
Для того, чтобы успешно выкормить потомство в условиях более раннего наступления весны, большие синицы (Parus major) должны раньше приступить к откладке яиц. Только в этом случае родители, добывающие корм для птенцов, сумеют застать период максимального обилия гусениц, служащих им основной пищей. Такое смещение сроков размножения на более ранние даты (примерно на 2 недели за более чем сорокалетний период) действительно произошло в популяции большой синицы в окрестностях Оксфорда. Группа исследователей показала, что этот сдвиг даты откладки яиц объясняется исключительно фенотипической пластичностью поведения особей и не является результатом естественного отбора.

Глобальное потепление развивается столь быстро, что многие животные и растения оказываются плохо приспособленными к уже изменившимся условиям. Так, в Западной Европе весна по фенологическим признакам (например, распусканию листьев на определенных породах деревьев) начинается сейчас в среднем на 12-14 дней раньше, чем 40-50 лет назад. Вместе с тем известно, что многие сезонные явления в жизни растений и животных настроены не на изменения температуры (которая год от года может сильно колебаться), а на изменения длины светового дня — фотопериод.
Если птицы, улетающие на зиму в далекие теплые края, трогаются в обратный путь по сигналу фотопериода (а так оно обычно и бывает), то, прилетев в места гнездования на севере, они могут застать там вовсе не те условия, которые ожидали их раньше. Так, мухоловки-пеструшки (Ficedula hypoleuca), возвращающиеся из Африки в Голландию, выпадают из сместившегося фенологического календаря. К тому времени, когда мухоловки приступают к выкармливанию птенцов, уже проходит максимум численности гусениц — основных их кормовых объектов. Соответственно, резко снижается выживаемость птенцов (Both et al., 2006; см. также новость на «Элементах» Потепление на севере Европы заставляет голодать птенцов мухоловки-пеструшки). Остается только надеяться, что вектор естественного отбора направлен на сдвиг начала миграции с мест зимовки на более ранние сроки: ведь птицы, которые тронутся в обратный путь раньше других, будет иметь больше шансов оставить потомство.
С птицами, которые не улетают на зимовку в другие широты, дела обычно (но не всегда!) обстоят лучше. При более раннем наступлении весны они раньше приступают к размножению и успевают выкормить птенцов, пока еще сохраняется высокая численность их кормовых объектов. Появившаяся в последнем номере журнала Science публикация Анны Шармантье (Anne Charmantier) и ее коллег из Отдела зоологии Оксфордского университета посвящена разбору того, как в ответ на более раннее наступление весны смещаются сроки размножения большой синицы (Parus major).

Имеющиеся в распоряжении исследователей подробные данные о биологии синиц в лесу Уайтэм (Wytham woods) близ Оксфорда свидетельствуют, что за 47 лет наблюдений (1961–2007 гг.) самки большой синицы стали откладывать яйца на 14 дней раньше (рис. 1-А). Если же сравнить средний срок откладки яиц и количество тепла, полученного в тот или иной год за весну (сумму максимальных за день температур для периода с 1 марта по 25 апреля), то выясняется, что величины эти демонстрируют очень четкую корреляцию (рис. 1-В): чем теплее весна, тем раньше синицы приступают к размножению.

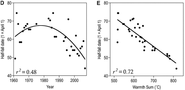
Стратегия сдвига сроков размножения на более раннее время оказывается жизненно-важной, так как только в этом случае выкармливающие птенцов родители могут застать пик обилия гусениц, часто составляющих основную часть их добычи. В окрестностях Оксфорда важную роль в составе пищи, приносимой родителями птенцам, играют гусеницы зимней пяденицы — Operophtera brumata (см. также Winter Moth). Эти бабочки вылупляются из находящихся в земле куколок ближе к осени. Самки, в отличие от нормальных крылатых самцов, имеют редуцированные крылья, и на деревья, где будет происходить спаривание и откладка яиц, им приходится забираться по стволам. Яйца, отложенные на деревьях в углублениях коры и под лишайниками, перезимовывают, а выходящие из них весной гусеницы начинают поедать распускающиеся почки и молодые листья. Достигшие своего максимального размера гусеницы падают с деревьев на землю, где окукливаются. Оценивая с помощью специальных ловушек численность падающих сверху гусениц, можно судить об их обилии, а дата, к которой падает половина учтенных гусениц (half-fall date), традиционно принимается в качестве показателя момента достижения максимальной биомассы гусениц.

Дата максимума биомассы гусениц за многолетний период наблюдений тоже сместилась на более ранние сроки (см. рис. 2-D), и тоже, как в случае со средней датой откладки синицами яиц, выявляется очень четкая корреляция ее с суммой температур за март–апрель (рис. 2-E). Неудивительно, что высоко достоверная положительная корреляция обнаруживается также между датой максимума биомассы гусениц и средней датой откладки яиц большой синицей (рис. 3).
Авторы обсуждаемой работы приходят к выводу, что наблюдаемое смещение сроков размножения в популяции синиц из леса Уайтэм объясняется не естественным отбором, а индивидуальной пластичностью в поведении особей. В пользу такого предположения свидетельствует, во-первых, то, что одни и те же птицы, размножающиеся более одного сезона, меняют дату откладки яиц в зависимости от того, насколько теплая стоит весна. Во-вторых, расчет сдвига средних дат и дисперсий признака (даты откладки яиц) показывает, что скорость его изменения за 47 лет слишком велика, чтобы ее можно было объяснить отбором в популяции, где средняя длительность генерации — около двух лет. Выявление индивидуальной изменчивости по признаку даты откладки яиц показывает, что она незначительна. Иными словами — все особи ведут себя более или менее сходно.
Интересно, что в другой обстоятельно изученной популяции больших синиц (в Голландии), вариабельность по данному признаку гораздо выше, а вот степень произошедшего сдвига в сроках размножения гораздо меньше (Nussey et al., 2005).
Источник: Anne Charmantier, Robin H. McCleery, Lionel R. Cole, et al. Adaptive phenotypic plasticity in response to climate change in a wild bird population // Science. 2008. V. 320. P. 800–803.
См.: также:
1) Will Cresswell, Robin McCleery. How great tits maintain synchronization of their hatch date with food supply in response to long-term variability in temperature (весь текст в открытом доступе) // Journal of Animal Ecology. 2003. V. 72. P. 356-366.
2) Потепление на севере Европы заставляет голодать птенцов мухоловки-пеструшки, «Элементы», 05.05.2006.
3) Christiaan Both, Sandra Bouwhuis, C. M. Lessells, Marcel E. Visser. Climate change and population declines in a long-distance migratory bird // Nature. 2006. V. 441. P. 81–83.
4) Daniel H. Nussey, Erik Postma, Phillip Gienapp, Marcel E. Visser. Selection on heritable phenotypic plasticity in a wild bird population // Science. 2005. V. 310. P. 304–306.
Алексей Гиляров












