Группа физиков-теоретиков под руководством Ольги Виноградовой, профессора физфака МГУ и заведующей лабораторией в ИФХЭ РАН, создала расширенную теорию течений жидкости в микро- и наноканалах под действием электрического поля. Взяв за основу классическую теорию электроосмоса Смолуховского, ученые предложили новое граничное условие, учитывающее подвижность зарядов на поверхности «жидкость–газ». Это позволило описать результаты экспериментов по электроосмосу пен, которые противоречили ранним теориям. Из результатов работы также следует новая формулировка понятия «дзета-потенциал», играющего огромную роль в коллоидной химии и физике, а также в нанотехнологии.
Смысл новой работы можно лучше всего понять, рассмотрев один из наиболее динамично развивающихся разделов современной нанотехнологии — микро- и нанофлюидику. Этот раздел занимается изучением, проектированием и созданием устройств, внутри которых проложено огромное количество микро- и наноканалов для жидкостей, аналогично тому, как на микросхеме проложены медные дорожки, соединяющие электронные чипы. Сфера применения микрофлюидных устройств достаточно широка; в частности, всё больше и больше внимания сейчас уделяется созданию «лабораторий на чипе». Эти устройства, размером с наручные часы, позволяют проводить химические и биологические анализы с непревзойденной скоростью и эффективностью. Так, портативная лаборатория может на основе одной капли крови выполнить одновременно больше десятка анализов и сразу же вывести результат.
Одна из ключевых проблем, возникающих при использовании микрофлюидных устройств, связана с гидродинамикой: при переходе от макроканалов (водопроводных труб, например) к микро- и тем более наноканалам резко меняется характер поведениях жидкости в таких системах. Следствием этого является невозможность прокачки жидкостей через каналы размером порядка микрон и меньше при помощи традиционных насосов: из-за вязкого сопротивления необходимо прикладывать колоссальные давления, что делает невозможным миниатюризацию таких устройств. Существует два основных направления решения этой проблемы: (1) уменьшение вязкого сопротивления за счет «скользких» стенок канала или (2) использование совершенно других принципов для создания течений, в частности применение электроосмоса.
Почти всегда поверхность раздела «жидкость–твердое тело» оказывается заряжена: наличие примесей и загрязнений, диссоциация поверхностных групп — всё это приводит к появлению поверхностной плотности электрического заряда. Если в жидкости растворено вещество-электролит (например, соль), то заряженные ионы будут взаимодействовать с поверхностью — это прямое следствие закона Кулона. В идеале, на стенку должен адсорбироваться тонкий слой ионов, заряд которых в точности скомпенсирует заряд стенки. Однако из-за броуновского движения ионов в жидкости этот слой размывается до характерной толщины λD, которая заметно больше, чем размер одного иона (рис. 2). Такой слой называют «диффузным слоем», или «дебаевским слоем», а его характерную толщину — дебаевской длиной, по имени Петера Дебая, теоретически описавшего его строение. Говорят, что дебаевский слой «экранирует» заряд поверхности, так что на расстояниях больше λD влиянием заряда стенки на жидкость можно пренебречь. Характерная величина λD — десятки нанометров, поэтому в каналах толщиной около миллиметра и больше заряд стенок мало влияет на основной объем жидкости.

Рис. 2. Схематичное строение микроканала. На нижней гидрофильной стенке зафиксирован заряд q1, который экранируется ионами противоположного знака, расположенными в диффузном слое толщиной λD. Противоположная стенка гидрофобна, вблизи нее образуется тонкий слой толщиной d, на котором расположены подвижные заряды q2. Они также экранируются слоем противоионов. Et — напряженность электрического поля. Рисунок из обсуждаемой статьи в Phys. Rev. Lett.
Тем не менее существует способ расширить влияние диффузного слоя далеко за его пределы: эта группа физических явлений получила название электрокинетических. В их основе лежит тот факт, что диффузный слой — это тонкий слой заряженной жидкости, который можно привести в движение, если приложить внешнее электрическое поле вдоль стенки канала. Вязкая жидкость будет послойно разгоняться в пределах диффузного слоя, а затем начнет увлекать за собой даже ту часть жидкости, которая не заряжена. Возникающее явление называется электроосмосом. Таким образом можно получить течение в микро- и наноканалах без насосов, создающих перепад давления. Характерной особенностью таких течений является плоский профиль скорости жидкости: она течет единым фронтом, без максимума скорости в середине канала.
Электроосмос в начале XIX века экспериментально открыл русский профессор немецкого происхождения Ф. Ф. Рейсс. Через 100 лет это явление теоретически описал Мариан Смолуховский. Он показал, что скорость электроосмотического течения пропорциональна величине внешнего поля и плотности заряда поверхности и обратно пропорциональна вязкости жидкости и толщине диффузного слоя. Долгое время формула Смолуховского оставалась практически единственным и общепринятым способом описания экспериментальных данных по электроосмотическим процессам. Однако в последние годы стало активно развиваться новое направление в гидродинамике микро- и нанопроцессов — гидрофобное и супергидрофобное скольжение. В таких системах формула Смолуховского уже не дает достаточно полного описания, что поставило новую задачу перед теоретиками.
Вблизи твердой поверхности возникают не только электростатические, но и особые гидродинамические условия. В частности, классическая модель описывает случай, когда скорость жидкости на стенке равна нулю (так называемое «условие прилипания»). Так возникает известный параболический профиль скорости в течениях под действием перепада давления. Условие прилипания справедливо для гидрофильных поверхностей, которые достаточно сильно взаимодействуют с молекулами. Существует и другое граничное условие — когда скорость на стенке ненулевая (эту модель предложил в XIX веке Анри Навье). В такой системе вводится понятие «длины скольжения» b: если профиль скорости продолжить внутрь поверхности, то на глубине b скорость достигнет нуля (рис. 3).

Рис. 3. Варианты поведения жидкости вблизи поверхности раздела. Серым схематично изображена стенка, белая область над ней — жидкая среда. При прилипании скорость жидкости у стенки равна нулю и плавно растет по мере удаления от нее. При скольжении жидкость рядом со стенкой движется с ненулевой скоростью
Поверхности, на которых b ≠ 0, называются скользкими. Причиной этому обычно является наличие «газовой подушки» между жидкостью и твердым телом (O. Vinogradova, 1995. Drainage of a Thin Liquid Film Confined between Hydrophobic Surfaces). Она возникает из-за химических особенностей материала (гидрофобности). По той же причине гидродинамическое скольжение характерно для пен: в них твердое тело как таковое отсутствует, а его роль играют пузырьки газа. Во всех этих случаях проскальзывание на границе раздела позволяет увеличить общий поток жидкости, проходящей через канал. Причем такой подход справедлив как для «чисто гидродинамических» течений, так и для электроосмоса.
Сочетание электроосмоса и гидрофобного скольжения может стать весьма полезным для нужд микро- и нанофлюидики, так как позволит сильно увеличить скорости потоков в тонких каналах и уменьшить энергозатраты на прокачку жидкости в таких устройствах, что совершенно необходимо в гонке за миниатюризацию. Тем не менее остаются проблемы: описание таких течений уже невозможно в рамках теории Смолуховского.
Учет гидрофобного скольжения в выводе формулы Смолуховского приводит к появлению простой поправки к величине скорости течения: U(1 + b/λD), где U — изначальная скорость течения (V. Muller, I. Sergeeva, V. Sobolev, N. Churaev, 1986. Boundary effects in the theory of electrokinetic phenomena). Поскольку характерная величина b и λD — десятки нанометров, то по этой формуле скорость жидкости увеличивается (иногда даже в несколько раз). Такое описание оказалось корректным для экспериментов по электроосмосу вблизи твердых скользких поверхностей, однако аналогичные течения в пенах демонстрировали совершенно другие результаты (скорость этих процессов значительно отличалась от предсказаний теории).
Работа, выполненная в группе Ольги Виноградовой, посвящена выводу дополненной теории электроосмотических течений на скользких поверхностях, будь то газ или твердая стенка. Основная идея авторов основывается на следующем рассуждении: в рамках теории Смолуховского, даже с учетом гидрофобного скольжения, заряды поверхности считаются жестко закрепленными. Это очевидно для гидрофильного твердого тела, но насколько это справедливо для газа? Что может «удержать» заряды на его поверхности? Более того, если скольжение вблизи твердой стенки также обусловлено наличием газовой подушки, можно ли считать заряд поверхности фиксированным? Чтобы теория учитывала эти вопросы, ученые сформулировали новое граничное условие для скорости жидкости на поверхности раздела, которое учитывает как проскальзывание жидкости, так и подвижность самих зарядов поверхности.

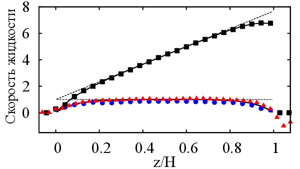
Рис. 4. Смоделированные профили скорости течения жидкости в каналах с разными гидродинамическими условиями. По оси абсцисс откладывается расстояние от гидрофильной «левой» стенки канала (ей соответствует 0) до «правой» стенки (ей соответствует 1), условия на которой менялись (H — ширина канала, z — смещение ). Круги — правая стенка гидрофильная (жидкость прилипает); квадраты — правая стенка скользкая, но заряды на ней неподвижны; треугольники — правая стенка скользкая и заряды на ней подвижны, в этом случае видно, что на стенке возникает течение в противоположную сторону. По оси ординат откладывается безразмерная величина — отношение реальной скорости движения жидкости к скорости жидкости, которая бы наблюдалась в центре канала в течении Смолуховского при двух гидрофильных стенках с таким же зарядом. Изображение из обсуждаемой статьи в Phys. Rev. Lett.
На основе такого граничного условия авторы получили несколько аналитических выражений для скорости электроосмотического потока вблизи скользких поверхностей. Они показали, что для твердого тела, когда заряды фиксированы, их теория сводится к формуле Смолуховского или формулам из статьи V. Muller, I. Sergeeva, V. Sobolev, N. Churaev, 1986. Boundary effects in the theory of electrokinetic phenomena. Однако для течений вблизи газовой прослойки зависимость скорости от заряда и длины скольжения имеет несколько другой вид. Это объясняет, в частности, эксперименты по электроосмосу в пенах и тонких пленках на поверхности твердых тел, где одной из «стенок» канала является газ. Новая теория явно показывает, что течение в таких системах уже не может быть описано в рамках классической теории Смолуховского.

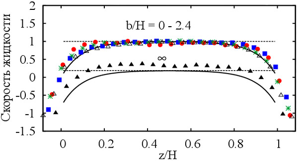
Рис. 5. Смоделированные профили скорости течения жидкости в симметричном канале при разных значениях длины скольжения b. Координатные оси те же, что на рис. 4. На верхних точечных графиках скольжение имеет конечную величину. Черными треугольниками показан результат при бесконечном проскальзывании: течение жидкости в центре канала оказывается практически подавлено. Изображение из обсуждаемой статьи в Phys. Rev. Lett.
Полученные результаты не только расставляют точки над i в вопросах описания старых экспериментов. Они позволяют по-новому взглянуть на дизайн новых исследований. Так, компьютерное моделирование, которым авторы проверяли полученный аналитически результат, позволило им создать несколько систем, где жидкость ведет себя достаточно неожиданно. Например, в случае электроосмоса в канале, где заряды подвижны, а обе стенки бесконечно скользкие, суммарный поток жидкости оказался равен нулю: в центре канала жидкость очень медленно течет в одну сторону, а в непосредственной близи от стенок — очень быстро в другую. В другом случае из-за скольжения на стенке авторам удалось создать электроосмотический поток вблизи незаряженной поверхности.
Также авторы обсуждают определение понятия дзета-потенциал (см.: zeta potential), одного из ключевых параметров в коллоидной химии, нанотехнологии, физике и химии «мягких сред». Дзета-потенциал — это характерная величина поверхности канала или коллоидных частиц, которая определяет, как они взаимодействуют друг с другом, насколько устойчивы их суспензии, как они двигаются под действием внешнего поля. Этот параметр очень широко используется среди химиков и физиков-экспериментаторов, есть масса коммерческих приборов, которые в достаточно рутинных экспериментах позволяют его измерять.
Проблема состоит в том, что определение дзета-потенциала вводится, фактически, в рамках теории Смолуховского: это величина, определяющая скорость электроосмоса. Предложив новую теорию, ученые из группы Виноградовой заодно переопределили и понятие дзета-потенциала, что теперь позволяет его интерпретировать в более широком классе явлений.
Источник: S. R. Maduar, A. V. Belyaev, V. Lobaskin and O. I. Vinogradova. Electrohydrodynamics Near Hydrophobic Surfaces // Phys. Rev. Lett. 2015. V. 114(11). P. 118301(5). DOI: 10.1103/PhysRevLett.114.118301.
Тарас Молотилин




Рис. 1. Профиль течения жидкости под действием электрического поля, полученный в компьютерном эксперименте. Элементы жидкости обозначены синим, ионы солей — красным и черным. Желтым выделены элементы, находящиеся на фронте течения (сам он изображен белой линией). Стрелки обозначают направление и величину скорости жидкости. Стоит обратить внимание, что заряды в очень тонком слое на стенках канала движутся в обратном направлении: этот эффект ранее вызывал вопросы, но новая теория полностью его объясняет. Изображение с сайта idw-online.de