
В популяциях дрожжей есть «кооператоры», производящие необходимый всем фермент, и «обманщики», которые экономят на производстве фермента и живут за чужой счет. Классические теории предсказывают, что в этой ситуации максимальный общий выигрыш должен достигаться при полном отсутствии обманщиков в группе. В реальности же популяции, содержащие определенный процент обманщиков, иногда растут быстрее, чем состоящие из одних кооператоров. Британские ученые выявили три необходимых условия, при которых возникает этот парадокс: 1) эффективность использования пищи должна снижаться при ее изобилии и расти в голодные времена; 2) кооператоры не должны уметь регулировать производство фермента в зависимости от потребности в нём; 3) смешанная культура должна быть не очень хорошо перемешана, чтобы в ней были области с разным соотношением кооператоров и обманщиков.
В природных популяциях дрожжей большинство клеток производит фермент инвертазу, который расщепляет сахарозу на моносахариды — глюкозу и фруктозу. Дрожжи могут поглощать и нерасщепленную сахарозу, но моносахариды усваиваются ими легче (то есть используются более эффективно). Некоторые дрожжевые клетки, однако, не производят инвертазу, хотя с удовольствием поедают глюкозу, добытую чужими трудами. Ведь инвертаза расщепляет сахарозу не внутри клетки, а снаружи, поэтому получившиеся моносахариды становятся доступны не только той клетке, которая произвела фермент, но и всем окружающим.
Дрожжи, производящие инвертазу, обычно рассматриваются как «кооператоры» или «альтруисты» (они производят полезный для других продукт, тратя на это собственные ресурсы). Дрожжи, которые не производят фермент, трактуются как «обманщики» или «эгоисты». Смешанные культуры дрожжей-кооператоров и дрожжей-эгоистов оказались удобным объектом для теоретических изысканий в области поведения социальных систем.
В заметке Честные дрожжи и дрожжи-обманщики могут жить дружно («Элементы», 20.04.2009) рассказано о результатах, полученных американскими биологами, которые пытались понять, почему в смешанной культуре не происходит полного вытеснения кооператоров обманщиками. В этом исследовании было показано, что при низкой численности альтруистов в силу определенных обстоятельств дрожжевым клеткам оказывается выгоднее быть альтруистами, чем обманщиками. Собственно говоря, в этой ситуации сам термин «альтруист» перестает соответствовать реальности: какой же это альтруизм, если особь ведет себя наиболее выгодным для нее образом?
Один из основных выводов этого исследования состоял в том, что взаимоотношения кооператоров и обманщиков в смешанной культуре соответствуют модели, которая называется «игра в сугроб» (snowdrift game) (подробнее см. в вышеупомянутой заметке).
Однако недавно в журнале PLoS Biology появилась статья, авторам которой удалось показать, что дрожжи на самом деле в «сугроб» не играют. Всё оказалось сложнее и интереснее.
В классической «игре в сугроб» условия такие. Два игрока должны решить общую проблему (например, расчистить снежный завал на дороге или расщепить сахарозу). Если она будет решена, оба получат выигрыш b (смогут ехать дальше или получат порцию глюкозы). Чтобы проблему решить, необходимо заплатить некую цену c (например, поработать лопатой или потратить энергию на производство инвертазы).
Если кооператор играет против другого кооператора, они решают проблему сообща, и для каждого из них итоговый выигрыш будет равен b – c/2. Если кооператор играет против обманщика, то кооператор делает один всю работу и в итоге получает b – c, а обманщику выигрыш b достается даром. Два обманщика, играя друг против друга, ничего не делают и оба остаются с носом.
Предположение о том, что дрожжи играют в «сугроб», позволило объяснить, почему в популяциях дрожжей обманщики не вытесняют кооператоров. Когда кооператоров становится слишком мало, обманщикам всё чаще приходится играть друг против друга, и в итоге их стратегия становится (в среднем) менее выгодной, чем стратегия кооператоров.
Однако из модели «игры в сугроб» вытекает важное проверяемое следствие, которое, как выяснилось, не подтверждается фактами. Состоит оно в следующем. Если дрожжи действительно играют в «сугроб», то максимальный общий выигрыш (для всей популяции «игроков» в целом) должен достигаться при полном отсутствии обманщиков в коллективе. В модели «игры в сугроб», как и в большинстве других классических моделей социальных систем, кооператоры всегда приносят коллективу только пользу, а обманщики — один сплошной вред. Иными словами, если дрожжи играют в «сугроб», то популяции дрожжей, сплошь состоящие из кооператоров, должны расти быстрее, чем смешанные популяции, содержащие некоторую (любую) долю обманщиков.
Крейг Маклин (R. Craig MacLean) из Оксфордского университета и его коллеги решили проверить, так ли это, и получили парадоксальный результат. Оказалось, что некоторая примесь обманщиков не только не вредит популяции, но и идет ей на пользу! Иными словами, в среде, где единственным источником пищи является сахароза, смешанные популяции дрожжей растут быстрее и используют ресурс эффективнее (то есть производят больше новых клеток на единицу съеденной сахарозы), чем популяции, состоящие из одних кооператоров (рис. 1).

Этот результат противоречит не только модели «игры в сугроб», но и всем общепринятым представлениям о динамике социальных систем. На первый взгляд может показаться вообще невероятным, что наличие обманщиков и эгоистов, которые не производят общественно-полезного продукта, а только пользуются плодами чужих трудов, может идти на пользу коллективу. Хотя, с другой стороны, подобные ситуации были описаны и раньше (яркий пример см. в заметке Альтруизм у бактерий помогает им противостоять антибиотикам, «Элементы», 07.09.2010).
Чтобы разобраться в причинах парадокса, авторы разработали сложную математическую модель, призванную максимально точно отобразить все процессы и взаимодействия, которые должны иметь место в исследуемых дрожжевых культурах. В модели были учтены все известные на сегодняшний день факты о биохимии, физиологии, поведении и жизненном цикле дрожжей, которые в принципе могли бы иметь отношение к делу. Поскольку дрожжи — классический лабораторный объект, таких фактов набралось немало. Итоговая модель представляет собой систему из 13 дифференциальных уравнений, одного взгляда на которую достаточно, чтобы повергнуть в трепет почти любого биолога, включая автора этих строк. В качестве параметров в модель были подставлены реальные цифры, полученные в ходе изучения подопытных штаммов дрожжей. Затем авторы вывели из своей модели ряд следствий, которые можно было проверить экспериментально, и все они благополучно подтвердились.
В частности, модель предсказывала и тот самый парадокс, ради которого всё было затеяно: модельная популяция росла на сахарозе лучше всего, если в ней помимо кооператоров были также и обманщики. Данное свойство не было заложено в модель преднамеренно, оно получилось «само» из совокупности всех известных фактов о биологии дрожжей, представленных в виде формул.
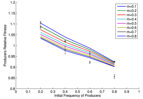
Модель также предсказывала, что относительная приспособленность кооператоров (то есть эффективность их размножения по сравнению с эффективностью размножения обманщиков) должна снижаться по мере роста доли кооператоров в смешанной культуре. Иными словами, чем кооператоров больше, тем менее выгодно быть кооператором. Это предсказание было проверено экспериментально и тоже подтвердилось, причем с высокой точностью (рис. 2).

Всё это позволило авторам заключить, что модель адекватно отображает реальную ситуацию и поэтому ее можно использовать для выявления причин наблюдаемого парадокса.
Анализ модели показал, что парадокс проявляется при одновременном выполнении следующих трех условий.
Во-первых, эффективность использования ресурса (в данном случае глюкозы, которая, наряду с фруктозой, образуется при расщеплении сахарозы ферментом инвертазой) должна снижаться по мере роста его концентрации. Иными словами, в голодные времена пища должна использоваться дрожжами более эффективно (с большим выходом биомассы на единицу съеденной глюкозы), чем в периоды изобилия. Если убрать данную зависимость из модели и сделать так, чтобы эффективность использования пищи была одинаковой при любом ее количестве, парадокс исчезает, и модельные популяции, как и положено, начинают расти лучше всего при полном отсутствии обманщиков. Эксперименты подтвердили, что эффективность использования глюкозы у дрожжей действительно снижается с ростом концентрации глюкозы. Этот факт отмечен и в предыдущей работе (Честные дрожжи и дрожжи-обманщики могут жить дружно, «Элементы», 20.04.2009). Но он, между прочим, означает, что величина b — то есть выигрыш, получаемый дрожжами от каждой условной единицы произведенной глюкозы, — не является постоянной, как должно быть в классической игре в «сугроб», а меняется в зависимости от условий (в данном случае — от концентрации глюкозы). В результате, если в культуре очень много кооператоров, они выделяют большое количество инвертазы и производят много глюкозы сразу — так много, что эффективность использования этого ценного ресурса снижается. В условиях глюкозного изобилия дрожжи растут быстро, но неэффективно, то есть на каждый грамм съеденной глюкозы в итоге производится меньше дрожжевой биомассы, чем при более скудном рационе. Если же «разбавить» культуру кооператоров некоторым количеством обманщиков, сахароза будет переводиться в глюкозу более постепенно, и в целом ресурс будет расходоваться бережнее.
Второе необходимое условие состоит в том, что смешанная культура должна иметь некую пространственную структуру, то есть не быть абсолютно гомогенной. В одних областях пространства должно быть чуть больше кооператоров, в других — чуть больше обманщиков. В противном случае все ресурсы в культуре будут распределяться абсолютно поровну между всеми клетками. Модель предсказывает, что в этой ситуации тоже следует ожидать «классического» результата: максимальный групповой выигрыш будет наблюдаться при отсутствии обманщиков. Это предсказание удалось подтвердить экспериментально: если смешанные культуры очень тщательно перемешивать, парадокс исчезает, и самый быстрый рост наблюдается в культурах, на 100% состоящих из кооператоров.
Третье необходимое условие состоит в том, что клетки не должны обладать способностью точно регулировать производство инвертазы в зависимости от наличия сахарозы в среде. В реальности дрожжи действительно производят инвертазу без оглядки на то, имеется ли в среде сахароза. Они начинают ее производить особенно интенсивно, когда им не хватает глюкозы, и делают это даже если сахароза в среде отсутствует и от инвертазы нет никакого проку. В экспериментах дрожжи-кооператоры усиленно производили инвертазу еще долго после того, как вся сахароза была расщеплена на моносахариды. В терминах «игры в сугроб» это означает, что они продолжали разгребать снег лопатами, хотя путь уже давно был расчищен. Если в модели дать возможность дрожжам прекращать производство инвертазы, когда вся сахароза кончилась, парадокс немедленно исчезает. По-видимому, дрожжи просто не в состоянии точно определить, сколько в среде сахарозы. У них, правда, имеется один рецепторный белок, реагирующий на сахарозу, но этот рецептор, к несчастью, реагирует и на глюкозу тоже. Возможно, дрожжи, как и мы, не могут определить «на вкус» концентрацию именно сахарозы, а просто чувствуют, что сладенько.
Получается, что причины наблюдаемого парадокса в конечном счете сводятся к тому, что методы кооперации, практикуемые «кооператорами», довольно неэффективны и негибки.
Авторы предполагают, что все три условия вполне могут выполняться и в других социальных системах. Например, первое условие нам хорошо знакомо (в голодные времена пищу берегут и ей не кидаются), второе характерно для многих природных популяций (например, популяция может подразделяться на семейные группы, члены которых сходны друг с другом в среднем больше, чем с членами других групп). Третье условие с неизбежностью следует просто из того факта, что живые организмы далеко не всегда располагают всей необходимой информацией для оптимальной настройки своего поведения. Поэтому вполне возможно, что некоторая доля обманщиков может идти на пользу не только дрожжам.
Необходимо подчеркнуть, что речь в обсуждаемой работе идет только о «пользе для группы», а не для индивида. Причем «польза для группы» понимается исключительно как скорость роста этой группы (или средняя скорость размножения входящих в ее состав особей). Ясно, что для человеческих популяций такое определение «пользы» далеко не всегда является адекватным.
Естественному отбору, как правило, нет дела до «пользы группы». Если предоставить смешанные культуры дрожжей самим себе, то под действием отбора в них установится вовсе не то соотношение кооператоров и обманщиков, при котором скорость роста группы максимальна. Ничего подобного. Установится такое соотношение, при котором «приспособленности» (скорости размножения) обманщиков и кооператоров будут равными. Или, что то же самое, относительная приспособленность тех и других (рис. 2) будет равна единице. Как показано в обсуждаемой работе, это равновесное соотношение, к которому неизбежно приходит смешанная культура дрожжей под действием отбора, отличается от «оптимального для группы». В этом как раз и проявляется «безразличие» естественного отбора к нуждам коллектива.
Источник: R. Craig MacLean, Ayari Fuentes-Hernandez, Duncan Greig, Laurence D. Hurst, Ivana Gudelj. A Mixture of «Cheats» and «Co-Operators» Can Enable Maximal Group Benefit // PLoS Biology. 2010. V. 8(9). P. e1000486.
См. также:
1) Честные дрожжи и дрожжи-обманщики могут жить дружно, «Элементы», 20.04.2009.
2) Альтруизм у бактерий помогает им противостоять антибиотикам, «Элементы», 07.09.2010.



