
Для освоения песни молодым самцам нужно обучаться у опытных вокалистов. Сроки этого обучения неодинаковы. У одних видов оно происходит лишь в первые месяцы, у других может продолжаться с началом сезона размножения. Наконец, многие виды обладают так называемой «открытой моделью обучения» — они могут пополнять свой репертуар в течение всей жизни. Авторы недавнего исследования показали, что продолжительное освоение песни не только позволяет запомнить больше песенных элементов, но и ускоряет эволюцию песни и социальных систем птиц. Такая взаимосвязь свидетельствует о том, что половой отбор влияет на характеристики песни не только напрямую, но и опосредованно — через продолжительность временного «окна», за которое происходит обучение.
Хотя звуковая коммуникация широко распространена в мире птиц, настоящую песню сумели освоить лишь три группы: это колибри (Trochilidae), попугаи (Psittaciformes) и, конечно, певчие воробьиные (Passeri) — самая многочисленная среди современных групп птиц. В отличие от других звуковых сигналов, для полноценного освоения песни обычно требуется модель для имитации. В роли такой модели выступают взрослые самцы, которых слышит молодая особь. Большинство птиц избирательно запоминает песни своего вида на основе врожденных установок, хотя есть и такие, кто копирует сигналы других видов или посторонние звуки. Наряду с имитацией, новые элементы могут появляться в результате импровизации, но обычно ее вклад не слишком значителен. Период, в течение которого самец может освоить новую песню, варьируют у разных видов. Выделяют две принципиальные модели обучения: «закрытую» и «открытую». В первом случае активное обучение происходит лишь в молодом возрасте, во втором освоение новых песен продолжается в течение всей жизни.
С помощью песни самец не только охраняет свою территорию, но и привлекает самок, поэтому многие ее черты находятся под действием полового отбора. В одних случаях — это касается видов с небольшими репертуарами — самки отдают предпочтение хорошо знакомым или более типичным для их вида песням. В других случаях успехом пользуются самцы, которые обладают наиболее разнообразным репертуаром. Исходя из этого, можно предположить, что половой отбор влияет и на сроки обучения. Однако направление причинно-следственной связи здесь не очевидно: то ли появление открытой модели повлекло за собой увеличение разнообразия звуков песни, то ли, наоборот, расширение репертуара способствовало удлинению периода обучения (см. N. Creanza et al., 2016. Cultural niche construction of repertoire size and learning strategies in songbirds).
Авторы исследования под руководством Николь Креанза (Университет Вандербильда, США) детально проанализировали взаимосвязи между моделями обучения и характеристиками пения. Они обобщили литературные данные по особенностям песни и характеру ее освоения у 67 видов, представляющих 24 семейства певчих воробьиных птиц.
Пути эволюции песен нельзя проследить непосредственно, но можно реконструировать их, опираясь на сравнительный метод. Для этого нужно сопоставить вокальные данные современных видов и их эволюционное родство. Авторы разделили виды на две группы — с закрытой и открытой моделями обучения песне. Также применили и более детальную классификацию, разбив последнюю группу на тех, кто запоминает новые звуки лишь до начала размножения — как правило, в первое лето жизни («ранняя стабилизация репертуара»), и тех, кто продолжает осваивать новые песни после начала размножения («отложенная стабилизация репертуара»). Правда, такие подробности были известны лишь для 59 видов. У них проанализировали и саму продолжительность временного «окна», в течение которого может происходить пополнение репертуара.
Авторы обобщили данные, описывающие сложность и структуру песни изучаемых видов. В первую очередь их интересовал объем репертуара — его оценивали через число отдельных слогов и их устойчивых последовательностей (песен), которые исполняет самец. Помимо этого, проанализировали ряд других черт вокализации, такие как число слогов на песню, интервал между песнями и их продолжительность.
Далее авторы посмотрели, как тип песенного обучения ложится на «родословное древо» видов (рис. 2). Само это древо позаимствовали из сравнительно свежей публикации, в которой была предпринята попытка реконструировать родственные связи для всех современных птиц (W. Jetz et al., 2012. The global diversity of birds in space and time). Конечно, такого рода обобщения нельзя считать окончательным вердиктом: ход филогенеза периодически пересматривают в свете новых данных морфологии, генетики и других дисциплин. Тем не менее, несмотря на возможные неточности, сопоставление продемонстрировало, что «открытая» модель обучения пению неоднократно появлялась и возникала в различных эволюционных ветвях воробьиных.
Рис. 2. Филогенетическое древо, объем репертуара и модели обучения. A — бинарная классификация (открытая и закрытая модели обучения), B — классификация на три группы (виды с закрытой моделью обучения разделены на представителей с ранней и отложенной стабилизацией репертуара). Цвет ветвей древа отражает реконструированные величины объема репертуара у предковых видов, а концевые части ветвей соответствуют объему репертуара у современных видов, перечисленных в подписях. Цвет вертикальных линий обозначает семейство, список которых представлен в центре рисунка. Круговые диаграммы в узлах древа демонстрируют соотношение вероятностей, с которыми общий предок пары видов имел ту или иную модель обучения. Рисунок из обсуждаемой статьи в eLife
Авторы использовали специальный алгоритм, который, основываясь на данных о современных видах, позволил реконструировать модель обучения у их предков. Аналогичный алгоритм позволил реконструировать и другие характеристики песни у предков. Сопоставляя реконструкцию с временем дивергенции тех или иных видов, можно оценивать и скорость эволюции признаков. Конечно, сделать это можно лишь с той или иной вероятностью, и чем «глубже» мы спускаемся к основанию родословного древа, тем более шаткими становятся наши суждения. Поэтому любые вычисления повторяют много раз, используя целый набор потенциальных реконструкций, и усредняют полученные результаты.
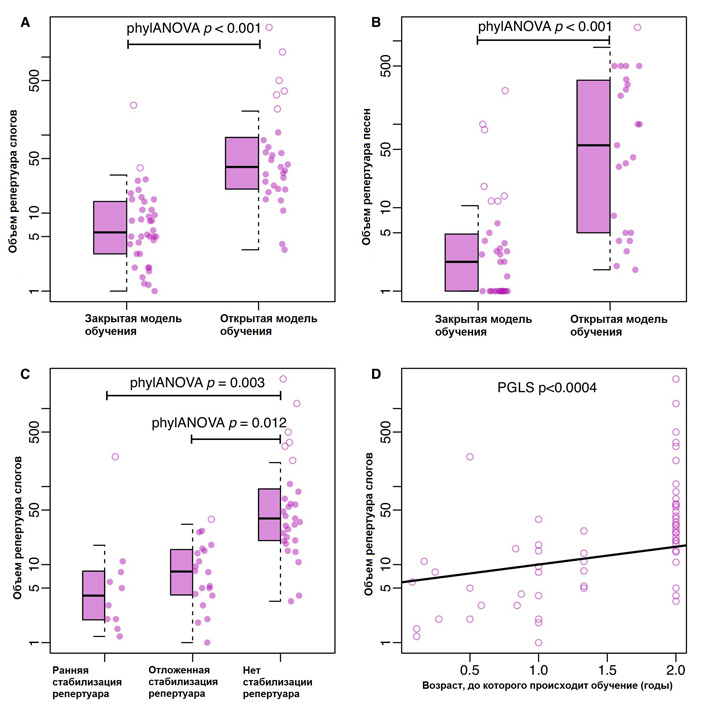
Как видно из рис. 2, модель обучения песне в ходе эволюции неоднократно менялась в самых разных группах птиц. Если предположить, что общий предок обладал открытой моделью, то характер обучения песни в ходе эволюции менялся, по крайней мере, 7 раз. Обратное допущение потребовало как минимум 9 случаев смены модели. При этом между открытым типом обучения и разнообразием песенных слогов прослеживается явная связь — светлые ветви дерева, соответствующие видам с богатым репертуаром, обычно завершаются белыми кружками, обозначающими открытую модель. Конечно, можно заметить и исключения. Например, репертуар болотной камышовки (Acrocephalus palustris, семейство Acrocephalidae) чрезвычайно разнообразен. Наряду с собственными нотами, он включает множество звуков, заимствованных из песен других видов птиц — в том числе обитателей Африки, с пением которых молодые самцы знакомятся на зимовках. Впрочем, уже вскоре после прибытия на «зимние квартиры» их обучение прекращается, и позднее репертуар остается неизменным (F. Dowsett-Lemaire, 1979. The imitative range of the song of the Marsh Warbler Acrocephalus palustris, with special reference to imitations of African birds). А вот репертуар североостровной седлистой гуйи (Philesturnus rufusater, см. North Island saddleback), наоборот, довольно ограничен, несмотря на постоянные изменения в течение всей жизни. Но в целом виды с открытой моделью обучения осваивают более богатый репертуар слогов (рис. 3, A) и песен (рис. 3, B). Среди видов с закрытой моделью группы с ранней и с отложенной стабилизацией репертуара достоверно не отличаются (рис. 3, C) — несмотря на то, что последние учатся дольше. Что касается прочих вокальных характеристик (разнообразия элементов внутри одной песни, ее продолжительности, соотношения песен и пауз) то они никак не зависели от модели обучения.
Рис. 3. Связь между продолжительностью обучения и объемом репертуара слогов (A, C, D) или песен (B). A и B — виды подразделены на две группы (открытая и закрытая модели обучения), С — на три группы (виды с закрытой моделью обучения разделены на представителей с ранней и отложенной стабилизацией репертуара), D — указан предельный возраст обучения в годах. Для видов с открытой моделью условно указаны 2 года. Объем репертуара везде указан в логарифмической шкале. Тест phylANOVA оценивает различия медиан в группах, а PGLS — взаимосвязь между двумя переменными. Значения p < 0,05 соответствуют статистически значимым величинам. При этом оба теста учитывают филогенетические связи между видами и характеризуют зависимости, не обусловленные родством. Рисунок из обсуждаемой статьи в eLife
Сопоставляя порядок ветвления родословного древа и время расхождения тех или иных систематических групп, можно оценить скорость эволюции песенных признаков. Объем репертуара — как слогов, так и песен — медленнее всего менялся у видов с ранней стабилизацией песни. У видов с отложенной стабилизацией репертуар менялся так же быстро, как и у обладателей открытой модели. Ускоренная эволюция указывает на то, что признак находится под воздействием отбора — в данной ситуации, очевидно, речь идет прежде всего о половом отборе. Но, как видно из рис. 3, рост репертуара при этом происходит лишь у группы с открытой моделью. Значит, в группе с отложенной стабилизацией отбор действует в ином направлении; авторы предполагают, что ее преимущество связано со способностью подстроить свое пение к вокальному окружению в месте гнездования или же исправить погрешности в своем исполнении. Виды с закрытой моделью таких возможностей лишены — ведь самцы завершают обучение песне задолго до начала размножения.
Другие черты вокализации — длина песни, продолжительность пауз, соотношение пауз и пения — эволюционировали быстрее у видов с открытой моделью. Но в данном случае изменения не имели определенного направления — поэтому обладатели открытой модели не отличаются по перечисленным характеристикам от прочих видов. Авторы полагают, что ускоренный темп эволюции структурных признаков сопряжен с увеличением размера репертуара, который требует последующей «оптимизации» структуры песни. Но эта «оптимизация» может осуществляться различными путями и не ведет к какому-то однозначному результату. Также структурные изменения могут быть ограничены врожденными особенностями песни, присущими тому или иному виду, или же предпочтениями самок.
Следующий вопрос: какая из характеристик — объем репертуара или продолжительность обучения — оказывается ведущей в эволюции? Иными словами, какие изменения происходят чаще: между «большим» и «маленьким» репертуаром, или же между закрытой и открытой моделями обучения? Здесь авторы применили математическую модель, позволяющую оценить частоту и сопряженность подобных переходов. Трудность состояла в том, что деление репертуаров на «большие» и «маленькие» неизбежно условно — поэтому модельные расчеты проводили многократно, подставляя в качестве порога все имеющиеся в выборке значения. Результаты для репертуара слогов показаны на рис. 4 (результаты для репертуара песен демонстрировали те же закономерности). Как видно, изменения шли в самых разных направлениях, но смена модели обучения все-таки происходила чаще, чем переход в другую категорию объема репертуара. Например, если выбрать низкий порог (рис. 4, A), то виды с открытой моделью и небольшим репертуаром чаще всего «стремятся» перейти на закрытую модель, при этом сохранив свою категорию по объему репертуара. При высоком пороге отчетливо прослеживается «стремление» видов с большим репертуаром от закрытой модели обучения к открытой. Значит, «ведущую» роль чаще играет объем репертуара, а модель обучения «подстраивается» под него.
Рис. 4. Сопряженная эволюция характера обучения песне и объема вокального репертуара (число слогов). Репертуары подразделили на 3 группы: маленькие (до 9,45 слогов), средние (9,45–32,5 слогов) и большие (32,5–2400 слогов). Толщина стрелок соответствует частоте переходов между различными состояниями признаков, подписи к ним — значению этой частоты (в скобках — 95% доверительный интервал). A–С — усредненные результаты вычислений, в которых в качестве порога для размера репертуаров последовательно использовали значения из маленьких (A), средних (B) и больших (C) репертуаров, соответственно. D — статистическая значимость расчетов с различными порогами; p < 0,05 означает, что частота переходов между состояниями одного признака достоверно связана с такой частотой для другого признака. В каждой группе пороговых значений доля статистически значимых моделей превышала 80%. Рисунок из обсуждаемой статьи в eLife
Итак, авторам удалось показать, что половой отбор может воздействовать не только на сам размер репертуара, но и на связанную с ним продолжительность обучения. Понятно, что сама по себе эта характеристика вряд ли «интересует» самок — но, выбирая самцов по их песенным достоинствам, они оказывают косвенное воздействие и на эту способность. Авторы предлагают несколько гипотез, которыми можно объяснить механизм этой взаимосвязи. Во-первых, если вокальный репертуар невелик, то «цена» длительного периода обучения попросту не оправдывает себя. Во-вторых, самки таких видов могут предпочитать самцов, наиболее точно копирующих видоспецифичную песню — в этом случае преимущество получают самцы, которые учатся только от своих отцов и ближайших соседей в ранний период жизни. Если же самки отдают предпочтение большим репертуарам, то обучиться ему за короткий срок может быть либо вовсе невозможно, либо слишком «энергозатратно». Соответственно, преимущество будет на стороне самцов, которые умеют учиться дольше.
Степень полигинии — еще одна черта, важная для полового отбора. Полигиния усиливает конкуренцию между самцами за самок, и можно предположить, что она сказывается и на размере репертуара. Такой анализ представлен в недавней статье тех же авторов, и ее основной результат содержится в заголовке: «Полигиния связана с ускоренной эволюцией песни, но не с увеличением песенного репертуара» (K. T. Snyder, N. Creanza, 2019. Polygyny is linked to accelerated birdsong evolution but not to larger song repertoires). Размер репертуара видов-многоженцев действительно эволюционирует быстрее, но эта эволюция не имеет вектора в сторону увеличения. Во многом это объясняется тем, что самки не всегда отдают предпочтение самцам с обширным репертуаром, а в ряде случаев их выбор и вовсе определяется не песней, а другими факторами — к примеру, окраской самца или доступностью корма его территории. Из этого можно сделать вывод, что открытая модель обучения, которая характерна для видов с богатыми репертуарами, сама по себе не обязательно ведет к полигинии. Действительно, оказалось, что открытая модель увеличивает как частоту смены моногамии на полигинию, так и частоту обратного перехода. Иными словами, брачные системы видов с открытой моделью обучения эволюционируют быстрее, но без определенного направления.
Авторы завершают свою работу вопросами для дальнейших исследований. Во-первых, насколько универсальны обнаруженные закономерности? Охваченные в статье виды представляют лишь небольшую часть современного разнообразия воробьиных птиц, и у многих песня до сих пор не изучена детально. Во-вторых, было бы интересно проследить взаимосвязи между открытой моделью и явлением пересмешничества — копирования звуков, издаваемых другими видами. Среди проанализированных групп оно характерно, например, для семейства пересмешниковых (Mimidae). Детальное изучение таких песен требует раздельных показателей для репертуара собственных нот вида и тех звуков, которые он копирует из окружающей среды. Наконец, можно вспомнить о том, что в мире птиц умеют петь не только самцы (см. новость Пение самок — древний признак у воробьиных птиц, «Элементы», 03.02.2015). Пение самок пока что изучено очень слабо, а о том, как именно они осваивают песню, не известно почти ничего (хотя есть свидетельства в пользу того, что для них тоже может быть характерна открытая модель). Какие факторы влияют на эволюцию песни самок — еще предстоит выяснить.
Источник: C. M. Robinson, K. T. Snyder, N. Creanza. Correlated evolution between repertoire size and song plasticity predicts that sexual selection on song promotes open-ended learning // eLife. 2019. V. 8. P. e44454. DOI: 10.7554/eLife.44454.
Антон Морковин














Рис. 1. Американская горихвостка, или сетофага (Setophaga ruticilla, слева), и желтогорлый певун (Geothlypis trichas, справа) — представители семейства древесницевых (Parulidae), песни которых, среди прочих видов, анализировали в обсуждаемой работе. Эти виды, хотя и родственны друг другу, обучаются песне по-разному: американская горихвостка может пополнять свой репертуар в течение всей жизни, тогда как желтогорлый певун запоминает новые песни лишь в раннем возрасте. Фотографии Дональда Джонса (Donald M. Jones) с сайта naturepl.com и Вольфганга Вандера (Wolfgang Wander) с сайта pbase.com