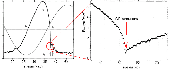
Сонолюминесценцией (буквально, «свечением, порожденным звуком») называют красивое физическое явление: если в воде сфокусировать достаточно мощную ультразвуковую волну, то в центре появляется яркий, точечный источник голубоватого света. Несмотря на то что само явление свечения при пропускании сильной звуковой волны известно уже 70 лет, долгое время оно ставило ученых в тупик. Было ясно, что промежуточным звеном между звуком и светом является процесс кавитации: сфокусированная звуковая волна в фазе разрежения как бы «разрывает» воду, создает пузырек, который затем моментально схлопывается под действием той же звуковой волны в фазе сжатия. Именно в последнее мгновение своего коллапса этот кавитационный пузырек и испускает короткую вспышку света. При стабильной звуковой волне рождение и коллапс пузырька происходят в одном и том же месте тысячи раз в секунду, порождая яркое стабильное свечение.

Главный вопрос, однако, остается без ответа: почему пузырек светится, какова природа этого излучения?
В течение первого полувека своей истории сонолюминесценция изучалась в основном фотографическими методами. Лишь в 1980-е годы были разработаны установки, генерировавшие яркое непрерывное свечение. Это позволило экспериментаторам впервые изучить его спектр, то есть выяснить, свет каких длин волн в нем присутствует, а значит, какие именно молекулы испускают этот свет. Такой спектроскопический анализ всегда был безотказным методом, позволявшим физикам узнать, что и при какой температуре светится, будь то светлячок, вспышка молнии или свет далеких галактик. Однако в случае сонолюминесценции вместо ответа на вопрос возникла еще большая загадка: как показали опыты Б. Барбера из Калифорнии и его коллег, спектр имел гладкий вид, растущий в сторону ультрафиолета, без каких-либо заметных отдельных линий излучения.
Такая картина может иметь место лишь в двух случаях: либо речь идет о «холодном» излучении непонятного происхождения, либо излучение имеет тепловое происхождение, но тогда вещество должно быть нагрето до невероятно высокой температуры в десятки тысяч градусов, то есть больше, чем на поверхности Солнца. В дополнение к этому выяснилось, что из всех жидкостей наиболее яркое свечение наблюдается именно в воде, а точнее, в холодной воде с растворенными в ней благородными газами.