
Киты, ныряющие для добывания пищи — планктонных ракообразных и мелких рыб — на глубину около 100 м, но проводящие большую часть времени у поверхности и оставляющие там свои фекалии и продукты выделения, работают как своеобразный «насос», доставляя наверх, в зону обитания фитопланктона, дефицитные элементы минерального питания, прежде всего азот. Значение подобного «китового насоса» было особенно велико в прошлом, до начала коммерческой добычи китов.
Богатство жизни всего океана зависит от первичной продукции — органического вещества, которое образуется в процессе фотосинтеза, осуществляемого микроскопическими водорослями и цианобактериями (фитопланктоном), обитающими в поверхностном, хорошо освещенном слое водной толщи. Однако на большей части акватории Мирового океана продукция фитопланктона крайне низка. Причина этого — острая нехватка биогенных элементов (элементов минерального питания), прежде всего азота и фосфора, в доступной для использования форме. В большем или меньшем количестве биогенные элементы всегда имеются в глубинных слоях и у дна, но океан плохо перемешивается, и поэтому у поверхности (где светло и, соответственно, может происходить фотосинтез) они практически полностью поглощаются фитопланктоном.
Поскольку фитопланктон поедается планктонными животными, а те, в свою очередь, рыбами, биогенные элементы, входящие в состав их тел, а следовательно, в состав продуктов выделения и фекалий, постепенно перемещаются из поверхностных слоев в глубины океана. Происходит это за счет вертикальных миграций зоопланктона и рыб, а также опускания под действием силы тяжести отмерших тел организмов и тяжелых фекальных пеллет (фекалий, плотно упакованных в оболочку) веслоногих ракообразных. Подобный способ перемещения органического вещества от поверхности океана вглубь с помощью организмов называют «биологическим насосом» (см. Biological pump). Есть еще «физико-химический насос»: поток охлажденной — и поэтому потяжелевшей — воды опускается вниз; но подобное опускание водных масс, «даунвеллинг», наблюдается только в очень немногих местах в океане.
К «биологическому насосу» сейчас приковано особое внимание исследователей в связи с проблемой связывания океаном углекислого газа (СО2). Содержание этого важнейшего парникового газа в атмосфере растет угрожающе быстро. Океан может поглотить больше СО2 только в том случае, если связанный в органическом веществе углерод будет изыматься из поверхностных слоев и переноситься вглубь.
Для дальнейшего прироста массы фитопланктона необходимо поступление дополнительного количества биогенных элементов извне — с суши или из глубинных слоев водной толщи. Районы, где наблюдается интенсивный подъем глубинных вод, апвеллинг, всегда отличаются высокой биомассой планктона и обилием рыб. Неудивительно, что в этих местах часто откармливаются морские млекопитающие (ластоногие и китообразные), а также птицы.
Поскольку основные кормовые объекты китов (имеются в виду усатые киты, отфильтровывающие свою добычу) — крупные планктонные ракообразные и мелкие рыбы, образующие скопления на глубине (100 м и глубже), то для добывания пищи киты вынуждены нырять. Однако пребывать на глубине долгое время киты не могут. Чтобы отдышаться (дышат-то они воздухом), китам приходится подниматься к поверхности. Здесь, в поверхностных водах, они переваривают добычу, здесь же остаются их фекалии и продукты выделения.
Возникает вопрос: а не могут ли киты выполнять роль лифта, доставляющего с глубины на поверхность столь нужные фитопланктону биогенные элементы. Нет ли своего рода «китового насоса», работающего в направлении, обратном тому, в котором действует классический «биологический насос»?
Да, есть, отвечают доктор Джо Роман (Joe Roman) из Гундского института экологической экономики Вермонтского университета и профессор Джеймс Маккарти (James J. McCarthy) из Лаборатории биологической океанографии Гарвардского университета. В статье, опубликованной в журнале PLoS One (полностью открытом для всех), они приводят результаты своих исследований в заливе Мэн (Северо-Западная Атлантика, к югу от полуострова Новая Шотландия). Именно здесь регулярно откармливаются несколько видов китов, в частности горбач (Megaptera novaeangliae), североатлантический гладкий кит (Eubalaena glacialis) и финвал (Balaenoptera physalus).

Горбачи в большом количестве поедают мелких рыб песчанок (Ammodytes sp.), днем зарывающихся в песок, а ночью ведущих активный образ жизни в нижних слоях водной толщи — на глубине более 100 м. Североатлантический гладкий кит питается в основном веслоногими ракообразными, которые в это время года пребывают в состоянии диапаузы и держатся на глубине около 110–130 м. Там они образуют большие скопления, которые и привлекают кормящихся китов. Финвал также добывает пищу (рачков эуфазиид и другие мелких беспозвоночных) на глубине более 100 м. После отфильтровывания добычи на глубине, киты поднимаются к поверхности, где и проводят большую часть времени.
Предположения о том, что продукты дефекации и выделения китов, остающиеся в поверхностных водах, могут служить хорошим удобрением для фитопланктона, высказывались не раз, но они не были подтверждены количественными данными. Этот пробел и восполнили авторы обсуждаемой работы. Они собирали плавающие у поверхности фекалии китов и брали пробы из так называемого «фекального шлейфа» (fecal plume) — воды, в которой взвешены фекальные частицы. Проведенный сразу же химический анализ этих проб выявил необычайно высокое содержание в них аммонийного азота (NH4+) — от 0,4 до 55,5 микромолей на килограмм воды. В то же время в пробах воды, взятых вне «фекального шлейфа», содержание аммонийного азота было крайне низким — не более 0,1 микромоля на 1 кг воды (на грани аналитического обнаружения).
Поскольку предыдущие исследования показали, что первичная продукция фитопланктона в поверхностных водах залива Мэн ограничена прежде всего нехваткой азота, встал вопрос о том каково соотношение разных источников поступления этого дефицитного элемента в воды залива. Авторы обсуждаемой работы, зная численность китов, откармливающихся в заливе Мэн, и зависимость интенсивности процесса выделения от массы тела, рассчитали вклад всех китообразных, а также ластоногих.
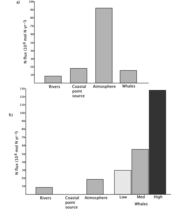
Выяснилось, что суммарно все морские млекопитающие за год добавляют в поверхностные воды залива около 2,3 × 104 тонн азота. Это больше, чем приносят впадающие в залив реки, и примерно столько же, сколько попадает из «точечных береговых источников» (поселков, ферм и т. п.).
Если взять все источники (см. диаграмму), то получается, что наибольшее количество азота поступает в настоящее время с атмосферными осадками.
В атмосферных осадках азот оказывается из-за хозяйственной деятельности человека, а именно — сжигания ископаемого топлива. Поскольку сжигание происходит не в кислороде, а в воздухе, на 80% состоящем из азота, то при очень высокой температуре разрушается прочная тройная связь в молекуле N2 и образуются оксиды азота, которые, взаимодействуя потом с водяными парами, дают азотную кислоту — важный компонент кислотных дождей (см.: Acid rain).
Однако, ситуация была иной в доиндустриальный период, когда в атмосферу еще не выбрасывались в большом количестве оксиды азота, а численность китообразных была существенно выше, поскольку не начался еще их коммерческий промысел. Роман и Маккарти провели соответствующие расчеты и показали, что поступление в поверхностные воды азота из атмосферы тогда было существенно меньше, а из нижних слоев водной толщи — существенно больше (за счет переноса китами — «китового насоса»). Поскольку разные исследователи по-разному оценивают численность китов до начала их коммерческой добычи, в работе приведены три рассчитанные величины, соответствующие низкой, средней и высокой оценкам численности.

Из приведенной диаграммы видно, что даже при самой низкой оценке вклад китов в снабжение азотом поверхностных вод был больше современного и был больше всех остальных источников. Если же принять среднюю и тем более высокую оценку прошлой численности китов, значение «китового насоса» в снабжении азотом поверхностных вод будет еще больше.
При обсуждении той роли, которую играли китообразные в поддержании первичной продукции океана, авторы ссылаются на опубликованные недавно данные о том, что на большей части акватории Мирового океана в последнее время значительно уменьшилась биомасса фитопланктона (см.: В Мировом океане становится всё меньше фитопланктона). Причину этого обычно видят в повышении температуры воды у поверхности, что затрудняет вертикальное перемешивание, а соответственно, и поступление биогенных элементов из нижележащих слоев. Однако нельзя не учитывать и то, что в настоящее время очень ослаблен «китовый насос», поставляющий биогенные элементы к поверхности, где развивается фитопланктон. Океан, в котором обитало множество китов, в определенных аспектах существенно отличался от современного.
Источник: Joe Roman, James J. McCarthy. The whale pump: marine mammals enhance primary productivity in a coastal basin // PLoS ONE. 2010. V. 5(10): e13255 (вся статья в свободном доступе).
См. также:
Whale poop pumps up ocean health (есть видео) — пресс-релиз Вермонтского университета.
Алексей Гиляров













