
В статье, вышедшей в журнале Physical Review Letters, предсказывается, что простой механический эффект — гравитационная фокусировка Солнцем частиц темной материи — может повлиять на интерпретацию некоторых экспериментов по их поиску. Не исключено, что эксперименты с положительными результатами, к которым многие физики относятся скептически, получат новый аргумент в свою поддержку.
Поиск частиц темной материи — один из острых вопросов современной физики. С одной стороны, многочисленные астрофизические наблюдения указывают на то, что темная материя существует. С другой стороны, несмотря на десятки поставленных экспериментов по ее поиску, никакого достоверного сигнала, который служил бы неопровержимым доказательством регистрации таких частиц, до сих пор нет. Краткий обзор текущей ситуации можно найти в наших недавних новостях Эксперимент LUX пока не обнаружил частицы темной материи и Физика элементарных частиц в 2013 году.
Ситуация тут дополнительно усложняется тем, что некоторые эксперименты всё же показывают наличие чего-то похожего на темную материю; особенно выделяется тут эксперимент DAMA, в котором после десятилетия работы эффект наблюдается уже на уровне статистической значимости 9σ. Но эти и другие положительные результаты вступают в противоречие с последними данными нового поколения детекторов и потому слишком большого воодушевления у физиков, увы, не вызывают. В наличии сигнала сомнений нет, вопрос — в его интерпретации. Самой коллаборации положительный сигнал кажется свидетельством в пользу частиц темной материи, а другим ученым — указанием на неучтенные источники погрешностей.
Для прояснения картины — не только с DAMA, но и вообще с нынешними и возможными будущими положительными сигналами, — астрофизикам желательно досконально разобраться с тем, какие эффекты и насколько гарантированно предсказываются именно для сигнала от темной материи. Один из классических эффектов — это сезонная модуляция количества зарегистрированных событий. Подземный детектор частиц темной материи — это пассивный наблюдательный инструмент. Условно говоря, он постоянно обдувается «космическим ветром» темной материи, а физики просто подсчитывают, сколько раз сработал детектор за определенный период времени. Темп срабатывания зависит много от чего: от предполагаемых свойств самих частиц, от их распределения и скоростей в галактике, от характеристик детектора. Эти величины сильно опираются на теоретические модели, поэтому никакого однозначного предсказания тут не может быть. Однако одна вещь про них хорошо известна: они не зависят от времени года.
Зато есть другая величина, которая зависит, — это скорость, с которой частицы темной материи налетают на Землю. Солнце движется в галактике сквозь облако темной материи, а Земля движется вокруг Солнца (рис. 2). Их скорости складываются как вектора, и поэтому результирующая скорость, с которой сама Земля летит сквозь облако темной материи, зависит от времени года. В рамках стандартной модели гало для частиц темной материи считается, что темная материя как целое в галактике не вращается, а значит, Солнце движется относительно этого облака со скоростью около 220 км/с. Земля же движется в плоскости эклиптики вокруг Солнца со скоростью примерно 30 км/с. В результате этого 2 июня эти две скорости складываются и дают максимальное значение, а в районе 2 декабря — минимальное. Так у кажущейся скорости частиц темной материи появляется сезонная модуляция в системе отсчета Земли.

Рис. 2. Скорость «ветра» частиц темной материи, «дующего» сквозь Солнечную систему, складывается со скоростью Земли, и из-за этого их относительная скорость меняется в течение года. Изображение из статьи K. Freese, M. Lisanti, Ch. Savage, 2013. Colloquium: Annual modulation of dark matter
Поскольку темп срабатываний детектора зависит и от этой скорости, следует ожидать, что он тоже будет испытывать сезонные колебания. Точная величина этого колебания и даже его знак — опять же, вопрос тонкий. Эти величины зависят от деталей эксперимента и от галактического распределения темной материи; обычно получается несколько процентов. Но одно казалось до сих пор четко определенным: минимум или максимум темпа регистрации должен быть в районе 2 июня.
На днях в журнале Physical Review Letters появилась статья, объясняющая, что такой однозначный вывод неверен. В ней показывается, что простой и давно известный механический эффект — гравитационное фокусирование темной материи Солнцем — может сильно сдвинуть день, в который должен наблюдаться максимум темпа регистрации.
Этот эффект проиллюстрирован на рис. 1. Если бы частицы темной материи летели сквозь Солнечную систему строго по прямой, то их концентрация была бы одинаковой вне зависимости от времени года. Тогда действительно сезонная модуляция темпа регистрации возникала бы только за счет изменения скорости, как описано выше. Но в реальности частицы темной материи чувствуют гравитационное притяжение Солнца и отклоняются им. Они отклоняются вовнутрь, словно Солнце своей гравитацией фокусирует поток частиц темной материи. Это приводит к повышенной концентрации темной материи позади Солнца, то есть в марте, по сравнению с концентрацией впереди Солнца, в сентябре.
Надо подчеркнуть, что это изменение концентрации совсем небольшое. Скорости частиц темной материи довольно велики, поэтому при пролете мимо Солнца их траектории отклоняются чуть-чуть, порядка градуса. Это приводит к модуляции концентрации в пару процентов, но этот небольшой эффект надо сравнивать с таким же небольшим эффектом из-за модуляции скорости. Получается, для реалистичного описания сезонных колебаний надо учитывать два эффекта сравнимой силы. Модуляция скорости приводит к колебанию «зима-лето», а модуляция концентрации — к колебанию «весна-осень». Совместная работа этих двух эффектов приводит к тому, что сезонное колебание показаний детектора остается, но его максимум сдвинется по времени. Именно на этот эффект почему-то до сих пор не обращали внимание.
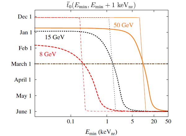
Авторы статьи приводят результаты численных расчетов для разных моделей. В зависимости от характеристик детектора и массы частиц этот эффект может быть как ничтожным (очень легкие частицы или слишком высокий порог срабатывания детектора), так и сильным. Для умеренно тяжелых частиц темной материи и для достаточно чувствительного детектора получается, что сдвиг по времени может составлять несколько недель (рис. 3).

Рис. 3. Ожидаемое положение максимума сезонной модуляции для различных значений параметров. Ломаные линии — положение максимума без учета гравитационного фокусирования, кривые — с учетом этого эффекта. Разные цвета отвечают частицам темной материи разной массы. По горизонтали отложено пороговое значение энерговыделения, начиная с которого срабатывает детектор. Видно, что если детектор достаточно чувствительный (порог низкий), то отличие ломаной и плавной кривых может быть очень существенным. График из обсуждаемой статьи
Любопытно сравнить эти значения с результатами DAMA. Коллаборация DAMA действительно видит такую сезонную модуляцию, и, что самое любопытное, максимум в их данных приходится на конец мая (26 мая ± 7 дней). Даже без гравитационной фокусировки это согласуется с тем, что ожидалось бы от частиц темной материи (2 июня). Сейчас же, с учетом нового эффекта, получается, что результаты DAMA еще больше напоминают ожидаемую модуляцию. Расчеты показывают, что чем слабее энерговыделение от столкновения частицы темной материи с веществом, тем медленней эта частица двигалась. А это значит, тем сильнее должен быть эффект гравитационной фокусировки для таких частиц и тем больше должно быть смещение по времени.
У DAMA есть и такой анализ. Коллаборация проверила, что если взять низкоэнергетические события (энерговыделение от 2 до 4 кэВ, меньшие энергии детектор уже не регистрирует), то там максимум приходится на 12 мая ± 7 дней. Вычисления, приведенные в статье, предсказывают 19 мая — согласие не такое уж и плохое. Авторы статьи призывают экспериментаторов отдельно проанализировать еще более низкоэнергетические события, например от 2 до 2,5 кэВ. Для таких значений они предсказывают сдвиг максимума уже на конец апреля. Такое же упражнение предлагается проделать и участникам всех будущих экспериментов, чувствительных к энерговыделению порядка 1 кэВ и меньше.
Полезно еще раз подчеркнуть: сезонная модуляция — это один эффект, а сдвиг максимума этой модуляции — другой. Многие физики настроены скептически к результату DAMA потому, что сезонное изменение само по себе можно было бы списать и на совершенно обычные, даже на климатические, причины. Но трудно представить себе, какие климатические причины смогли бы по-разному сдвинуть максимум для разных энергий. Если описанный в статье эффект действительно будет обнаружен, это станет новым — и, пожалуй, довольно неожиданным — аргументом в пользу экспериментов с положительными результатами.
Источник: S K. Lee, M. Lisanti, A. H. G. Peter, and B. R. Safdi. Effect of Gravitational Focusing on Annual Modulation in Dark-Matter Direct-Detection Experiments // Phys. Rev. Lett. 112, 011301 (2013); статья доступна также как е-принт arXiv:1308.1953.
См. также:
1) В. А. Рябов, В. А. Царев, А. М. Цховребов. Поиски частиц темной материи // УФН 178, 1129 (2008).
2) K. Freese, M. Lisanti, Ch. Savage. Colloquium: Annual modulation of dark matter // Rev. Mod. Phys. 85, 1561–1581 (2013); статья доступна также как е-принт arXiv:1209.3339.














Рис. 1. Гравитационное притяжение Солнца изменяет концентрацию частиц темной материи позади Солнца. Такая своеобразная гравитационная фокусировка частиц темной материи может повлиять на сезонную модуляцию сигнала, регистрируемого достаточно чувствительным детектором темной материи. Изображение из обсуждаемой статьи