
Как выяснилось в последнее время, потоки космических электронов и позитронов высоких энергий демонстрируют неожиданные закономерности, которые трудно объяснить известными астрофизическими процессами. Кто-то видит здесь долгожданные проявления частиц темной материи, другие считают, что космические электроны и позитроны рассказывают нам нечто новое об астрономических объектах, их порождающих. И те, и другие с нетерпением ждали новых наблюдательных результатов. И вот за последний месяц были опубликованы результаты анализа наблюдений сразу трех установок: HAWC, CALET и DAMPE. Они не только ответили на некоторые вопросы о космических электронах и позитронах, но и привнесли интригу, резко придав этой области исследований новый импульс.
Несмотря на свою более чем столетнюю историю изучения, космические лучи не перестают удивлять физиков новыми загадками. Космические лучи — это обычные элементарные частицы — электроны, протоны, ядра, — но только они прилетают к нам из далекого космоса и несут в себе информацию о тех астрофизических объектах, которые их породили и ускорили до высоких энергий. Говоря попросту, космические лучи — это еще один инструмент, с помощью которого мы можем изучать Вселенную и, одновременно с этим, прощупывать фундаментальные свойства микромира.
Две самых главных характеристики космических лучей — это их состав (доля протонов, ядер, электронов, а также их античастиц) и спектр (как поток космических лучей зависит от энергии). Спектр космических лучей в широчайшем диапазоне энергий от нескольких ГэВ до почти триллиона ГэВ (1021 эВ) на удивление простой, см. рис. 2. Сначала поток спадает с ростом энергии примерно по степенному закону Eγ с показателем γ ≈ −2,7, затем примерно на трех миллионах ГэВ происходит излом, и дальше спектр идет уже чуть круче, с показателем γ ≈ −3,1. При самых высоких энергиях, на пределе доступной статистики, есть еще несколько спектральных особенностей, но в этой новости мы их касаться не будем.
Рис. 2. Спектр различных компонентов космических лучей. Рисунок с сайта w3.iihe.ac.be
Этот излом, который на жаргоне физиков называется «коленом», — очень ценная особенность спектра. Его наличие говорит о том, что на таких энергиях переключаются режимы ускорения и распространения космических лучей: ниже излома доминирует один режим, выше излома — он либо не работает, либо истощается. Что это за доминирующий механизм и какие метаморфозы с ним происходят в районе нескольких миллионах ГэВ — вопросы полемические, но как минимум сам предмет спора, безусловно, присутствует.
Аналогичный спектр можно построить и для других частиц, например, космических электронов. Их прилетает к нам поменьше, их энергии достигали лишь сотен ГэВ (по спутниковым наблюдениям) и нескольких ТэВ (по данным наземного гамма-телескопа H.E.S.S.), но спектр выше 1 ГэВ у них тоже примерно степенной, с показателем примерно −3,1.
Впрочем, в конце 2000-х сначала детектор ATIC, а затем — куда более надежно — H.E.S.S. увидели в районе 1 ТэВ намек на спектральный излом, электронный аналог «колена» в спектре протонов, но при другой энергии (рис. 3). В 2015 году об аналогичном изломе сообщил и гамма-телескоп VERITAS. Однако это все были наземные установки, которые не ловят непосредственно электроны, а наблюдают за свечением порожденных ими широких атмосферных ливней. ATIC, правда, запускался на воздушном шаре; но у него и погрешности самые большие. Для того, чтобы окончательно установить излом в спектре, надо подтвердить его на спутниковых детекторах космических электронов. Однако это задача очень непростая, поскольку электроны с энергией 1 ТэВ вызывают внутри детектора такой большой ливень, что аккуратно измерить его энергию до сих пор не удавалось.

Рис. 3. Спектр космических электронов в окрестности 1 ТэВ и намек на излом. Рисунок из статьи F. Aharonian et al., 2009. Probing the ATIC peak in the cosmic-ray electron spectrum with H.E.S.S.
Что касается состава космических лучей, то тут тоже была целая россыпь загадочных результатов. Один из них — это неожиданный рост доли позитронов по сравнению с электронами выше десятка ГэВ. Позитронов оказалось слишком много — и непонятно, откуда они берутся!
Впервые эту удивительную особенность подметила спутниковая обсерватория PAMELA в 2008 году, а затем она была подтверждена куда более точными и обширными данными гамма-обсерватории Fermi-LAT и установкой AMS-02, крупнейшим на сегодня детектором космических лучей, выведенным на орбиту и прикрепленным к Международной космической станции (подробную историю вопроса см. в новости Есть ли вообще проблема с космическими позитронами?, «Элементы», 18.11.2013).
Позитронная загадка в свое время сильно взбудоражила научное сообщество. Поначалу физики полагали, что никакие астрофизические источники позитронов такой «спектральный финт» выдать не смогут, — а значит, перед нами долгожданное проявление аннигиляции или распада частиц темной материи. Но быстро выяснилось, что за излишек позитронов могут быть ответственны пульсары — активные быстро вращающиеся и сильно замагниченные нейтронные звезды, которые в больших количествах производят электрон-позитронные пары высоких энергий. Такие пульсары известны, и некоторые из них находятся довольно близко по галактическим масштабам — на расстоянии в сотни парсек. После бурного периода интенсивных научных дискуссий эта тема несколько притихла в ожидании новых наблюдательных данных. Начали даже высказываться сомнения по поводу того, что позитронный избыток представляет собой реальную проблему.
И тут за один лишь ноябрь 2017 года вышло сразу три важных статьи с новыми результатами наблюдений, которые резко повысили градус дискуссий. Хотя эти три работы непосредственно друг с другом не связаны, их по занятному совпадению объединяет один момент: все три установки заработали в 2015 году и за год-полтора работы существенно обновили наши знания о космических электронах и позитронах. Ниже мы расскажем об этих работах по порядку.
Во-первых, в середине ноября в журнале Science вышла статья гамма-обсерватории HAWC, которая жестко пресекла все разговоры о том, что позитронный избыток можно легко списать на пульсары. HAWC — это расположенная в Мексике обсерватория, которая наблюдает за далеким космосом не в оптическом диапазоне, а в максимально жестких гамма-лучах. Она начала работу в 2015 году и предназначена для регистрации фотонов с энергией от 100 ГэВ и выше, вплоть до многих ТэВ. Фотонам столь больших энергий, на самом деле, не так-то просто лететь сквозь Вселенную (см. по этому поводу послесловие к задаче Столкновение фотонов). Но от близких объектов — близких по космологическим масштабам, конечно, — такие фотоны долетают без проблем.
В описываемой статье коллаборация HAWC представила снимок двух близких пульсаров, «пышуших» в гамма-диапазоне с энергиями порядка ТэВ. Это жесткое излучение идет из довольно протяженной области с угловым размером в несколько градусов (см. рис. 4). Его источник — не сами пульсары, а электроны и позитроны сверхвысоких энергий, которые эти пульсары ускоряют и выплескивают в окружающее межзвездное пространство. Петляя сквозь ажурный хаос галактического магнитного поля, эти электроны диффундируют, и часть из них достигает Земли. Однако на пути к Земле они успевают поучаствовать в различных процессах. Во-первых, они тратят энергию на синхротронное излучение — и чем дольше они петляют, тем больше энергии растратят. Во-вторых, сталкиваясь с фотонами низких энергий, многотэвные электроны передают им значительную часть своей энергии и порождают фотоны в тэвном диапазоне. Именно это свечение и регистрирует HAWC.

Рис. 4. Слева: изображение двух близких пульсаров в жестких гамма-лучах по данным HAWC, справа: пространственное расположение Земли, пульсаров и области, в которой генерируется излучение. Изображение из обсуждаемой статьи в Science
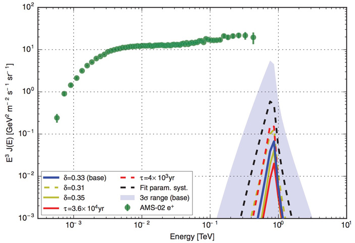
Соединив вместе все элементы паззла — результаты гамма-наблюдений и теоретическое моделирование производства электронов и позитронов в окрестности пульсаров и их распространения в межзвездной среде, — коллаборация HAWC оценила, какую долю позитронов можно списать на эти два близких пульсара. Оказалось, что очень и очень небольшую: никак не более процента, да и то только при самых высоких энергиях (рис. 5). Вывод отсюда однозначный: эти два гамма-ярких пульсара неспособны объяснить загадку космических позитронов. Надо, впрочем, добавить, что результаты HAWC вызывают у некоторых астрофизиков удивление (см. статью Dan Hooper, Tim Linden, 2017. Measuring the Local Diffusion Coefficient with H.E.S.S. Observations of Very High-Energy Electrons), поскольку они не вполне согласуются с ожидаемой картиной диффузии. Так что ситуация тут продолжает оставаться запутанной, и позитронная загадка снова встала в полный рост.

Рис. 5. Позитронный поток с энергиями от доли ГэВ до нескольких ТэВ в земной окрестности. Зеленые точки: наблюдательные данные AMS-02, линии и широкая полоса: оценка вклада двух пульсаров по наблюдениям HAWC. Изображение из обсуждаемой статьи в Science
Вторая важная публикация на тему космических электронов, на этот раз за авторством коллаборации CALET, появилась в журнале Physical Review Letters в начале ноября. CALET — это международный спутниковый детектор космических лучей, прежде всего, электронов, позитронов и гамма-лучей, созданный Японским космическим агентством JAXA в сотрудничестве с Итальянским космическим агентством и NASA. Он был запущен на орбиту в августе 2015 года, размещен на японском секторе Международной космической станции, и в октябре того же года начал набор данных.
В отличие от AMS-02, детектор CALET не обладает собственным магнитным полем и не может так запросто различать электроны и позитроны. Он предназначен, прежде всего, для измерения совокупного их потока в области от 1 ГэВ до 20 ТэВ — и это он умеет делать отменно. Это полностью калориметрический детектор с несколькими слоями калориметров, способный практически полностью поглотить и «переработать» электромагнитный ливень от тэвных электронов (рис. 6). У него выдающаяся для компактных калориметров точность измерения энергии, около 2%, он умеет очень надежно отбраковывать протоны и прочие адроны (на уровне один к ста тысячам), и даже может определять направление прихода частицы по форме электромагнитного ливня.

Рис. 6. Электромагнитный ливень, порожденный электроном с энергией 1 ТэВ и практически полностью поглощенный детектором CALET. Рисунок с сайта calet.jp
На рис. 7 показан первый научный результат детектора CALET — суммарный поток электронов и позитронов с энергией вплоть до 3 ТэВ. Данные простираются в ту область, до которой спутниковые детекторы космических электронов еще не доходили: выше 2 ТэВ имеются данные наземного гамма-телескопа H.E.S.S. (показаны звездочками на рис. 7) и VERITAS, которые, однако, окончательно еще не опубликованы. Видно, что данные CALET отлично согласуются со спектром AMS-02 (синие пустые квадраты на рис. 7), что лишний раз подверждает корректность работы установки. Кроме того, CALET показывает, что выше 1 ТэВ продолжается примерно та же плавная степенная зависимость, что наблюдалась и при более низких энергиях, без каких-либо существенных всплесков и изломов. Степенной показатель спектральной зависимости составляет примерно −3,15 (обратите внимание, что на рис. 7 поток специально умножен на E3, так что от резкой зависимости остается только показатель −0,15). Иными словами, CALET не подтверждает наличие спектрального излома.
Рис. 7. Суммарный поток космических электронов и позитронов в области от 10 ГэВ до 3 ТэВ по данным CALET (красные квадраты) и других обсерваторий (пустые символы). Полоса показывает величину систематических погрешностей. Изображение из обсуждаемой статьи в Physical Review Letters
Впрочем, пару любопытных всплесков тут можно заметить и глазом. Один — плавный бугорок при 150–200 ГэВ, а второй, в виде слабого намека с несущественной статистической значимостью, — в районе 1 ТэВ. На самом деле на эту вторую особенность можно взглянуть и под таким углом: если считать, что три точки при 500–700 ГэВ, наоборот, просели относительно ровной линии, то получится, что, начиная с 1 ТэВ, CALET тоже, вроде бы, видит излом!
Понятно, что при таких больших погрешностях эти рассуждения остаются лишь гаданием. Авторы работы не стали ничего предполагать по этому поводу, ограничившись лишь констатацией факта, что намеки на структуры выше 100 ГэВ требуют дальнейшего изучения. Продолжение, безусловно, последует: установка зарекомендовала себя отлично, ее работа продлится еще несколько лет, и при уменьшении погрешностей выводы станут более определенными.
Не успело научное сообщество еще толком ознакомиться с результатами CALET, как их тут же перекрыли первые данные еще одного спутникового детектора космических лучей, DAMPE. Его название расшифровывается как Dark Matter Particle Explorer («Исследователь частиц темной материи»), что недвусмысленно намекает на связываемые с ним большие надежды: найти в спектре космических лучей доказательство распада или аннигиляции частиц темной материи. В отличие от CALET, он содержит и трековые детекторы, и калориметры, и детектор нейтронов. Энергетический диапазон и погрешности у него сравнимы с детектором CALET, но он нацелен на измерение не только электронов, позитронов, и гамма-квантов, но и адронных компонентов космических лучей, включая различные ядра. Отдельно стоит подчеркнуть, что это первый китайский спутниковый детектор космических лучей. Он был создан и запущен на орбиту в 2015 году в рамках Стратегической исследовательской программы космических исследований — амбициозного научного проекта Китайской академии наук. Благодаря нему Китайская народная республика стала полноправным участником космической астрофизики.
29 ноября в журнале Nature вышла публикация коллаборации DAMPE с измерениями суммарного потока электронов и позитронов с энергиями аж до 4,6 ТэВ (рис. 8). Здесь тоже приведено сравнение с данными спутниковых обсерваторий Fermi-LAT и AMS-02, а также наземного гамма-телескопа H.E.S.S. Данных CALET тут нет, поскольку они во время подготовки статьи еще не были обнародованы, но сопоставление легко провести, глядя на рисунки 7 и 8.

Рис. 8. Суммарный поток электронов и позитронов с энергиями вплоть до 4,6 ТэВ, измеренный обсерваторией DAMPE. Красные кружки — данные DAMPE, пустые символы — результаты более ранних экспериментов. Изображение из обсуждаемой статьи в Nature
Во-первых, данные DAMPE хорошо ложатся на результаты Fermi-LAT, но при этом идут заметно выше, чем у AMS-02 и, как следствие, CALET. Авторы этой работы, однако, пока не придают этому расхождению большого значения: подобное различие может быть вызвано неточной оценкой общего масштаба энергии зарегистрированных частиц, и по мере накопления данных и опыта оно может исчезнуть.
Во-вторых, — и это намного более важный результат, — в данных DAMPE четко прослеживается резкий излом в спектре. Если ниже 0,9 ТэВ данные примерно соответствуют степенной зависимости с показателем −3,1, то выше этого порога зависимость становится намного более крутой, с показателем −3,9. Что происходит на самом краю спектра, при 3–5 ТэВ, говорить пока преждевременно, но не исключено, что тут тоже могут начинать проступать какие-то новые особенности (и, надо сказать, нечто похожее наблюдается и у гамма-телескопа VERITAS).
Итак, по состоянию на сегодняшний день CALET и DAMPE пока что находятся друг с другом в противоречии: один видит неизменный спектр, а второй — резкий излом. Подчеркнем еще раз, что спектральный излом — очень важная черта; она сигнализирует о том, что мы нащупали некую энергетическую границу, до которой «добивает» какой-то вполне определенный космический механизм ускорения электронов. Намеки на этот конфликт можно найти и в более ранних данных, сравнивая данные Fermi-LAT и H.E.S.S., но тогда это можно как-то было списать либо на разницу технологий, либо на недостаточно точные данные на пределе спектральной чувствительности Fermi-LAT. А сейчас у нас есть два спутниковых эксперимента нового поколения, которые заявляют о том, что уверенно вторглись в тэвный диапазон — и при этом расходятся в своих выводах. Совершенно очевидно, что разрешению этого противостояния будет в ближайшее время посвящено немало работ.
Наконец, на том же рис. 8 можно заметить еще одну любопытную особенность — резкий выброс вверх при энергии 1,4 ТэВ. Визуально он выглядит как сильный узкий всплеск, — словно детектор видит избыток электронов и позитронов ровно с такой энергией, — но в реальности его статистическая значимость не столь велика. Коллаборация DAMPE в своей статье вообще обходит его молчанием, словно специально подчеркивая, что статистические флуктуации такого сорта не могут считаться надежным указанием на реально наблюдаемый эффект. Действительно, этот всплеск, во-первых, затрагивает только одну изолированную точку, а во-вторых, две точки по обоим сторонам от нее, наоборот, лежат чуть ниже плавной кривой. В этой ситуации можно лишь осторожно сказать, что подобные флуктуации физикам встречались неоднократно.
При всех этих достаточно очевидных ремарках несколько удивительно обнаружить, какой фурор породил этот спектр и, в особенности, этот изолированный всплеск среди теоретиков. За первую неделю после публикации DAMPE в архиве препринтов вышло свыше 30 теоретических статей, многие из которых пристально обсуждают именно эту аномалию при 1,4 ТэВ. Авторы статей спешат рассказать, какие можно построить модели частиц темной материи, которые дадут тяжелые частицы темной материи с подходящей массой, не вступая при этом в противоречия со всеми остальными астрофизическими наблюдениями. Безусловно, теоретики имеют право стоить модели и предлагать объяснения. Но слишком уж эта ситуация напоминает ровно такой же ажиотаж двухлетней давности вокруг загадочного двухфотонного всплеска при 750 ГэВ, который якобы обнаружил Большой адронный коллайдер. Дополнительную пикантность нынешней ситуации придает тот факт, что подавляющее большинство этих теоретических статьей, многие из которых вышли в первые день-два и сразу же были на удивление обстоятельными, — за авторством исследователей из Китая.
Как бы то ни было, данные и их интерпретации продолжать поступать, и в ближайшие годы можно, вероятно, ждать существенное обновление ситуации с космическими электронами и позитронами.
Источники:
1) HAWC Coll. Extended gamma-ray sources around pulsars constrain the origin of the positron flux at Earth // Science. 17 November 2017. V. 358. I. 6365. P. 911–914. DOI: 10.1126/science.aan4880. Статья также доступна как препринт arXiv:1711.06223 [astro-ph.HE].
2) CALET Coll. Energy Spectrum of Cosmic-Ray Electron and Positron from 10 GeV to 3 TeV Observed with the Calorimetric Electron Telescope on the International Space Station // Physical Review Letters. 2017. DOI: 10.1103/PhysRevLett.119.181101. Cтатья также доступна как препринт arXiv:1712.01711 [astro-ph.HE].
3) DAMPE Coll. Direct detection of a break in the teraelectronvolt cosmic-ray spectrum of electrons and positrons // Nature. 07 December 2017. V. 552. P. 63–66. DOI: 10.1038/nature24475. Статья также доступна как препринт arXiv:1711.10981 [astro-ph.HE].




Рис. 1. Китайский спутниковый детектор космических лучей DAMPE, чьи результаты взбудоражили теоретиков. Рисунок с сайта dpnc.unige.ch