
Ученые из Франции и Шотландии обнаружили самого громкого певца среди животных. Им оказался пресноводный клоп Micronecta scholtzi размером 2,3 мм из семейства гребляков (Corixidae), широко распространенный в Европе. Самцы этого вида клопов привлекают самок, издавая акустические сигналы максимальной интенсивности 99,2 дБ на расстоянии 1 м. Если пересчитать акустическую энергию относительно размера тела, то M. scholtzi издает самые громкие звуки среди наземных животных и звуки, сравнимые по интенсивности с несколькими самыми шумными представителями водной фауны. Авторы предполагают, что такой брачный сигнал мог возникнуть под действием полового отбора при отсутствии давления хищников.
Многие животные используют акустическую коммуникацию для привлечения особей противоположного пола. Как правило, самцы издают так называемые призывные сигналы, а перед самками стоит задача распознать сигналы своего вида на фоне многочисленных звуковых помех. К помехам относят как неспецифические шумы (абиотические и антропогенные факторы), так и специфические — например, одновременно издаваемые звуки других видов животных.
Издать громкий и четкий сигнал — не такая простая задача даже для искусственных звуковых систем, а уж в животном мире существует множество ограничений, мешающих оптимизации звука. Одно из таких ограничений — это размер тела. Маленьким животным сложнее издавать громкие звуки, чем крупным животным. Чем крупнее излучатель, тем эффективнее он может генерировать звуковые волны низкой частоты, которые, в свою очередь, имеют свойство распространяться на большее расстояние, чем высокочастотные волны.
Таким образом, частоты звуков, издаваемых мелкими животными, например насекомыми, лежат обычно выше 2 кГц и часто заходят в ультразвуковую область (выше 20 кГц). Звуковые сигналы животных редко бывают чисто тональными посылками (то есть звуком одной частоты). Чаще их спектры представляют собой непрерывное распределение значений в том или ином частотном диапазоне, но среди этих значений выделяются один или несколько пиков (доминантные частоты). Например, на рис. 1 показана зависимость длины тела от доминантной частоты издаваемого звука у водяных клопов. Видно, что эта зависимость обратная: чем меньше насекомое, тем выше доминантная частота акустического сигнала.

Акустическая коммуникация у наземных и морских организмов интенсивно изучается в последние десятилетия. Существенно меньше исследованы звуки пресноводных животных. Специалисты из Парижского музея естественной истории и Университета Глазго (Шотландия) с удивлением обнаружили, что клоп Micronecta scholtzi из семейства Corixidae (гребляки) размером 2,3 мм, распространенный в реках и прудах вокруг Парижа, способен издавать столь громкие звуки, что их можно услышать, стоя на берегу реки или пруда.
Для проведения акустического анализа собранных в природе клопов держали в пластиковых контейнерах размером 22×11×17 см. Перед записью сигналов группу из пяти особей M. scholtzi помещали в сетчатый контейнер. Этот сетчатый контейнер в свою очередь помещался в центре большого пластикового сосуда размером 46×30×17 см, с глубиной воды 8 см. Дно большого сосуда было покрыто гравием. Температура воды была 23–24°С. Гидрофон располагали на дне сетчатого контейнера. Cигналы с гидрофона через усилитель поступали на цифровой магнитофон Marantz PMD 671 (частота оцифровки сигналов 48 кгц). Отличить самцов от самок у этих клопов невозможно без дополнительных микроманипуляций, поэтому расчет был на то, что в группе из пяти особей окажется хотя бы один самец. Даже если несколько самцов пели одновременно, они не пели синхронно, поэтому в дальнейшем можно было вычленить сигнал каждого самца с помощью программ Avisoft SAS Lab Pro и seewave.

Уровень звукового давления, измеренный у M. scholtzi, сравнили со значениями, известными для 227 видов различных животных (два вида рептилий, три вида рыб, 24 вида млекопитающих, 29 видов птиц, 46 видов амфибий и 123 вида членистоногих насекомых). Данные по звуковому давлению в литературе обычно представляют в децибелах (дБ). Поскольку запись сигналов разных видов проводилась на разных расстояниях до микрофона, то для сравнения с сигналами M. scholtzi, записанными на расстоянии 1 м, литературные данные были переведены в абсолютные значения давления в паскалях (Па), а затем пересчитаны в относительные значения на расстоянии 1 м по формуле:
dBSPL@1m = Y – 20 × log10(1/d),
где Y — изначальный уровень звукового давления в дБ, измеренный на расстоянии d.
Поскольку дБ — это логарифмическая величина, связь между звуковым давлением и размерами тела оценивали как регрессию SPL на логарифм длины тела животного.
Звуковой сигнал M. scholtzi состоит из чередования нескольких более тихих и продолжительных элементов и одного более громкого и короткого элемента (рис. 2). Период повторения такого цикла — примерно 1 с. На cпектрограмме видно, что частотный диапазон сигнала варьирует в пределах от 5 до 22 кГц. Доминантная частота по подсчетам авторов равна в среднем 10 кГц. Спектрограмма также показывает, что частота сигнала со временем не меняется, то есть отсутствует частотная модуляция.

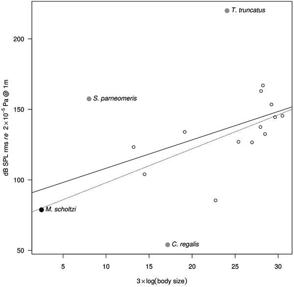
Результат регрессии звукового давления на размер тела свидетельствует, что M. scholtzi занимает крайнее значение по сравнению с 57 наземными животными (рис. 3). Еще два вида также демонстрируют крайние значения, но как самые тихие певцы: миниатюрный сверчок Cycloptiloides canariensis и богомол Mantis religiosa. В группе водных животных регрессионный анализ выявляет четыре вида, имеющие крайние значения соотношения звукового давления и размера тела: щелкающая креветка Synalpheus parneomeris, рыба горбыль Cynoscion regalis, дельфин афалина Tursiops truncatus и M. scholtzi (рис. 4).

Нужно отметить, что громкий звук издавать в водной среде легче, чем в воздушной (благодаря согласованию акустического сопротивления между источником звука и средой). Это отчасти может объяснить, почему M. scholtzi занимает самое крайнее положение при сравнении с наземными животными, но оказывается на четвертом месте при сравнении с водными организмами.
Каков механизм звукопродукции у M. scholtzi? Как и у многих других представителей семейства Corixidae, брюшная поверхность клопа покрыта воздушным слоем. Виды рода Corixa стридулируют (см. Stridulation) посредством трения шипиков, располагающихся на передних голенях, об острый кант ротовых придатков. Воздушные пузыри служат очень хорошими пульсирующими осцилляторами. Micronecta также имеет воздушные пузыри с вентральной стороны тела. В отличие от Corixa, M. scholtzi издает звук посредством трения зубчиков, имеющихся на правой лопасти гениталий, о гребешок на левой половине восьмого брюшного сегмента. Таким образом, задействованы другие части тела, но принцип тот же. Поэтому не очень понятно, как такой достаточно обычный для членистоногих механизм может производить столь сильный звук. Известен эффект Ломбарда, согласно которому амплитуда звукового сигнала может сильно увеличиваться в ответ на усиление окружающего шума; этот эффект описан у ряда птиц и млекопитающих. Однако при эффекте Ломбарда увеличение амплитуды наблюдается в течение очень короткого времени, что не соответствует феномену, наблюдаемому у Micronecta.
В конце статьи авторы пытаются понять, почему в процессе эволюции у M. scholtzi выработался такой громкий призывный сигнал. Одно из возможных объяснений — половой отбор. Сигнал большой интенсивности способствует легкой и быстрой локализации самца самкой. Кроме того, громкий сигнал может быть признаком высокого качества самца, а потому самки могли отдавать предпочтения особо голосистым самцам. Однако процесс эволюции половых признаков под действием полового отбора обязательно уравновешивается силами естественного отбора. Чтобы производить громкий сигнал, необходимо тратить массу энергии — так что это дорогое удовольствие. Кроме того, громкий сигнал привлекает потенциальных хищников. Авторы предполагают, что последний фактор не является лимитирующим для M. scholtzi — по их утверждению, нет таких хищников в прудах и реках Европы, которые привлекались бы звуками маленького клопа.
Источник: Jérôme Sueur, David Mackie, James F. C. Windmill. So Small, So Loud: Extremely High Sound Pressure Level from a Pygmy Aquatic Insect (Corixidae, Micronectinae). // PLoS ONE. 2011. 6 (6): e21089.
См. также:
Joachim Theiß. Generation and radiation of sound by stridulating water insects as exemplified by the corixids // Behav. Ecol. Socibiol. 1982. V. 10. P. 225–235.
Варвара Веденина



