
Космические лучи — высокоэнергетические заряженные частицы, прилетающие на Землю от различных космических источников, — уже более ста лет составляют одну из главных загадок астрофизики. Они играют важную роль практически во всем, что происходит в нашей Галактике, а мы до сих пор не можем с уверенностью сказать, в ходе каких процессов эти частицы образуются и получают свою энергию, а также — как именно они путешествуют по Галактике. В последние двадцать лет физика космических лучей вышла на околоземную орбиту, и теперь ученые могут исследовать эти частицы напрямую. Сейчас на орбите трудятся три детектора космических лучей: AMS-02, CALET и DAMPE. В конце прошлого года коллаборации, работающие с этими детекторами, опубликовали очередную порцию интереснейших данных. Новые результаты, в которых видны странности в спектрах частиц, позволят уточнить теоретические модели и приблизят нас к разгадке происхождения космических лучей.
Существование в атмосфере таинственного вездесущего ионизирующего излучения было обнаружено еще в начале XX века (подробности см. в статье Л. Ткачева История, полная загадок). Вскоре было доказано, что оно имеет внеземную природу и происходит из космоса. По историческим причинам это излучение было названо космическими лучами, как если бы это было электромагнитное излучение. Сейчас мы знаем, что космические «лучи» — это в основном ядра атомов от водорода до никеля (очень редко попадаются и более тяжелые ядра), около одного процента частиц — электроны и позитроны, фотонов же — квантов электромагнитного излучения — совсем мало, порядка 0,1%, и далее мы их обсуждать не будем (кстати, фотоны обычно даже и не рассматриваются как составная часть космических лучей).
Космические лучи изучаются уже более ста лет. Долгое время они были единственным доступным для ученых ускорителем элементарных частиц. В ходе этих исследований было совершено немало важнейших открытий (например, были обнаружены позитроны, мюоны и пионы), некоторые из которых принесли впоследствии своим первооткрывателям Нобелевские премии.

Рис. 2. Количество определенных ядер в составе космических лучей в зависимости от их заряда, нормализованное на количество кремния (кремний выставлен на значение 1000). Для сравнения показано относительное количество тех же элементов в Солнечной системе (синие квадратики). Вторичные элементы, такие как литий (\(Z=3\)), бериллий (\(Z=4\)), бор (\(Z=5\)) образуются при распаде первичных элементов в космических лучах (например, углерода и кислорода). График с сайта pdg.lbl.gov
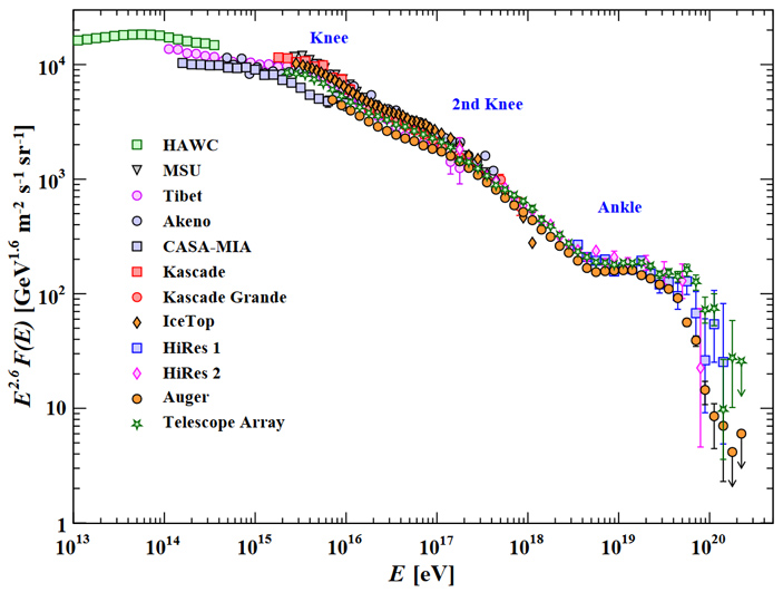
Одна из важнейших характеристик частиц в космических лучах — их энергия. Диапазон очень большой: от единиц МэВ (106 эВ) до сотен ЭэВ (1020 эВ, см. Oh-My-God particle). Наибольший интерес для ученых представляют самые энергичные частицы. Проблема в том, что они же являются самыми редкими: поток космических лучей зависит от энергии по степенному закону с показателем около −2,6 (рис. 1; см. также задачу Степенная зависимость из ничего). Это означает, что за то же время на той же площади будет зарегистрировано в среднем в несколько сот раз меньше частиц с энергией \(10E\), чем частиц с энергией \(E\) (поэтому, например, если в среднем за год можно ожидать одну частицу с энергией 1 ПэВ на один квадратный метр земной поверхности, то для энергии 1 ЭэВ одну частицу нужно ожидать уже на площади 1 кв. км).
Естественное решение проблемы наблюдения высокоэнергетических космических лучей — использование наземных детекторов, которые могут покрывать огромную площадь и время работы которых может измеряться десятками лет. Такие детекторы существуют и успешно работают. Например, обсерватория им. Пьера Оже (Pierre Auger Observatory), расположенная в Аргентине, занимает площадь 3000 км2 (это больше площади Москвы даже с учетом Новой Москвы). Недостаток наземных экспериментов в том, что они наблюдают не сами космические лучи, а лишь вторичные ливни частиц (см. Космические дожди), образующиеся в атмосфере при взаимодействии первичной частицы с молекулами воздуха. Поэтому по их данным очень трудно судить о составе потока космических лучей: эта важнейшая информация ускользает от ученых.
В физике космических лучей есть небольшая путаница с терминами. Слова «первичный» и «вторичный» в этом контексте могут употребляться в двух смыслах. Применительно к наземным экспериментам говорят, что первичный космический луч — то есть частица, прилетевшая из космоса, — рождает ливень вторичных частиц, взаимодействуя с атмосферным воздухом. Физики, работающие с прямыми наблюдениями космических лучей, а также теоретики под первичными космическими лучами чаще подразумевают заряженные частицы, рождающиеся в астрофизических источниках (например, при взрывах сверхновых), а под вторичными — частицы, которые образовались при взаимодействии первичных с межзвездной средой.
Напрашивающийся выход — забраться повыше, в верхние слои атмосферы, туда, куда еще могут долетать первичные космические лучи. Эксперименты на стратосферных шарах принесли немало важных открытий, однако у них есть очевидный недостаток — уж очень короткое время работы (не больше нескольких месяцев). Хорошо бы иметь возможность накапливать статистику в течение хотя бы нескольких лет. Такую возможность дают наблюдения с околоземной орбиты.
В последние несколько лет анализ данных, собранных орбитальными детекторами, принес много важных результатов. О них и пойдет дальше речь.
Уже начиная со «Спутника-2» космические аппараты оснащались детекторами радиации. С их помощью, например, были изучены радиационные пояса Земли, что подготовило почву для освоения космоса человеком (см. Радиационные пояса Земли: открытие и первые исследования). Однако до астрофизических исследований было еще далеко.
Серьезным прорывом был запуск в 1998 году эксперимента AMS-01 (AMS означает Alpha Magnetic Spectrometer — магнитный альфа-спектрометр). Он был установлен на борту шаттла «Дискавери», который выполнял транспортную миссию к станции «Мир». Этот эксперимент длился всего 10 дней и, по сути, служил для проверки работоспособности самой идеи детектирования космических лучей в околоземном пространстве. Его наследник AMS-02 установлен на борту МКС и непрерывно работает с 2011 года (рис. 3).

Рис. 3. Детектор AMS-02 на борту Международной космической станции. Рисунок © Михаил Столповский
Результаты AMS-02 заслуженно считаются золотым стандартом прямых наблюдений космических лучей. Сердцем эксперимента является большой постоянный магнит, в поле которого траектории заряженных частиц искривляются. Это позволяет весьма точно измерить характеристику, называемую магнитной жесткостью частицы:
\[R=\frac{pc}{Z}\approx\frac{E}{Z},\]где \(c\) — скорость света, \(p\) — импульс частицы, \(E\) — ее энергия, а \(Z\) — заряд. Жесткость космических лучей обычно измеряют в гигавольтах (GV). Например, для протона (\(Z = 1\)) один GV жесткости соответствует одному ГэВ (GeV) энергии, для гелия (\(Z=2\)) один GV соответствует 2 ГэВ и т. д. Измерение жесткости полезно тем, что ускорение и распространение космических лучей тоже определяются магнитными полями: вокруг их источника и в рукавах Галактики. Таким образом AMS-02 напрямую измеряет наиболее важную с точки зрения астрофизики характеристику частиц космических лучей.
Еще одним ранним детектором, предназначенным для прямых измерений космических лучей с околоземной орбиты, была PAMELA (см. «ПАМЕЛА» — охотница за космическими лучами), установленная на российском спутнике «Ресурс-ДК». Этот детектор проводил наблюдения с 2006 по 2016 год. Как и у детекторов AMS, у PAMELA был постоянный магнит для измерения жесткости. И хотя размеры этого детектора были немного скромнее, чем у AMS-02, результаты PAMELA подтверждают особенности спектров космических лучей, измеренных в более широком диапазоне командой AMS-02. Тут важно заметить, что размеры детектора играют огромную роль в исследованиях быстро уменьшающегося с энергией потока космических лучей: если ваш детектор маленький, то неважно, насколько он хорош, — на высоких энергиях вы попросту ничего не измерите (слишком редко в среднем будут такие частицы попадать на него).
Иметь возможность напрямую измерить магнитную жесткость космического луча — это хорошо. Но для этого нужен магнит. Ставить на спутнике электромагнит сложно: он потребляет много энергии и сильно греется. А постоянные магниты недостаточно сильны, чтобы заметно изогнуть траектории наиболее энергичных частиц. Поэтому для прямого измерения потоков космических лучей с энергией выше 1 ТэВ используют калориметры. В детекторах этого типа энергетичная частица тормозится и теряет заметную часть своей энергии, «разваливаясь» на вторичные частицы. Это дает возможность измерить энергию самой частицы по продуктам такого «распада».
Схема детекции космических лучей с использованием калориметра реализована в эксперименте NUCLEON, который проводил наблюдения в 2014–2018 годах на борту российского спутника «Ресурс-П2». Интересной особенностью эксперимента NUCLEON было использование еще одной системы измерения энергии заряженных частиц, которая обозначается аббревиатурой KLEM (Kinematic Lightweight Energy Meter). Суть этого метода в том, что на относительно тонкой углеродной мишени начальный космический луч «разваливается» на множество вторичных частиц. Измеряя пространственную плотность этих частиц, можно сделать выводы об энергии начальной частицы. Разрешение по энергии у KLEM значительно хуже, чем у калориметрического метода, всего 60% (это означает, что измеренная энергия может более чем в два раза отличаться от энергии частицы). Однако его рабочий диапазон достигает 1000 ТэВ — при таких энергиях не работают калориметры даже более современных инструментов.
Схема с калориметром реализована в экспериментах CALET (Calorimetric Electron Telescope) и DAMPE (Dark Matter Particle Explorer). Первый — международный, работает на МКС. Второй установлен на адаптированном под этот эксперимент китайском спутнике. Оба эксперимента запущены в 2015 году и в данный момент конкурируют друг с другом: на основе собранных ими данных каждый год публикуются новые статьи. CALET и DAMPE очень похожи (рис. 3): в центре у каждого из них находится довольно массивный калориметр, а направление прилета частицы и ее заряд определяются в отдельных субдетекторах.
Рис. 4. Схемы строения детекторов CALET (вверху) и DAMPE (внизу). Рисунки из статей O. Adriani et al., 2017. Energy Spectrum of Cosmic-Ray Electron and Positron from 10 GeV to 3 TeV Observed with the Calorimetric Electron Telescope on the International Space Station и J. Chang et al., 2017. The DArk Matter Particle Explorer mission
Практически любая научная статья по космическим лучам начинается с констатации печального факта: несмотря на более чем столетнюю историю их изучения мы всё еще далеки от четких ответов на два простых вопроса — откуда берутся космические лучи и как они распространяются в космосе. Сейчас у ученых есть примерное понимание того, как и где происходит ускорение заряженных частиц до таких колоссальных энергий. Основным механизмом считается разгон в ударных волнах от взрывов сверхновых (см. Степенная зависимость из ничего). Эта теория помогает в первом приближении объяснить степенную зависимость спектра космических лучей. Однако экспериментальные данные показывают более сложную зависимость потока от энергии: показатель степенной зависимости постоянно меняется и вообще различен для разных элементов. То есть и здесь много неясного.
Космические лучи с энергиями вплоть до миллионов ТэВ порождены источниками, расположенными в нашей Галактике (предполагается, что это в основном сверхновые, но пульсары тоже могут играть свою роль). Лучи с более высокой энергией пролетают диск Галактики насквозь, их траектории практически не искривляются в ее магнитном поле. Лучи с энергией меньше нескольких тысяч ТэВ полностью заперты в Галактике и не могут ее покинуть. Наблюдаемый спектр космических лучей (см. рис. 1) складывается из особенностей двух этапов «жизни» заряженной частицы: ее ускорения в окрестностях источника и дальнейшего путешествия через космическое пространство. Оба этих этапа — сложнейшие процессы, описываемые в рамках существующей физики десятками различных параметров. Проблема в том, что в эксперименте для измерения нам доступен лишь спектр космических лучей, описываемый двумя-тремя параметрами. Вспоминаем школьную математику: если количество неизвестных больше, чем количество уравнений, то задача имеет бесконечно много решений (то есть невозможно понять, какое решение — «истинное»). Поэтому так важно измерить не один спектр, а много — для каждого химического элемента в потоке отдельно. Таким образом мы увеличиваем количество «уравнений» и приближаемся к созданию единой теории космических лучей. Как же это происходит?
Начнем с результата, о котором нельзя не сказать, но которого, по сути, нет. Казалось бы, направление прилета космических лучей может много рассказать об их источнике. На деле магнитные поля Галактики настолько сильно искривляют траектории частиц, что поток космических лучей, как мы его видим с Земли, является практически идеально изотропным (однородным по направлениям).
На энергиях от пары десятков ГэВ (частицы с меньшей энергией «отскакивают» от магнитного поля Земли) можно в лучшем случае ожидать дипольную неоднородность в направлении прилета на уровне 10−4: с одной стороны небосвода поток космических частиц будет на одну сотую процента сильнее, чем с другой. Неоднородность возникает из-за различных факторов — движения Земли и Солнца сквозь поток космических лучей, неоднородности галактических магнитных полей и неоднородного распределения источников вокруг наблюдателя. До сих пор ни один космический эксперимент не накопил достаточной статистики, чтобы измерить этот эффект. Кстати, наземные эксперименты измеряют неоднородности прилетов частиц, но это уже энергии в десятки ТэВ (десятки тысяч ГэВ) и выше (см. Обнаружена неоднородность в направлениях прилета космических лучей ультравысоких энергий, «Элементы», 21.09.2017). На такой энергии космическим детекторам потребуются сотни лет, чтобы собрать достаточно статистики для измерения неоднородностей (уж очень они маленькие по сравнению с наземными экспериментами).
Считается, что ядра водорода (заряд \(Z=1\)), гелия (\(Z=2\)), углерода (\(Z=6\)), кислорода (\(Z=8\)), неона (\(Z=10\)), магния (\(Z=12\)), кремния (\(Z=14\)), серы (\(Z=16\)), железа (\(Z=26\)) и никеля (\(Z=28\)) в составе космических лучей происходят напрямую из источников — взрывов сверхновых и других. Как уже отмечалось выше, эти частицы называют первичными космическими лучами. Интересные результаты по потокам первичных ядер были представлены командой эксперимента AMS-02 на недавних конференциях (Q. Yan, V. Choutko, 2022. Unique Properties of Primary Cosmic Rays: Results from the Alpha Magnetic Spectrometer). Сверхновые являются доказанным источником космических лучей: в статье, опубликованной в 2013 году командой космического гамма-телескопа «Ферми», показано, что остатки сверхновых действительно являются космическими ускорителями частиц (M. Ackermann et al., 2013. Detection of the Characteristic Pion-Decay Signature in Supernova Remnants). Вот только если это единственный источник высокоэнергичных ядер, то мы могли бы ожидать сходство спектров для потоков различных ядер на разных энергиях.
Но, как показали данные AMS-02, единства среди космических лучей не наблюдается (рис. 5). Гелий, углерод, кислород, железо и никель принадлежат к одной группе: их потоки ведут себя одинаково в зависимости от энергии. Неон, магний, кремний и сера ведут себя иначе. Как отмечают ученые из коллаборации AMS-02, протоны (ядра водорода) в космических лучах, по-видимому, являются смесью из представителей обеих групп.

Рис. 5. Спектры (поток в зависимости от магнитной жесткости) некоторых первичных космических лучей. Отчетливо видно, что гелий, углерод и кислород принадлежат к одной группе (к ней же относятся железо и никель), в то время как неон, магний и кремний — к другой (в которую также входит сера). Потоки нормализованы по вертикальной оси, чтобы их можно было показать на одном графике. Все потоки умножены на жесткость в степени 2,7, иначе все графики выглядели бы как очень быстро падающие линии и разобрать, что к чему, было бы невозможно. График из статьи Q. Yan, V. Choutko, 2022. Unique Properties of Primary Cosmic Rays: Results from the Alpha Magnetic Spectrometer
Самое простое объяснение, которое можно дать такому поведению, — различные источники для частиц из этих двух групп. Но тогда получится, что одни сверхновые «светятся» углеродом и кислородом, а другие — магнием и кремнием!.. Звучит очень странно. В чем там дело — пока непонятно.
На более высоких энергиях для протонов и гелия коллаборация DAMPE доложила о наблюдении интересной особенности — горба в спектре на энергии около 8–10 ТэВ на нуклон (рис. 6, см. M. Stolpovskiy, 2022. Latest results from DAMPE). Это измерение стало подтверждением предыдущих результатов, в частности, полученных на детекторе NUCLEON, который с несколько меньшей статистической значимостью наблюдал сходное поведение в потоках этих ядер.
Рис. 6. Спектр протонов (слева) и гелия (справа) по данным DAMPE и других экспериментов. Графики из статьи M. Stolpovskiy, 2022. Latest results from DAMPE
В астрофизике космических частиц принято показывать спектры, умножая их на энергию (или жесткость) в определенной степени. Без этого спектр в первом приближении падает со степенной зависимостью \(E^{-\gamma}\), где \(\gamma\) — спектральный индекс — принимает значения в районе 2,6–2,7. После умножения спектр оказывается относительно плоским и на нем отчетливо становятся видны все особенности. Горб в спектре рис. 6 не означает, что на энергии в 10 ТэВ поток космических лучей увеличивается. Поток постоянно падает с ростом энергии, просто на энергиях от 1 до 10 ТэВ он падает чуть медленнее (говорят, что спектр стал «жестче»), а начиная от 10 ТэВ падает чуть быстрее (спектр стал «мягче»).
Данные по углероду и кислороду пока опубликованы только коллаборацией CALET (рис. 7; CALET Collaboration, 2020. Direct Measurement of the Cosmic-Ray Carbon and Oxygen Spectra from 10 GeV/n to 2.2 TeV/n with the Calorimetric Electron Telescope on the International Space Station). Аналогично тому, что наблюдается в спектрах протонов и гелия, CALET видит, что на энергиях около нескольких сотен ГэВ на нуклон потоки этих элементов становятся жестче.

Рис. 7. Спектры углерода (вверху) и кислорода (внизу) по данным эксперимента CALET. Энергия перегиба, после которого спектр становится жестче, указана зеленой полосой. CALET Collaboration, 2020. Direct Measurement of the Cosmic-Ray Carbon and Oxygen Spectra from 10 GeV/n to 2.2 TeV/n with the Calorimetric Electron Telescope on the International Space Station
В ближайшее время коллаборация DAMPE тоже собирается опубликовать свои результаты по углероду и кислороду: на последних конференциях сотрудники DAMPE показывали, насколько хорошо их эксперимент умеет определять ядра с большим зарядом (M. Stolpovskiy, 2022. Latest results from DAMPE). От этого до измерения потока, в принципе, не далеко. Будет совсем удивительно, если горб, наблюдаемый в потоках протонов и гелия, не проявится на углероде и кислороде. Скорее всего, горб все-таки есть. Намек на это виден и в результатах по суммарному потоку углерода и кислорода в эксперименте NUCLEON (рис. 8). Интересны детали: на какой именно энергии будет горб, и насколько сильно будет меняться поток на каждом переломе. От этого будут зависеть будущие модели источников космических лучей и их распространения в хаотичных магнитных полях Галактики.

Рис. 8. Суммарный поток углерода и кислорода по данным эксперимента NUCLEON. Рисунок из статьи D. Karmanov et al., 2020. Spectra of cosmic ray carbon and oxygen nuclei according to the NUCLEON experiment
В физике космических лучей все элементы, не перечисленные в начале предыдущего раздела (то есть кроме водорода, гелия, углерода, кислорода, неона, магния, кремния, серы, железа и никеля), называются вторичными. Это значит, что они образуются при взаимодействии первичных лучей с межзвездной средой. Так, например, почти 100% бериллия и бора в природе образовано именно таким образом. По отношению потоков вторичных и первичных космических лучей было установлено, что первичная частица может петлять между рукавами Галактики миллионы лет, пока не врежется в какую-нибудь звезду или планету (если бы это время было меньше, то, соответственно, меньше было бы вторичных элементов).
Точные измерения потоков некоторых вторичных элементов были представлены коллаборацией AMS-02 (M. Aguilar et al., 2018. Observation of New Properties of Secondary Cosmic Rays Lithium, Beryllium, and Boron by the Alpha Magnetic Spectrometer on the International Space Station). Из опубликованных данных видно (рис. 9), что поведение первичных и вторичных космических лучей разительно отличается друг от друга.

Рис. 9. Сравнение потоков вторичных (Li, Be, B) и первичных (He, C, O) космических лучей. Потоки отмасштабированы по вертикали, чтобы подчеркнуть одинаковое поведение первичных лучей и отличное от них поведение вторичных. Рисунок из статьи M. Aguilar et al., 2018. Observation of New Properties of Secondary Cosmic Rays Lithium, Beryllium, and Boron by the Alpha Magnetic Spectrometer on the International Space Station
Аналогичные результаты были представлены в конце прошлого года коллаборациями CALET и DAMPE (O. Adriani et al., 2022. Cosmic-Ray Boron Flux Measured from 8.4 GeV/n to 3.8 TeV/n with the Calorimetric Electron Telescope on the International Space Station, DAMPE Collaboration, 2022. Detection of spectral hardenings in cosmic-ray boron-to-carbon and boron-to-oxygen flux ratios with DAMPE). На первый взгляд, такое поведение противоречит интуиции: почему на жесткости меньше 100 GV поток вторичных элементов мягче, чем первичных? Почему перегиб в спектре происходит на разных жесткостях? Если вторичные элементы образуются из первичных, то и потоки должны вести себя одинаково.
Модели ускорения и распространения космических лучей показывают следующее: если спектры первичных частиц становятся на определенной энергии более жесткими (как на рис. 8 при ~700 GV) из-за того, что более мощными становятся источники этих частиц, то спектры вторичных частиц должны повторять поведение своих старших собратьев (S. Thoudam, J. R. Hörandel, 2013. Revisiting the hardening of the cosmic ray energy spectrum at TeV energies). Однако, если перелом в спектре первичных элементов обусловлен физикой распространения частиц в межзвездной среде, то перелом в спектрах вторичных лучей будет еще сильнее, чем у первичных (N. Tomassetti, 2015. Cosmic-ray protons, nuclei, electrons, and antiparticles under a two-halo scenario of diffusive propagation). Но пока что эти объяснения не позволяют построить полную теоретическую модель наблюдаемого поведения первичных и вторичных космических лучей.
В измерении потока электронов «отличился» эксперимент DAMPE. Менее чем через два года после запуска детектора на орбиту, работающие с ним ученые опубликовали график, показанный на рис. 10 (DAMPE Collaboration, 2017. Direct detection of a break in the teraelectronvolt cosmic-ray spectrum of electrons and positrons). Ключевая особенность этого графика — и это можно считать безусловным успехом детектора DAMPE — перелом в спектре электронов на энергии ~900 ГэВ.

Рис. 10. Спектр электронов и позитронов по данным DAMPE, в сравнении с результатами других экспериментов. Рисунок из статьи DAMPE Collaboration, 2017. Direct detection of a break in the teraelectronvolt cosmic-ray spectrum of electrons and positrons
Но основное внимание теоретиков привлек не сам перелом, а выбивающаяся вверх точка на 1300 ГэВ. Сразу после опубликования статьи с этим графиком в журнале Nature появились десятки статей с обсуждением возможных моделей темной материи, во взаимодействиях которой могли бы рождаться электроны с энергией 1,3 ТэВ. Увы, уже на протяжении 6 лет DAMPE не обновляет результаты по электронам. Тут можно, конечно, пуститься в рассуждения о политике коллаборации: действительно, если бы новые данные (а они есть!) подтверждали наличие пика, то DAMPE был бы заинтересован в их обнародовании. Но в целом и без этих домыслов всем ясно, что видимый «пик» является статистической флуктуацией.
На одной из недавних конференций члены коллаборации CALET проговорились, что они обрабатывают данные с несколькими кандидатами в электроны с энергией до 10 ТэВ (документальных подтверждений этого у автора нет, информация была передана на словах). Если это так, то, учитывая скромные размеры детектора CALET, на графике с рис. 10 правее данных, собранных DAMPE, должно идти повышение спектра. Существуют модели, предсказывающие такое поведение спектра электронов при наличии близкого источника космических лучей. Электрон с энергией в несколько ТэВ теряет энергию на расстоянии всего в несколько тысяч парсек, а значит источник должен находиться в ближней к нам части Галактики. На роль такого источника хорошо подошел бы пульсар в созвездии Парусов, который находится от нас всего в 300 пк (960 световых лет). Ждем публикаций новых результатов CALET и DAMPE!
А что с позитронами (положительно заряженными античастицами электронов)? Детекторы CALET и DAMPE не умеют различать знак заряда частицы и не видят разницы между электроном и протоном. Различие видит только AMS-02. Его результаты приведены на рис. 11.

Рис. 11. Поток позитронов по данным детектора AMS-02 и возможное объяснение наблюдаемого спектра как сумма диффузной компоненты, происходящей от взаимодействия космических лучей с межзвездной средой, и компоненты, происходящей напрямую из источника. Рисунок из статьи M. Aguilar et al., 2019. Towards Understanding the Origin of Cosmic-Ray Positrons
Как видно из графика и прилагающегося уравнения, модель показывает наличие какого-то источника позитронов на энергиях в несколько сотен ГэВ. Что это за источник? Пока что ученые теряются в догадках, однако высказываются предположения, что позитроны могут рождаться в реакциях аннигиляции темной материи. Если это так, то мы становимся еще на шаг ближе к пониманию природы этой загадочной субстанции.
Нынешнее поколение детекторов для прямого наблюдения космических лучей с околоземной орбиты принесло немало потрясающих результатов. Помимо чисто научных к таким результатам можно отнести и осознание ошибок в проектировании детекторов. С их учетом спроектированы и в данный момент готовятся к запуску аппараты нового поколения. Для физики космических лучей несомненным лидером станет детектор HERD, который будет установлен на борту китайской космической станции. Особенностью этого детектора будет его всенаправленность: в отличие от DAMPE и CALET он сможет регистрировать частицы, прилетающие с любого направления, а не только «сверху». Это позволит значительно увеличить эффективную площадь детектора, что принципиально важно при регистрации космических лучей с большой энергией, поток которых очень слаб. К тому же HERD будет оборудован высоко-гранулированным калориметром, собранным из отдельных кубиков. Новейшие методы обработки данных, в частности с применением машинного обучения, дадут в случае HERD беспрецедентное разрешение в определении типа прилетающих частиц.
На энергиях порядка нескольких ПэВ наземные эксперименты уже давно обнаружили сильный излом в потоке космических лучей — так называемое «колено» (knee на рис. 1, там же показано и совсем уж таинственное «второе колено»). С чем связано «колено», до сих пор непонятно. Возможно, магнитное поле Галактики на больших энергиях не способно удерживать космические лучи. А может быть, астрофизические ускорители частиц имеют такой предел мощности. Возможны и более экзотические сценарии, коих физики-теоретики придумали еще с десяток. Чтобы выбрать правильную теорию, надо тщательно промерить «колено» для разных составляющих потока космических лучей. Но, как мы говорили в начале, наземные установки плохо годятся для определения типа частиц. Детальное изучение «колена» является своего рода святым граалем физики космических лучей. Согласно расчетам, HERD сможет измерить «колено» для ядер водорода и гелия, — основных компонентов космических лучей. К сожалению, даже для HERD поток более тяжелых элементов на энергии в несколько ПэВ чрезвычайно слаб. Но тем интереснее будет разрабатывать и строить новые поколения спутников-детекторов космических лучей.
Михаил Столповский
Практически любая научная статья по космическим лучам начинается с констатации печального факта: несмотря на более чем столетнюю историю их изучения мы всё еще далеки от четких ответов на два простых вопроса — откуда берутся космические лучи и как они распространяются в космосеПо-моему, это бесконечная история. (
Чтобы выбрать правильную теорию, надо тщательно промерить «колено» для разных составляющих потока космических лучейТакая "правильная теория" существует и она еще четверть века назад объяснила природу сверхвысокой энергии космических лучей очень просто: частицы КЛ ускоряются под действием притяжения масс Вселенной, или - как по Маху - в результате притяжения далеких звезд.
Лучи с энергией меньше нескольких тысяч ТэВ полностью заперты в Галактике и не могут ее покинуть.является в принципе неверным. Потому что источниками КЛ даже сверхвысоких энергий могут быть обычные звезды, а не только взрывы сверхновых.
Неоднородность возникает из-за... и неоднородного распределения источников вокруг наблюдателя. До сих пор ни один космический эксперимент не накопил достаточной статистики, чтобы измерить этот эффект.Как раз источники КЛ любых(!) энергий (в "правильной теории" ими могут быть обычные звезды) распределены во Вселенной достаточно равномерно.
Основным механизмом считается разгон в ударных волнах от взрывов сверхновых (см. Степенная зависимость из ничего). Эта теория помогает в первом приближении объяснить степенную зависимость спектра космических лучей. Однако экспериментальные данные показывают более сложную зависимость потока от энергии: показатель степенной зависимости постоянно меняется и вообще различен для разных элементов. То есть и здесь много неясного.Степенная зависимость энергий КЛ целиком и полностью отражает вероятностную картину, которую предполагает "правильная теория": чем бОльшее расстояние приходится преодолевать частице КЛ, чтобы разогнаться до сверхвысоких скоростей и энергий за счет гравитационного ускорения, тем меньше вероятность того, что она не встретит на своем пути препятствие.
Самое простое объяснение, которое можно дать такому поведению, — различные источники для частиц из этих двух групп. Но тогда получится, что одни сверхновые «светятся» углеродом и кислородом, а другие — магнием и кремнием!.. Звучит очень странно. В чем там дело — пока непонятно.Конечно, источники КЛ, разгоняемых не электромагнитными полями и мгновенно, а обычной гравитацией и на протяжении миллионов лет, могут быть какие угодно, начиная с обычных звезд.
покажите числамиДля разгона любой частицы или тела до скорости света c ≈ 3*10^8 м/с, за время t = 46 млрд. лет (ровно столько свет пролетает от или до края видимой Вселенной), теоретически, достаточно постоянного гравитационного ускорения
По факту, центр масс рассматриваемой половины Вселенной располагаетсяНиколаус, я совсем не астрофизик, но моего университетского математического образования хватает на то, чтобы понимать: школьные формулы для расчета скорости и ускорения никак не могут быть использованы в такого рода рассчетах. Это нелепо, и просто смешно.
Допустим, я не принял во внимание каких-то важных факторов.Не факторов, а фактов ;)
Скажем, ошибся на 2-3 порядка. Все равно это даже близко не дотягивает до наблюдаемой энергии космических лучей.А каков порядок величин, приходящийся на массу никем не обнаруженной темной материи?
Когда разговариваешь с автором экстравагантной теории, приходится вставать на его позицию, и уже с нее доказывать, что теория не работает.Если речь идет о "правильной теории", то вы ничуть не встали на позицию её автора.




Рис. 1. Спектр космических лучей по данным разных наземных детекторов. На графике отмечены основные особенности спектра: два «колена» (Knee и 2nd Knee) и «лодыжка» (Ankle). Обе оси — логарифмические. Обратите внимание, что график нормирован: показана зависимость от энергии не просто потока частиц, а потока, умноженного на энергию в степени. Это сделано для того, чтобы компенсировать очень быстрое убывание величины потока, — иначе бы на графике ничего не было видно, кроме быстро убывающей кривой. График с сайта pdg.lbl.gov