверстия в металлической пластине (см. рис. 1). Авторы статьи рассчитали, что взаимодействие частицы с перфорированной пластиной на малых расстояниях приводит к появлению отталкивающей силы Казимира.
Ученые смоделировали упрощенный вариант задачи, рассмотрев поочередно взаимодействие цилиндра (который представляет собой предельный случай сильно сжатого эллипсоида вращения) с перфорированной бесконечно тонкой пластиной и с пластиной конечной толщины. Они исходили из предположения, что цилиндр и пластина изготовлены из «идеального металла» — то есть металла, который совершенно не впускает в себя электромагнитное поле.
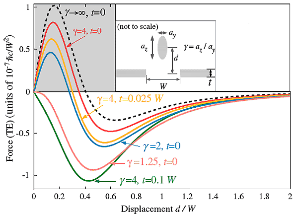
Результаты вычислений показаны на рис. 2. Пунктирные красные линии — это зависимость силы Казимира от расстояния между цилиндром и пластиной с отверстием. Параметры геометрии и схема измерения расстояния приведены на вставке.

Как видно из хода графиков, существует интервал расстояний (от нуля до примерно 300 нм), когда сила Казимира принимает положительные значения. Это значит, что между цилиндром и пластиной наблюдается отталкивание. Интересно, что полученная учеными зависимость немонотонна, и с увеличением промежутка между объектами сила отталкивания меняется на традиционное для эффекта Казимира притяжение (сила Казимира меньше нуля).
Качественно характер зависимости казимировской силы не изменялся и при рассмотрении реалистичной ситуации с золотым (неидеальный металл) цилиндром и такой же пластиной, имеющей ненулевую толщину (голубая кривая на рис. 2): в определенном интервале расстояний (от 0 до 300 нм) происходит отталкивание, которое затем трансформируется в притяжение.
Чтобы определить, как влияет степень сжатия сфероида (отношение его большой полуоси к малой) на поведение казимировской силы, ученые снова рассчитали функцию «сила Казимира — расстояние», зафиксировав размер отверстия в пластине (диаметр отверстия равен 0,002 длины большой полуоси). Выяснилось (рис. 3), что сила Казимира будет отталкивающей, если сжатие сфероида меньше 1,25, а пластина бесконечно тонкая. Для пластины с ненулевой толщиной (в расчетах авторов она составляла 10% от диаметра отверстия) отталкивание имело место только тогда, когда сжатие не превышало 4.

Возникает вопрос: как авторы статьи поняли, что именно в такой, далеко не очевидной, геометрии может возникать отталкивание? На исследование подобной системы их натолкнула классическая задача о силе взаимодействия между незаряженной перфорированной плоскостью и диполем, чья ось ориентирована параллельно плоскости. Если вообразить, что диполь — это сфероид, то решение этой задачи формально приводит к тем же результатам, которые наблюдались для такой геометрии на квантовом уровне (в эффекте Казимира): близко расположенный к пластине диполь отталкивается, а на далеких расстояниях — притягивается.
Исходя из такой аналогии, авторы предложили рецепт обнаружения интересных геометрий для расчета пространственного поведения казимировской силы: надо сначала найти систему, которая математически как-то необычно проявляет себя в случае электростатического взаимодействия, а затем аккуратно перенести результаты на эффект Казимира.
Разумеется, не был обойден вниманием и вопрос экспериментального детектирования казимировского отталкивания. Исходя из графика на рис. 2 нетрудно рассчитать, что максимальное расталкивающее давление в изученной геометрии составляет порядка 10–5 Па, что на один-два порядка меньше существующих экспериментальных методик обнаружения давления в эффекте Казимира. Это, конечно, затрудняет проверку теоретических предсказаний ученых, однако авторы надеются в будущем придумать условия для проверки их предсказания.
Ну и напоследок отметим, что данная система, согласно вычислениям ученых, обладает неустойчивым равновесием, а значит, ни о какой стабильной левитации и, соответственно, применении в каких-либо нанотехнологических процессах говорить не приходится.
Источник: Michael Levin, Alexander P. McCauley, Alejandro W. Rodriguez, M. T. Homer Reid, Steven G. Johnson. Casimir Repulsion between Metallic Objects in Vacuum // Phys. Rev. Lett. 105, 090403 (2010).
См. также:
1) Обнаружена ошибка в расчетах эффекта Казимира для микромеханических устройств, «Элементы», 28.12.2005.
2) Эффект Казимира не может приводить к расталкиванию симметричных тел, «Элементы», 24.10.2006.
3) Впервые измерена сила отталкивания в эффекте Казимира–Лифшица, «Элементы», 21.01.2009.
Юрий Ерин



