Аркадий Курамшин, кандидат химических наук
«Химия и жизнь» №1, 2017

В каждой семье свои традиции новогоднего застолья, но редко у кого дело не доходит до чая — большинство все-таки запасается тортами и конфетами. Конечно, в новогоднюю ночь едва ли кто-то задумается над тем, какими веществами — синтетическими или натуральными — окрашена кремовая надпись «С Новым 2017 годом!». Вообще, по опыту автора (активного участника офлайновых и онлайновых дискуссий), зимой на фронтах войны натурального против синтетического относительное затишье. Начало наступления обычно совпадает по времени с первым урожаем зелени на шести бескрайних сотках.
Между тем в 2017 году исполнится десять лет с того момента, как апологеты натуральных пищевых добавок начали брать вверх над сторонниками синтетических (по крайней мере, в общественном мнении). В 2007 году на основании доклада профессора Джеймса Стивенсона из Саутгемптонского университета Агентство по пищевым стандартам Великобритании пересмотрело рекомендации в отношении некоторых искусственных пищевых добавок, в первую очередь синтетических красителей.
Вот основной вывод Стивенсона: «Проведено крупное исследование в важной области. Результаты свидетельствуют о том, что потребление определенных искусственных пищевых красителей... связано с повышением частоты случаев гиперактивного поведения у детей. Однако родители не должны думать, что, исключив из рациона эти пищевые добавки, они избавят своих детей от подобных расстройств. Нам известно, что многое другое влияет на гиперактивность, но по меньшей мере этот риск можно снизить».
Доклад прямо или косвенно обвинял следующие синтетические пищевые красители: тартразин (E102, желто-оранжевого цвета); хинолиновый желтый (E104, фактически желто-зеленый); желтый «солнечный закат» (E110, оранжево-желтый), красные кармазин (E122) и понсо 4R (E124) и красный очаровательный АС (E129) — оранжево-красный.

Несмотря на мягкую формулировку, британское Агентство по пищевым стандартам, финансировавшее исследования Стивенсона, призвало британских производителей добровольно отказаться от использования пищевых красителей, упомянутых в докладе. Потом начались многочисленные акции в Европейском Союзе, участники которых требовали удалить синтетические красители из еды и напитков, — маховик был запущен.
Вместе с тем в документе самого Агентства по пищевым стандартам, на основании которого синтетические красители стали считаться чем-то нехорошим, написано, что нет строгих научных данных, которые бы указывали на прямую связь между красителями и изменением в поведении детей. Так, в разделе, посвященном методологии исследования, говорится, что примерно в 50% случаев выявленная связь между гиперактивным поведением и потреблением продуктов с искусственным красителем делалась на основе оценочных суждений родителей. В тех же случаях, когда речь шла о статистических закономерностях, полученных педиатрами, практически не применялись слепое тестирование и двойное слепое тестирование, которые позволили бы выявить возможные эффекты плацебо и ноцебо (то есть отрицательную реакцию, вызванную число психологическими причинами). И, само собой, анализ был только по красителям в напитках и сладостях, а не по количеству сладостей или содержанию в них других веществ.
С 2007 года производителям пришлось изменить состав сотен напитков и продуктов питания. Главным образом в рецептуре заменяли синтетические красители (не только шесть упомянутых в «саутгемптонском докладе», но и другие) красителями, выделенными из природных источников. А разрабатывая новые продукты, технологи старались использовать натуральные красители. Статистика говорит, что 90% пищевых продуктов, появившихся на европейским рынке за последние пять лет, содержат только натуральные красители. В США и Канаде таких продуктов меньше, лишь 50%.
Скорее всего, европейские дети не стали здоровее после перехода на натуральные красители, а вот химики-пищевики и технологи приобрели большую головную боль.
С точки зрения химика и технолога, нет ничего лучше синтетических красителей. Они устойчивы, растворимы в воде, их можно использовать в любом рецепте, большинство из них не меняют цвет при термообработке. С натуральными красителями, напротив, множество проблем: на их поведение и внешний вид влияют рН, температура, свет и даже контакт с кислородом воздуха. И вишенка на торте: далеко не все красители природного происхождения хорошо растворимы в воде. При этом каждый природный краситель заставляет решать дополнительные задачи, чтобы скучно не было. Так, например, если натуральный краситель растворяется в жирах, а использовать его надо в продуктах, содержащих большое количество воды, то, чтобы продукт оказался равномерно окрашен, нужны особые методы стабилизации эмульсии. Вдобавок даже для одного и того же красителя рецептура эмульсии зависит от его применения. Один из эмульгаторов для жирорастворимого бета-каротина — сложные эфиры сахарозы. Впрочем, стабилизированная ими эмульсия устойчива только в сильнокислой среде, а если pH больше 4, то она расслаивается. Бета-каротин пришел на смену синтетическому красителю желтый «солнечный закат», но если для него пищевики могли использовать один универсальный раствор, то для бета-каротина существует шесть версий рецептур, применяемых в зависимости от того, что именно надо сделать желтым — сок, леденец или что-то другое.
Еще одна проблема, осложняющая и без того непростую жизнь пищевой промышленности Европы и Северной Америки, заключается в том, что нет единого законодательства, оговаривающего правила применения пищевых красителей (даже натуральных). Из-за этого продукт, разрешенный в одной стране, часто попадает под запрет в другой. Так, например, в США, независимо от происхождения, искусственным считается любой краситель, меняющий естественный цвет продукта. Некоторые натуральные красители разрешены к применению в Европе и запрещены в США, и наоборот. Что касается нашей страны, у нас ситуацию с пищевыми красителями регламентирует ГОСТ Р 52481-2010, в соответствии с которым натуральным считается пищевой краситель, полученный из сырья растительного или животного происхождения, синтетическим — краситель, полученный методами органического синтеза. Наш ГОСТ вообще не предполагает использования термина «искусственный пищевой краситель».
Наиболее известны красные и желтые природные красители. Это прежде всего каротиноиды бета-каротин, лютеин, содержащие каротиноиды порошки (их получают измельчением плодов красного перца Capsicum annuum и экстракцией из семян ашиота Bixa orellana), а также не относящийся к каротиноидам куркумин.

Каротиноиды
Эти соединения могут придавать продуктам оттенки от бледно-желтого до красного. Например, с помощью бета-каротина можно получить желтые и красно-оранжевые цвета, апокаротеналь же придаст продукту (кондитерским изделиям, мороженому, напиткам и пр.) глубокий оранжевый цвет. Окраска бета-каротина, конечно, хороша, более того, оттенки каротиноидов можно регулировать, меняя соотношение двойных связей в цис- и транс-конфигурации. Однако в чистом виде его использовать нельзя, поскольку бета-каротин не растворяется в воде, умеренно растворяется в маслах и к тому же быстро окисляется кислородом воздуха.
На помощь пищевикам приходят нанотехнологии — чтобы бета-каротином и некоторыми родственными ему соединениями можно было окрашивать соки или молочные продукты, их инкапсулируют в полые наночастицы. Так обеспечивают равномерное распределение красителя по всему объему продукта. К сожалению, для разных типов продуктов приходится методом проб и ошибок разрабатывать различные нанокапсулы.
Цвет, который каротиноиды придадут продуктам, зависит от их химического строения и способа введения в продукты. Водная эмульсия масла, в котором растворен бета-каротин, — желтая, суспензия каротина в воде — оранжевая, а сам бета-каротин в кристаллическом состоянии красный, почти такой же, как мякоть спелого арбуза.
Часто красители-каротиноиды не выделяют из природных источников, а получают синтетическим путем (или полусинтетическим — модификацией природных соединений), что создает дополнительные проблемы. Люди, страдающие хемофобией в особо острой форме, считают такие каротиноиды тоже искусственными. Хотя очевидно, что выделенный из морковки и полученный в лаборатории бета-каротины совершенно идентичны.
После окисления каротиноиды теряют окраску, поэтому, чтобы продукты на полках супермаркетов сохраняли товарный вид, к композициям на их основе приходится добавлять антиоксиданты. Обычно в качестве антиоксидантов используют аскорбиновую кислоту, ее производные или токоферол. Если окрашенный каротиноидами товар упакован в прозрачную пластиковую тару, то, чтобы защитить разлагающиеся на свету пигменты, их надо еще инкапсулировать в крахмал или гуммиарабик.
Оранжево-красный пигмент аннато получают из семян южноамериканского растения ашиота (Bixa orellana). Основной окрашенный компонент экстракта семян ашиота — растворимый в неполярных растворителях каротиноид биксин, на одном конце цепи которого сложноэфирная группа, а на другом — свободная карбоксильная группа. Близкий родственник биксина — норбиксин, который можно получить, гидролизуя сложноэфирный фрагмент. Норбиксин используют в молочных продуктах, прежде всего в сырах. Веками (с XVII века) это вещество придает желтую или желто-оранжевую окраску чеддеру, сыру колби и красным сортам лестерского сыра.
Кантаксантин (Е161g) — ярко-красный пигмент, выделяемый из болгарского перца, — разрешен к применению в США и почти запрещен в Европе. Единственный европейский продукт, в котором он допустим, — это страсбургские колбасы. Ограничение связано с событиями 1980-х годов, когда люди принимали препараты с кантаксантином для «загара без солнца», что, как считается, могло приводить к обратимому отложению кристаллов этого вещества на сетчатке глаз. Конечно же, в тех препаратах кантаксантина было в сотни раз больше, чем можно получить, съев подкрашенный им продукт, но осторожные европейцы решили перестраховаться.
Есть большая группа водорастворимых природных красителей — антоцианины. Хорошая растворимость в воде — это плюс, но есть и минус: их цвет зависит от значения pH. Фактически эти соединения — индикаторы основной среды: в
нейтральной среде антоцианины, в зависимости от строения, могут приобретать красный, пурпурный или синий цвет, при повышении рН становятся зелеными или коричневыми, а в кислой среде окраска исчезает.
Зависимость цвета природных красителей от рН — их главное отличие от синтетических. Большинство синтетических красителей сохраняют свой цвет и оттенок на всем интервале значений рН, характерных для продуктов питания. Еще один недостаток антоцианинов — чувствительность к свету, и тут, в отличие от светочувствительности каротиноидов, не поможет стабилизация аскорбиновой кислотой. К сожалению, пищевики не могут получить оранжевый цвет, смешивая желтый бета-каротин с красным антоцианином: в такой композиции большое количество аскорбиновой кислоты, изменив рН, обесцветит антоцианин, а малое — бета-каротин.
Еще один природный водорастворимый пигмент, куркумин, экстрагируют из корня куркумы, хорошо известной пряности. Его яркий лимонно-желтый цвет быстро тускнеет на свету и разрушается в напитках, особенно при комбинированном воздействии света и воды, поэтому куркумином традиционно подкрашивают конфеты и леденцы, но не газировку.

Кармин
Заметим, что далеко не все природные красители соответствуют запросам современных потребителей. Например, сегодня многие производители отказываются от одного из лучших натуральных красителей — кармина Е120, дающего интенсивный и стойкий красный цвет. Почему? Да потому, что, хотя кармин — краситель исключительно природного происхождения, его получают из самок насекомых кактусовой ложнощитовки Dactylopius coccus, а значит, пищевая добавка Е120 недопустима в рационе вегетарианцев. Помимо этого, она не разрешена ни в халяльной, ни в кошерной пище. Там, где возможно, кармин заменяют антоцианинами, а где нельзя — бетанином (Е162) — пигментом, входящим в состав красной свеклы. Некоторые ее сорта выращивают специально для получения бетанина.

Бетанин
Главный недостаток бетанина в том, что при нагревании он меняет цвет с красного на коричневый и, как многие другие натуральные красители, разлагается на свету. Идеальный продукт для применения бетанина — мороженое, которое хранится в темноте и при отрицательных температурах (а чем, вы думали, подкрашивают клубничное мороженое?). Для продуктов, приготовление которых требует повышенной температуры (выпечка, зефир, некоторые виды напитков), приходится либо методом проб подбирать природные пигменты, сохраняющие свой цвет после духовки или кипячения, либо полностью менять технологию производства, добавляя красители в уже готовый продукт.
Все сложности с натуральными желто-красными оттенками соков, конфет и выпечки, о которых говорилось выше, кажутся детским садом по сравнению с проблемами, которые возникают при необходимости придать какому-либо продукту зеленый или синий цвет. Дело в том, что природных зеленых или синих пигментов, которые сохраняют свои оттенки во время и после кулинарной обработки, куда меньше, чем оранжево-красных пигментов. Тем не менее и здесь есть варианты замены.

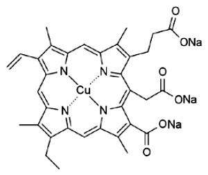
Хлорофиллин меди
Заставить напиток, конфету или крем заиграть оттенками зеленого позволяет тот самый хлорофилл, что окрашивает листья растений, или его производное — хлорофиллин меди. Оба эти вещества дают насыщенный зеленый цвет; салатовую окраску можно получить, смешав любое из них с куркумином. Правда, хлорофилл и хлорофиллин меди теряют цвет в кислой среде, но производителям уже удалось найти способ его стабилизации на время, сравнимое со сроком годности большинства продуктов.
Единственный доступный в настоящее время синий пигмент природного происхождения — окрашенный белок фикоцианин, который выделяют из цианобактерий (синезеленых водорослей) Arthrospira platensis и Arthrospira maxima, хорошо известных под названием спирулина. А коль скоро это белок, применять его можно только в продуктах, имеющих нейтральное значение рН, например, в твердых конфетах-леденцах.
В Европе разрешены и производные хлорофилла, и фикоцианин, а в США хлорофилл и хлорофиллин меди пока запрещены, из-за чего американским пищевикам приходится готовить зеленые пищевые красители, смешивая фикоцианин с куркумином. Общий недостаток зеленых и синих пигментов природного происхождения — чувствительность к повышению температуры.
Индивидуальные пигменты, выделенные из природных источников (или синтезированные по аналогии с природными), американские и европейские производители продуктов питания обязаны декларировать и сертифицировать. А вот обладающие цветом и также применяющиеся в качестве пищевых красителей экстракты растений — нет. В этом случае на этикетке товара пишут, что в его состав входит, например, «экстракт капусты краснокочанной».
Также в соответствии с правилами Евросоюза, вступившими в силу с ноября 2015 года, окрашенные экстракты свеклы, капусты, моркови, редиса, шпината, томатов, земляники и других растений считаются экстрактами растительного происхождения и не требуют обязательной сертификации до тех пор, пока в них сохраняется соотношение компонентов, характерное для исходного растения. Тем не менее стоит только начать концентрировать экстракт или что-то выделять из него, окрашенное вещество тут же превращается с точки зрения законодательства в пищевой краситель, применение которого требует обязательной регистрации, проверки токсичности и присвоения номера «Е».
Примерно та же самая картина наблюдается и у нас, с тем только исключением, что в уже упомянутом ГОСТ Р 52481-2010 не подразумевается возможность применения окрашенных экстрактов растений неизмененного состава для использования в качестве пищевых красителей. Что же касается красителей натуральных, тут они тоже обязаны быть соотнесены с Е-индексами. Вот как, например, в этом ГОСТе определяется пищевой краситель куркумин: «Дицинномаилметановый краситель, получаемый экстракцией из корневищ культуры Curcuma longa L., содержащий не менее 90% красящих веществ, отвечающих максимуму оптической плотности этанольного раствора при длине волны 426 нм, представляющий собой кристаллический порошок оранжево-желтого цвета. Е-номер: Е100». Так что буква Е с цифрами на упаковке, вопреки распространенному мнению, не всегда означает, что в продукте «синтетика».
Технологи продуктов питания жалуются еще на одну проблему. Если они выводят на рынок новую линейку продуктов с натуральными красителями, то все довольно просто: у потребителя нет предубеждения по поводу цвета сока или конфеты, было бы вкусно. Иное дело продукты, которые уже давно на рынке и в которых пришлось синтетические красители заменить натуральными. Нередко в этом случае знакомый цвет изменяется довольно сильно, и потребителю это вряд ли понравится.
И в Европе, и особенно в США покупатели, привыкшие к ярким цветам синтетических пищевых красителей, без восторга относятся к тому, что привычные вкусности потускнели из-за перехода на природные пигменты. Немаловажно и то, что замена чаще всего приводит к подорожанию продукта, когда символическому, а когда и вполне ощутимому. Единственный прием, который способствует привлечению покупателей, — рекламные кампании, объясняющие, что хоть оранжевый цвет и стал тусклым, но теперь конфетам его дает натуральная морковка, а не какой-то там синтетический Е122. Однако следует отметить, что такой подход еще увеличивает иррациональный страх перед всем химическим. Напомним, что вред для фигурировавших в докладе 2007 года веществ никак нельзя считать доказанным. В свою очередь, этот страх и дальше может подталкивать к изменению правил, регулирующих состав пищевых продуктов, и все это в конечном счете не приносит радости никому — ни производителям продуктов питания, ни потребителю.
Азокрасители