Владимир Александрович Гордин
«Квант» №3, №4, 2010
Зачем крутится ветр в овраге,
Подъемлет лист и пыль несет,
Когда корабль в недвижной влаге
Его дыханья жадно ждет?
А. С. Пушкин. Египетские ночи
Александр Сергеевич на этот вопрос отвечает так: «Затем, что ветру и орлу // И сердцу девы нет закона». Однако ученые люди и до и после написания этих замечательных стихов тщились эти законы отыскать. Ведь интересно, красиво, а возможно, и полезно будет. Член Парижской академии наук Л. М. А. Навье предложил уравнения, описывающие динамику вязкой жидкости, за несколько лет до издания «Египетских ночей». Конечно, от этих уравнений до практического прогноза погоды была дистанция порядочная...
Обсервации метеорологические отправлял с 1729 года,
через которые не без великого беспрестанного старания
и труда много нового мною изобретено, что надлежит до
состояния погод здешнего климата, и еще все можно
усмотреть из поданных мною в Академию надлежащих писем.
Г. Крафт
Уточним, что такое метеонаблюдение. Например, смотрим в окно — пешеходы идут с зонтиками. Или в шубах. Можно сделать кое-какие выводы. Летчику на подлете к аэродрому сообщают: видимость сейчас плохая, но, судя по радару, приближается небольшое окно в облаках. Через три минуты будет понятно, садиться ли или идти на запасной аэродром. Это — наблюдения, которые используются сразу.
Разнообразных метеонаблюдений, поступающих в базу данных Гидрометцентра России, около 106. И, видимо, будет больше. Современные технологии прогноза погоды позволяют давать его на несколько суток с довольно высокой точностью. Эти технологии — результат многовекового прогресса.
Количество осадков за весну измеряли левиты в Храме в Иерушалаиме. Если суммарный уровень осадков превышал 7 ладоней (около 56 см), то ожидали хороший урожай летом.
В Египте измеряли подъем уровня Нила.1 Причины подъема были загадочны. Две с половиной тысячи лет назад Геродот сообщил в своей «Истории» несколько версий — уже тогда они были старинными.
Обыкновенные для нас приборы — барометр, термометр — появились несколько веков назад. В 1597 году Г. Галилей изготовил термоскоп: стеклянный шар с водой и погруженная в него трубка. Уровень воды характеризовал температуру (лат. temperature — надлежащее смешение, нормальное состояние; темперамент — однокоренное слово). Позднее Сагредо, ученик Галилея, нанес на трубку деления — измерения получили количественный характер.2
Вода — непростая жидкость, ее объем не растет монотонно с температурой, минимум достигается при 4°C.3 Поэтому в качестве рабочей жидкости ее использовать неудобно. В 1641 году во Франции уже имелись довольно совершенные спиртовые термометры (этот термин появился в 1636 г.). В 1715 году житель города Данцига Д. Фаренгейт наладил производство ртутных термометров.4 В 1724 году он предложил, во-первых, разделить диапазон между точками плавления и кипения воды на 180 частей, которые теперь называются градусами Фаренгейта (°F), а во-вторых, считать температуру плавления равной 32°F. В 1732 году Реомюр предложил делить этот же диапазон на 80 частей, а астроном А. Цельсий в 1742 году — на 100 частей, причем его градусы уменьшались (!) с потеплением. Перевернуть эту шкалу предложил ботаник К. Линней в 1745 году. В России этот градусник долго называли шведским, а использовали термометр Л. Делиля с делением на 150 частей. Неясно, с чем связана буква С в традиционном обозначении градусов Цельсия: с фамилией шведского астронома или со словом centrigrade (стоградусник).
Честь изобретения барометра в 1643 году принадлежит ученику Галилея — Э. Торричелли (и, возможно, их ученику В. Вивиани).
Силу и направление ветра научились измерять намного раньше — прибор мало отличался по конструкции от ветряной мельницы, а мельницы эти крутились в Европе со времен Крестовых походов. Однако еще в XVIII веке скорость ветра оценивали на глаз. В дневнике Петра I летом 1715 года сообщается: «6 июля. Ветр был о полудни средний, а к вечеру тише и ночью... 7 июля ветр был от зюд-оста зело тих и более 840 сажен не уходил в час».

Появление этих приборов (рис. 1) позволило «вести летопись» давления и температуры, хотя практический смысл таких наблюдений вряд ли тогда был ясен. Разве что начальство могло в справочник посмотреть — узнать, где какие температуры в державе случаются и какие снега выпадают. Крестьянин справочники не читал — смотрел на небо лично. И Ломоносовская ода: «Наука легких метеоров, // Премены неба предвещай, // И бурный шум воздушных споров// Чрез верны знаки предъявляй, // Чтоб земледелец выбрал время, // Когда земле поверить семя // И дать когда покой браздам, // И чтобы, не боясь погоды, // С богатством дальны шли народы // К Елисаветиным брегам» — получила реальное подтверждение лишь пару веков спустя.5 А до той поры затраты «на воздух» приносили маловато доходу казне и производились со скрипом.6
В «Речи о пользе наук и художеств» в сентябре 1750 года С. Крашенинников (уже академик, а не студент) честно признал: «Смешно кажется, когда физик записывает перемену погод со всяким прилежанием, но ежели бы сыскалось правило, как ее наперед узнавать, то, без сомнения, великой чести удостоилось для того, что перемена в самом здравии нашем немало от того зависит; знающему, что последует, можно от вреда поостеречься».
Однако постепенно заметили, что сильное падение давления предвещает пасмурную, дождливую погоду, возможно с сильным ветром. Капитаны кораблей, уцелевшие в штормах, старались выработать алгоритм поведения на основе изменения давления, а также силы и направления ветра. Алгоритм был громоздок. Глядя на простые современные карты погоды (в Интернете можно найти даже анимационные карты), которые может понять и школьник, трудно в этакую сложность поверить. А тогда, если капитан пренебрегал правилами или если ими (весьма далекими от совершенства) пренебрегал шторм, плата была велика. Адмирал Нельсон ставил себе в заслугу не только победы в сражениях, но и умение маневрировать в шторм — не потерял ни одного корабля.
Раз от барометров обнаружилась польза, их появилось много. А дальше возникло естественное желание: сопоставлять показания не только в одной точке за разные моменты времени, но и одномоментные наблюдения в разных точках — составлять барические карты. Примерно в это время подоспел со своими услугами телеграф. Сначала в качестве правительственной связи, затем для военно-политической, административной, финансово-экономической информации. Потом дошла очередь и до метеорологии.7 Прогноз погоды был делом весьма сомнительным, и правительства предпочитали вкладывать деньги во что-нибудь более надежное, например в пушки. Однако и военным, и администраторам срочные метеосведения бывают нужны. Поэтому длительные обсуждения финансирования телеграфных затрат в шестидесятых-семидесятых годах XIX века были успешно завершены в большинстве стран Европы.
В США телеграфист, заступавший на смену, должен был послать об этом сообщение. Чтобы лишних средств не тратить, придумали: пусть вместо этого посылает информацию о давлении — барометр поставить ему на рабочий стол. К этому времени было ясно, что давление убывает с высотой. Чтобы сопоставлять давления в разных местах, а значит на разных высотах над уровнем моря, необходимо научиться приводить давление, измеренное на уровне поверхности, к общему уровню — уровню моря. Там, где была выполнена топографическая съемка (точность которой была тогда не слишком высока), можно было воспользоваться барометрической формулой Лапласа
. Ее можно дополнить уравнением Клапейрона
. Следствием из этих соотношений — уравнением гидростатики
![]()
— удобно пользоваться для экстраполяции до уровня моря, «под землю», поскольку изменение абсолютной температуры в правой части равенства составляет лишь несколько процентов.
Разумеется, экстраполяция «под землю», где никакого воздуха нет, штука условная. Но результаты получались сравнительно приличными. Вместе с нанесенными на карту ветрами это даже создавало возможность краткосрочного прогноза: предположим, что ветер будет дуть так же, как и в данную минуту, тогда за сутки он принесет из пункта А в некий пункт Б такое-то давление, которое сейчас имеется в точке А.

Гипотеза эта, как и рассуждение, имеет большую погрешность. Ветры переменчивы. И не только со временем, но и с высотой (рис. 2). Достаточно сравнить направление движения гонимых ветром облаков с направлением ветра на уровне нашего носа — различаются.8 А на каких же высотах «переносится погода»? Оказывается, на всех, причем результат зависит и от скорости ветра (обычно растет с высотой), и от плотности воздуха (убывает). Следовательно, простым переносом того или иного метеорологического явления «по прямой» толковый прогноз погоды не сделаешь, а нужно измерять температуру, давление, влажность, скорость ветра не только около поверхности земли, но и на высотах. На каких высотах? На тех, где сосредоточена большая часть массы, импульса и энергии атмосферы.
И вот Знайка стал думать. Думал он три дня и три
ночи и придумал сделать шар из резины.
Н. Н. Носов. Приключения Незнайки и его друзей
Из школьного курса физики известно, что убывание давления и плотности воздуха с высотой близко к экспоненциальному (попробуйте с помощью приведенных выше формул приблизительно оценить показатель экспоненты). Определить среднюю скорость ветра на разных высотах на основе таких простых соображений не получается. Впрочем, сейчас, после века регулярных измерений, мы ее знаем довольно хорошо (рис. 3).

Разумеется, поднимавшиеся на первых воздушных шарах люди могли взять с собой метеорологические приборы. Но сами воздушные шары были раритетами. Каждый день отправлять в полеты сотни таких шаров — ни у какой державы на это не хватило бы ни денег, ни пилотов. А если запускать воздушный шар поменьше и без людей? Изготовить автоматически работающие метеорологические приборы в девятнадцатом веке было бы сложно, но все же возможно. А сколько времени понадобится, чтобы этот самый зонд потом найти?! Информация (если мы хотим использовать ее для прогноза, скажем, на сутки) уже устареет. Можно использовать воздушных змеев — но нужен большой (а значит, сложный и дорогой) змей, чтобы мог поднять приборы. Да и не при всяком ветре он полетит. И не слишком высоко его можно запустить.9
Ситуация улучшилась с изобретением радио и прогрессом в радиотехнике. Передатчик уменьшался в размерах и весе — уменьшались и сами метеоприборы. К тридцатым годам прошлого века такой измерительно-передающий комплекс, достаточно надежный и недорогой, чтобы его использовать для сравнительно массовых измерений, был изготовлен в разных странах. Затем последовала вторая мировая война. Военные аспекты метеорологии вышли на первый план. Информация стала секретной, и об ее свободном обмене речь уже не шла. Прилагались огромные усилия, чтобы засекретить свою погоду и узнать погоду на территории противника. Эпизоды этой смертельной борьбы описаны в книге З. М. Каневского «Цена прогноза» (Л.: Гидрометеоиздат, 1976). В борьбе участвовали подводные лодки и большие надводные корабли, разведывательные группы и самолеты. Один из руководителей разведки Третьего рейха В. Шелленберг в своих мемуарах пишет, что в дни, предшествовавшие немецкой оккупации Норвегии, основная секретная информация немецких агентов была метеорологической.
Последовавшая «холодная война» обмену информацией также не способствовала. Архивы сохранили, например, докладную записку управляющего делами ЦК ВКП(б) Д. В. Крупина секретарю ЦК ВКП(б) М. А. Суслову от 7.4.1948 о разглашении важных в военном отношении сведений в книге «Климатические области и районы СССР».10 Справка замначальника Генштаба подтверждала: да, действительно, имело место разглашение потенциальному противнику важных сведений, особенно про Советскую Арктику. Дело тогда закончилось тихо: автора — профессора Б. П. Алисова — даже не посадили, книгу, правда, пустили под нож... А данные о климате наших северных морей и сейчас, спустя шестьдесят с лишним лет, содержат лакуны. Однако в те же годы появилась Всемирная метеорологическая организация — агентство ООН по метеорологии. И результаты ее работы не стыдно предъявить человечеству.
В настоящее время основным источником информации для Гидрометцентра России являются поступающие два раза в сутки (или чаще) телеграммы, их сейчас около 6500 за каждое поступление, характеризующие состояние атмосферы у земной поверхности.11 Это так называемые синоптические12 данные, из которых около 2000 приходят с морских буев13 и с морских судов. К ним добавляются примерно 650 аэрологических телеграмм, приходящих с тех метеорологических станций, на которых осуществляются запуски радиозондов. Аэрологическая информация, если пользоваться метеорологическим жаргоном, «освещает» атмосферу над планетой — радиозонд долетает и сообщает сведения о метеорологических полях до высоты 30 км и более.
Измерения, которые производит радиозонд в полете, часто приписывают одному моменту времени — его называют стандартным сроком наблюдения. Имеется международная договоренность, какие сроки считать стандартными, чтобы эти измерения во всех странах производить одновременно (мы обсудим ниже, почему такая одновременность удобна для расчетов). Однако зонд поднимается на максимальную высоту отнюдь не мгновенно — обычно это занимает около полутора часов.14 Следовательно, пренебрежение этим временем приводит к ошибке в интерпретации измерений. Для того чтобы оценить эту погрешность, нужно умножить характерную производную ∂t f измеряемой величины f (температуры, давления, влажности, ветра) по времени t на ∆t ≈ 1,5 часа. В грубой модели такой ошибкой δf = ∆t · ∂t f можно пренебречь, а в хорошей современной модели лучше произвести надлежащие поправки. Стоит учесть и нарастающее со временем подъема смещение зонда по горизонтали.
Южное полушарие Земли «освещено» данными значительно хуже, чем северное. Многие метеорологические центры, расположенные далеко к северу от экватора, когда-то не принимали во внимание этот плохо «освещенный» район и ограничивали область своего прогноза северным полушарием, а иногда и его частью. Другой причиной такого ограничения была недостаточная производительность компьютера. Конечно, атмосферные процессы, происходящие в южном полушарии, влияют на состояние атмосферы в северном, и такое вынужденное ограничение приводит к появлению ошибки, возрастающей со временем и распространяющейся от экватора к северу. «Смягчающим вину обстоятельством» служили сравнительно небольшие значения меридиональной15 составляющей ветра.
Синоптические и особенно аэрологические данные «освещают» северное (и тем более южное) полушарие неравномерно. Более половины его площади занимает океан, а радиозонды там запускают лишь несколько островных метеорологических станций и несколько судов погоды, стоящих на якорях. Наиболее густая сеть станций — в Европе, Восточной Азии и Северной Америке. Предположим, что все 650 аэрологических станций находятся в северном полушарии и распределены равномерно, и оценим густоту такой сети. Радиус Земли Rз ≈ 6400 км, площадь поверхности северного полушария SN = 2πRЗ2 ≈ 2,6·108 км2. Таким образом, одна аэрологическая станция приходится в среднем на площадь S1 ≈ SN/650 ≈ 4·105 км2. Такую площадь имеет квадрат со стороной, равной расстоянию от Москвы до Санкт-Петербурга (~ 600 км). Если вместо аэрологической сети рассмотреть синоптическую, то сторона квадрата уменьшится примерно до 300 км.

Эта оценка дает примерное представление о минимальном горизонтальном масштабе тех явлений, которые мы имеем шансы предсказать. Действительно, прежде чем вычислять эволюцию метеорологических полей, мы уже должны предположить, что в начальный момент времени значения метеорологических элементов в Бологом суть средние арифметические значения этих же элементов в Москве и Санкт-Петербурге. Предположение грубоватое, особенно если учесть, что выпадение дождя в одном районе Москвы может наблюдаться при ясной погоде в другом, так что резкую границу выпадения дождя иногда можно увидеть даже на асфальте (рис. 4).
Из нашей оценки также следует, что для прогноза с мелким шагом порядка 10 км необходимо количество метеорологических станций увеличить примерно в тысячу раз, что нереально с экономической точки зрения. Прогресс возможен лишь при переходе к качественно иным методам измерений: например, если будет найден метод повышения точности и расширения области зондирования радаров, с помощью которых в настоящее время производят измерения в районе аэропортов, или метод повышения точности и разрешающей способности метеорологических спутников (рис. 5, 6).

В ближайшее время растущая точность16 спутников, видимо, сравняется с точностью метеозондов, и это изменение количества информации, в свою очередь, существенно повлияет и уже влияет сейчас на методы усвоения оперативной метеорологической информации (т. е. регулярно поступающей в установленное время суток и в установленной форме).
Рис. 6. Можно попытаться разделить средний ветер и ветер локальный. На левом квадрате 25×25 км с разрешением 0,5 км приведено поле отклонения ветра от среднего по этому же квадрату на высоте 1 км (где уже на ветер слабо влияют особенности земной орографии, дома и т. п.). Измерения проводились совместно двумя радарами в Оклахоме в 14 ч 38 мин по Гринвичу 27 июля 1977 года. Вектор среднего потока (точнее, 1/2 vср) приведен в верхнем правом углу и составляет 14,8 м/с. Видно, что отклонения меньше среднего потока на порядок (но не более!). И у них есть своя повторяющаяся структура — вихри с характерным размером 4 км. На правом рисунке приведены измерения ветра, проведенные при тех же условиях, что и на верхнем, но спустя примерно 3,5 мин. Средний ветер практически не изменился, а мелкомасштабная структура отклонений от него изменилась. Основное изменение (хотя не все сводится к нему) — перенос вдоль основного потока в восточном направлении. Можно оценить, что вся начальная картинка «уйдет» из рассматриваемого квадрата примерно за 28 мин — для посадки или взлета самолета вполне достаточно. Изображение: «Квант»
А если отказаться от равномерного распределения метеорологических станций? Расположим десяток их в районе Москвы, и уж тогда для Москвы дадим точный прогноз. Не получится. Сами уравнения, описывающие динамику атмосферы, позволяют оценить скорость распространения влияния из одной точки в другую — около 300 м/с. Да и скорость ветра в 50 м/с на высоте нескольких километров вполне обыкновенна. Даже если ориентироваться на эту меньшую скорость, нужно признать, что за час частицы воздуха могут преодолеть 180 км. Следовательно, даже при прогнозе на одни сутки ареал влияния на погоду в Москве значительно превосходит Московскую область, и поэтому необходимо иметь информацию извне области. Так что при прогнозе погоды более чем на сутки даже в такой большой стране, как Россия, необходимы данные из-за границы.
Уже упоминалось, что прогноз в Гидрометцентре России считают один-два раза в сутки (для усвоения данных считают на небольшой срок, но зато чаще: четыре раза в сутки). При этом нужно либо вовсе отказываться от результатов измерений, производимых не в то время (не в основные сроки измерений), либо слабо учитывать эти данные, причем тем слабее, чем больше различаются срок измерения tизм и основной срок наблюдения t0), начиная с которого мы считаем прогноз.17 При такой организации отказываться приходится от большого объема информации (напомним, что некоторые метеорологические станции запускают зонды четыре раза в сутки, а спутники производят измерения практически непрерывно).
Для того чтобы использовать эту асинхронную информацию, можно применять следующую процедуру. Стартуя с момента t0, дать прогноз на небольшой срок δt, затем, используя полученный результат в качестве первого приближения, «подкачать» данные, относящиеся к интервалу времени (t0, t0 + δt), потом уточненный прогноз на момент t0 + δt использовать как начальное условие для прогноза на период (t0 + δt, t0 + 2δt) и т. д. Поскольку для практики нужен прогноз погоды с заблаговременностью T >> δt, то время от времени нужно считать и прогноз на срок T, но при этом в начальные данные для такого прогноза входят и более ранние данные из интервала (t0 – kδt, t0), где k — число «подкачек» информации. Мы как бы делаем прыжок с непрерывно движущейся ленты эскалатора, а не с неподвижной Земли. После того как посчитан новый прогноз, можно уже его использовать в качестве первого приближения и вводить поправки, чтобы следующий прогноз был еще ближе к наблюдениям. Разумеется, для реализации такой весьма непростой процедуры «непрерывного», его еще называют четырехмерным, усвоения данных нужно производить большее количество вычислений, чем для решения динамической задачи с фиксированным начальным полем, а следовательно, иметь более мощный компьютер.
Другой вариант усвоения называется вариационным. Всевозможные поля температуры, давления, влажности и ветра в атмосфере, т. е. несколько функций трехмерного аргумента, образуют бесконечномерное пространство. Динамика погоды — траектория в этом пространстве. И ее оценка составляет задачу прогноза погоды. Реальный компьютер имеет ограниченные память и быстродействие и не может рассчитывать динамику системы с бесконечным числом степеней свободы. Современные дискретные модели прогноза погоды имеют число степеней свободы в диапазоне N = 107 – 108. Вместо расчета «истинной траектории» строят ломаную с шагом в несколько минут. Для модели нужна стартовая точка в этом N-мерном пространстве. Измерение несет информацию об одной из координат траектории в N-мерном пространстве в момент измерения. Если всего за период усвоения единиц информации больше N (а на практике так и происходит), то траектории, в точности соответствующей всем измерениям, не существует. Сама модель приближенная, да и измерения производятся с какими-то погрешностями.
Переформулируем постановку задачи: найдем такую траекторию, что сумма квадратов отклонений траектории от измеренных значений будет минимальна. Самый простой аналог такой задачи (решаемый методом наименьших квадратов) — когда на плоскости имеется m точек и требуется провести прямую так, чтобы сумма квадратов m отклонений точек от прямой была минимальной. Наша задача имеет три отличия: все происходит не на двумерной плоскости, а в N-мерном пространстве; траектории не прямые, а весьма сложные кривые; мы знаем не полностью точки, а лишь некоторые их координаты.
Попробуем географию! Лондон — столица Парижа,
а Париж — столица Рима, а Рим...
Нет, все не так, все неправильно!
Л. Кэрролл. Алиса в Стране Чудес
Информация, полученная в результате измерений, передается в метеорологические центры. При передаче информации на непосредственные ошибки измерений могут накладываться иные ошибки. Поскольку передаваемых телеграмм тысячи, набираются сотни ошибок. Например, порядок, в котором передаются индекс18 (номер) станции и результаты измерений, нестандартен. Человек такую ошибку исправит легко, но если в алгоритме обработки и контроля информации не предусмотреть, как такая ошибка может быть обнаружена, то, очевидно, дальнейшие действия компьютера будут следующие. Программа прогноза будет считать, что в точке с индексом, получившимся из чисел, описывающих температуру, наблюдается температура, получившаяся из чисел, описывающих индекс. Работа программы далее будет напоминать работу системы шестеренок, в которую щедрой рукой высыпали горсть шурупов. Чтобы этого не произошло, метеоинформация, приходящая по каналам связи, проходит первичную обработку и контроль.
В результате этой первичной обработки числа, описывающие координаты станции, срок наблюдения, температуру, ветер и влажность на различных высотах, будут стоять в «макете» строго на своих местах. Место отсутствующей информации (например, если зонд не долетел до положенной высоты) заполняется (кодируется) в макете специальным символом. Программа контроля должна обнаружить19 грубые ошибки и, если возможно, исправить их, а если нет, то отбросить. Для обнаружения, например, полученные данные можно сравнить с их климатическими характеристиками (средними значениями в этой точке за данный месяц). Если зимой из Арктики сообщат о температуре +30°C, то человек, знающий географию, этому не поверит. Нужно, чтобы и компьютер «не поверил». Такой вид контроля называется климатическим. Для его применения необходимо иметь в памяти машины не только поля первого приближения, в данном случае — поля климатических величин (рис.7,а и 8,а), но и поля допустимых (с точки зрения машинного контроля) отклонений метеорологических величин от этих средних. Можно сравнить проверяемое значение метеорологической величины с аналогичными на соседних станциях. Такой вид контроля называется горизонтальным. Можно сравнить значение с аналогичными за предыдущий срок наблюдений — такой контроль называется временным.

Разрабатывая процедуру прогноза, рассчитывают, что полученные результаты будут больше соответствовать действительности, чем климатические поля (иначе, зачем бы огород, т.е. прогноз, городить?). Следовательно, в качестве первого приближения для программ контроля целесообразно использовать не климатические, а прогностические поля. В этом случае можно уменьшить ширину «окна», т.е. значения отклонений, которые считаются максимально допустимыми. Таким образом, при использовании вместо климата хорошего прогноза первое приближение в алгоритме контроля улучшается. При этом уменьшается вероятность возникновения ошибок двух родов: пропуск содержащейся в телеграмме ошибки и браковка верного значения, которое существенно отличается от климатического поля (возможно, конкретные значения существенно отличаются от среднего20).
Существующие алгоритмы контроля постоянно усовершенствуются, хотя и сейчас они неплохо устраняют наиболее распространенные ошибки. Наилучшие результаты дает комплексный контроль, который состоит из нескольких видов контроля, перечисленных выше. При этом ширина различных «окон» должна быть взаимно согласована. Самый сложный блок такого алгоритма — блок принятия решения: при наличии таких-то подозрений окончательно считать число верным или ошибочным. Качество контроля характеризуется двумя числами — ошибками обоих родов. Субъективный анализ результатов работы алгоритма контроля позволяет понять, в каких ситуациях (например, при контроле данных из каких географических районов) алгоритм работает неудовлетворительно (пропускает какие-то ошибки или отбрасывает верные данные) и как можно улучшить сам алгоритм.
Впрочем, ошибки бывают и экзотические. Одна станция, расположенная в Закавказье, постоянно передавала данные, сильно отличающиеся от данных соседних станций. Синоптики к этому привыкли и при анализе поступающей информации данные этой станции не учитывали. Автоматический контроль также часто браковал эту информацию. Однако «расследование» показало, что это ... японская станция. Когда-то при набивке координат на перфокарты в долготе этой станции пропустили единичку, и долгота уменьшилась ровно на 100° , а широта не изменилась. В результате состояние атмосферы над Хоккайдо приписывалось Кавказу.
Другой пример. Норвегия (одна из стран — членов ВМО) в восьмидесятых годах установила в Арктике полсотни буев, автоматически передававших информацию. Четыре буя оказались с дефектом — они передавали очень низкое давление на уровне моря: 950 гПа (среднее значение давления на уровне моря равно 1013 гПа). При сравнении с прогнозом контроль эти данные браковал. Все было в порядке. Но когда в этот район пришел сильный циклон (область низкого давления) и «честный» прогноз дал значение давления 975 гПа, то данные этих буев попали в «окно» допустимых отклонений от прогноза. Кроме того, они оказались идеально согласованными между собой (так как были одинаковыми) и потому прошли горизонтальный и временной контроль. Прежде чем была выявлена причина и установлен специальный алгоритм «защиты от данных» этих буев, было дано несколько прогнозов весьма низкого (особенно для Арктики) качества.
Вдруг серый волк ударился о сырую землю
и стал конем златогривым.
Русская народная сказка «Иван-царевич и серый волк»
Предположим, имеется два набора чисел одинаковой длины {pj}j=1N и {qj}j=1N и мы хотим понять, можно ли по одному ряду предсказать другой.21 Например, по высоте столбика термометра за нашим окном мы предсказываем температуру: а) около термометра; б) в том месте, куда мы планируем отправиться. Понятно, что в случае а) зависимость линейная (для этого-то термометр и совершенствовали несколько веков): qj = αpj + β, где j — номер момента времени, а константы α и β характеризуют данный термометр и температурную шкалу. В случае б) результат зависит от подробностей. Если собираетесь в булочную за углом — ситуация почти такая же, что и в случае а). А если на другой континент — нечего тогда и в окно смотреть.
Важная характеристика числового ряда — его средняя величина
. Но если у нас рядом висят два термометра — один со шкалой Цельсия, а другой со шкалой Реомюра или Фаренгейта, то показания у них разные и среднее значение этих показаний у каждого термометра свое. Как же убедиться, что они показывают одну и ту же температуру?
Прежде всего вычтем средние величины, т. е. перейдем к центрированным числовым рядам:
. У каждого из этих числовых рядов среднее значение нулевое. Предположим, что первый центрированный ряд состоит из чисел 1 и –1 в равных количествах, а второй получается из первого умножением на число 0. Тогда стоит считать, что это один и тот же набор измерений, только описанный в разных шкалах (масштабах). Однако это нужно проверить. Пусть сначала N = 3, т.е. произведено лишь по три измерения. Тогда каждый из двух наборов содержит по 3 числа и каждый набор можно интерпретировать как вектор в трехмерном пространстве
. Теперь надо узнать, являются ли эти векторы пропорциональными, а если нет, то насколько велика мера этой непропорциональности. Такой мерой является угол между векторами, точнее косинус угла. Когда он равен 1, векторы пропорциональны, а когда 0 — ортогональны. Если же косинус равен –1, векторы пропорциональны, но со знаком «минус». Это означает, что когда на одном термометре температура выше средней, на другом она ниже и наоборот. О таких температурных шкалах упоминалось в первой части статьи.
Чтобы вычислить косинус угла между векторами в
, существует замечательный способ — нужно вычислить скалярное произведение векторов и поделить на произведение их норм:

Если векторы
и
пропорциональны и коэффициент пропорциональности положителен, то (проверьте) cos θ = 1, а если коэффициент отрицателен, то cos θ = –1. Эту формулу для косинуса легко обобщить на случай произвольного N — нужно лишь поменять верхний предел у всех сумм. Неравенство Коши—Буняковского для числовых рядов гласит:

Значит, модуль величины, которую мы назвали косинусом, не превосходит 1. По этой величине можно восстановить и угол между двумя векторами — самый обычный угол, хотя векторы и N-мерные.
Число r = cos θ имеет еще одно название: коэффициент корреляции между числовыми рядами {pj}j=1N и {qj}j=1N. Этот термин используют, когда говорят о случайных величинах, вероятностях и т. п. Он характеризует похожесть колебаний этих числовых рядов. Пример случайной величины дает обыкновенный кубик с числами на гранях от единицы до шести. Каждая грань, если кубик не испорчен, выпадает с одинаковой вероятностью, равной 1/6. Если кубик подбросить много раз, то среднее значение случайной величины (выпавшего числа) будет близко к 3,5. Пусть pj — число на грани кубика при j-м подбрасывании, а qj = 3,5 при всех j. У этих величин одинаковые средние, а коэффициент корреляции равен (проверьте) нулю.
Иван Николаевич смутился, но ненадолго, потому что
вдруг сообразил, что профессор непременно должен
оказаться в доме №13 и обязательно в квартире 47.
М. А. Булгаков. Мастер и Маргарита
Будем считать, что в каждой точке поля
отклонение поля
от климата есть случайная величина, принимающая числовые значения. В теории вероятностей среднее всех значений называют математическим ожиданием и обозначают символом
. Если же нужно подчеркнуть, что оценка выполнена по конечному ряду, то используют символ
.
Если ряды {pj}j=1N и {qj}j=1N составлены, скажем, из значений давления и температуры в какой-то точке
в моменты tj, то коэффициент корреляции r характеризует статистическую связь между ними. Например, если бы оказалось, что r > 0, то это означалось бы, что чем выше давление, тем, как правило, выше температура. Чем ближе был бы коэффициент r к 1, тем реже нарушалось бы это статистическое правило. В реальности же коэффициент корреляции между температурой и давлением в одной и той же точке и в один и тот же момент времени близок к нулю. А насколько длинным должен быть ряд, т. е. каким следует выбирать N? Ответ на этот простой вопрос весьма сложен, а неправильный ответ может привести к принципиальным ошибкам.
Допустим, температура и давление измеряются ежесекундно в течение минуты, т. е. N = 60. Вполне возможно, что обе величины растут или одна из них убывает. Поскольку минута — сравнительно небольшой (в метеорологическом смысле) отрезок времени, давление и температура хорошо описываются линейными функциями времени. Тогда коэффициент корреляции этих рядов близок (проверьте) к 1 (или к –1, если одна величина растет, а другая убывает). Если сделать опрометчивый вывод, что такая связь будет продолжаться и далее, на больших временн'ых интервалах, то результат получится совершенно неверный. Известно, например, что днем бывает, как правило, теплее, чем ночью, а зимой — холоднее, чем летом. Но колебаний давления с большой амплитудой, аналогичных колебаниям температуры, ни с суточным, ни с годовым периодом в природе не существует. Нельзя было по ряду на коротком отрезке (1 минута) делать выводы о столь сильной корреляции температуры и давления.
Оставив вопрос о методах определения достаточности длины ряда без ответа, предположим, что наши ряды достаточны и что они хорошо представляют бесконечные последовательности {pj}j=1∞ и {qj}j=1∞. Будем считать, что существуют пределы при N → +∞ сумм

и что суммы S «недалеки» от этих пределов. Две последние суммы (точнее, их пределы при N → +∞) называются дисперсиями величин р и q соответственно. Корни из дисперсий называют среднеквадратичными отклонениями — СКО — и обозначают σp или σq. Они характеризуют вариабельность соответствующих рядов вокруг среднего значения.
Иногда приходится полагаться на случай; ни в чем
нельзя быть вполне уверенным в морском сражении.
Г. Нельсон
Вооруженные понятиями среднего, дисперсии и корреляции, вернемся к земной атмосфере. Полученные в результате измерений большие массивы метеорологической информации (рис. 8) уже позволяют, до определенной степени, оценивать климат планеты. А еще можно оценить, как убывает с расстоянием между двумя точками связь (корреляция) между значениями температуры в этих точках. Эта скорость убывания также характеризует нашу атмосферу.
Кроме того, знание статистических характеристик позволяет подстроить численные алгоритмы, оптимальные для поля именно с такими характеристиками, и минимизировать среднюю ошибку алгоритмов. Объясним эти идеи подробнее.
Рассмотрим поле (функцию пространственных переменных, время зафиксировано) отклонений измеренных значений, например температуры, от средних климатических значений. Если нанести эти отклонения в точках станций на географическую карту, то станет видно, что полученное поле отклонений зависит от горизонтальных координат сравнительно плавно: имеются зоны положительных отклонений и зоны отрицательных отклонений с характерными размерами 103 км. Другими словами, если на окружающих точку станциях отклонения от климатических значений в какой-то момент времени положительные, то с большой вероятностью в этой точке и в этот момент (а также и в близкие моменты времени) отклонение от климатического значения также будет положительным. И величину этого отклонения можно оценить, например вычислив коэффициент корреляции между отклонениями в какой-то паре точек. Если эти две точки близки, то коэффициент корреляции близок к единице, однако по мере удаления точек друг от друга коэффициент будет убывать и даже может стать отрицательным.
Если известны коэффициенты корреляции между отклонениями в двух (или нескольких) точках, то можно оценить отклонение еще в одной точке, после чего можно будет вычислить и само значение температуры в данной точке.
Рассмотрим в качестве случайной величины отклонение в данной точке
метеорологического поля от климата. Ее математическое ожидание будет равно нулю, так как климат это и есть математическое ожидание метеорологического поля. Строго следуя такому определению климата, нужно положить N = ∞, провести измерения метеорологического поля от начала мира до конца света, а затем взять среднее по всему этому ряду. Это, конечно же, нереально. Поэтому приходится использовать ряд наблюдений покороче. Кстати, это может дать более полезный результат. Действительно, для того чтобы оценить вероятность той или иной погоды на завтра или через неделю, хорошо бы иметь информацию, скажем, за последние сто лет — узнать, что за это время бывало часто, а что редко. А если миллион лет назад на месте пустыни было болото или ледник, то вот эти древние факты несущественны. Еще раз подчеркнем: несущественны для задачи прогноза (или для оценок погоды) на день или неделю.
Если же нас интересует, какой была средняя за каждый век температура воздуха по Европе и росла она или убывала, когда века сменяли друг друга, то столетнего архива для этого уже явно недостаточно. Информацию об изменениях такого временного масштаба, по-видимому, будет полезнее искать не в небесах (запуская радиозонды), а под землей (исследуя останки животных и растений, льды, геологические породы и т. п.). Среднее за сто лет зависит от того, когда эти сто лет начинаются. За миллион лет это средне-вековое значение температуры может сильно измениться.
Назовем климатическим полем, или просто климатом22, метеорологическое поле, осредненное на некотором: временн'ом интервале Δt. Климатическое поле
(давление, компоненты ветра и т. п.) есть функция пространственных переменных, зависящая от интервала осреднения Δt. Климатическое поле зависит и от времени начала интервала (климат можно связывать с началом, серединой или концом интервала осреднения). Итак, климат похож на математическое ожидание и может заменять его во многих практических вычислениях, но в строгом смысле им не является.
Помимо средних значений поля полезно статистически оценивать и более сложные его характеристики, например дисперсию (или СКО; см. рис. 8,б)
или корреляционную функцию

которая характеризует синхронность колебаний
в двух заданных точках
. Но ведь в каждой точке не поставить термометр, так что для всех пар точек такую функцию не вычислить. Ограничимся меньшим.

Предположим, что корреляционная функция K шести переменных
(каждый вектор имеет по три координаты) на самом деле зависит только от трех неотрицательных координат: вертикальных координат, точнее давлений, и расстояния между точками по горизонтали:
K = K(p1, p2, r), где
r2 = (x1 – x2)2 + (y1 – y2)2.
На рисунке 9,а приведены изолинии корреляционной функции температуры при p1 = p2, когда K зависит только от одного давления и от расстояния23. На рисунке 9,б изображены изолинии для случая, когда r = 0, а давления различны. В первом случае нет изолинии K = 1, поскольку измерения, которыми мы располагаем, производятся с ошибками. Поэтому функция K = K(p, r) разрывна при r = 0. Глядя на рисунок 9, мы можем сделать вывод, что наименьшие статистические связи (корреляции) наблюдаются в районе тропопаузы (т. е. в диапазоне 300–100 гПа), которая отделяет тропосферу от стратосферы. Но тропопауза не бесконечно тонкая поверхность, а зона. Она меняет свою высоту со временем, и ее положение зависит от горизонтальных координат. Движение — преобразование, которое не меняет расстояний. Движение полупространства это всегда сдвиг этого полупространства по горизонтали и поворот вокруг вертикальной оси. В обоих случаях r в формуле для K не меняется. Если корреляционная функция какого-то случайного поля
инвариантна (т. е. не меняется) при сдвигах, то поле ζ называется однородным, а если она инвариантна при поворотах, то — изотропным.
Реальные метеорологические поля (если рассматривать их как реализации случайных полей) в точности не являются однородными и изотропными по горизонтали, однако такая модель часто оказывается вполне пригодной для практического применения. А вот изменения полей по вертикальной координате в интересных для метеорологии масштабах существенно иные, чем по горизонтали. Отличия от изотропии, если они определены достаточно надежно, могут дать существенную информацию. Рассмотрим, например, кросс-корреляционные функции (рис. 10), полученные по рисунку 6 (см. предыдущий номер журнала) осреднением:

Здесь в качестве функций f0, f1 используются компоненты u или v отклонения скорости ветра на поверхности от среднего потока в два момента времени. Суммирование тут производится по всем точкам сетки (j, k) таким, что и она, и точка (j + х, k + y) лежат в указанном сеточном квадрате. Из рисунка 10 следует, что K(0, 0) ≈ 0,3 для u и K(0, 0) ≈ 0 для v, т. е. ветер слабо коррелирует с тем ветром, который дул всего 3,5 мин назад. Корреляция существенно больше, если учесть основной поток. Действительно,
для обеих компонент.

Как уже неоднократно упоминалось, в нашем распоряжении имеется информация, поступающая из сети метеорологических станций, которые расположены крайне неравномерно. Для дальнейшего использования этой информации в численном прогнозе нужно переинтерполировать ее в регулярную сетку так называемых узлов. Здесь неважно, что эта сетка станет регулярной, важно то, что это уже будут совсем другие точки.
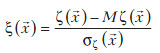
Будем интерполировать не само метеорологическое поле, а его отклонение от вычисленного заранее детерминированного климатического (или прогностического) поля. Статистическая гипотеза, которой мы будем пользоваться, состоит в том, что это нормированное отклонение (т. е. деленное на корень из дисперсии)

есть центрированное, однородное и изотропное случайное поле. Следовательно, нам нужно заранее знать поля
и
, а также корреляционную функцию для нормированного случайного поля ξ .
В этом безумии есть своя система.
У. Шекспир. Гамлет, принц датский
Важный блок алгоритма прогноза погоды составляет формирование начальных полей на регулярной (часто широтно-долготной) сетке. Но измерения имеются в других точках — там, где расположены станции, или над которыми пролетел спутник. Если нас интересуют не климатические задачи, а прогностические, то имеет смысл рассматривать отклонение не от среднего, климатического, поля, а от поля прогноза, который был сделан, скажем, сутки назад:

где знаменатель — это СКО прогноза от фактических наблюдений. Для современных прогностических моделей дисперсия этого отклонения в несколько раз меньше, чем дисперсия отклонений от климата.
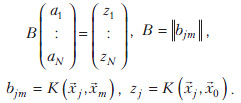
Будем считать, что корреляционные функции уже известны. Пусть
— точка, в которой нужно определить отклонение ξ0 нормированного метеорологического поля от климата, a
— множество точек, окружающее точку
, в которых это отклонение
уже известно, поскольку в этих точках расположены метеорологические станции. Величину ξ0 будем оценивать по формуле
, подбирая коэффициенты aj оптимальным образом: чтобы средний квадрат ошибки
был минимальным.
Используя определение корреляционной функции и дифференцируя по всем aj, получим систему линейных алгебраических уравнений

Можно доказать, что симметричная матрица B неотрицательно определена. С помощью некоторых ухищрений (см. [1], [5], [6]; изолинии такой «подправленной» корреляционной функции K на рисунке 9 изображены пунктиром) можно обеспечить и положительную определенность, т. е. ее собственные числа вещественны и неотрицательны. Для решения таких систем существуют очень эффективные компьютерные алгоритмы.

Если предположить, что случайное поле
однородно и изотропно, то измерений для оценки функции одной переменной
понадобится во много раз меньше, чем для определения функции K, зависящей от двух векторных аргументов. Изотропность можно предполагать только по горизонтальным переменным. Простая статистическая гипотеза об однородности и изотропности по горизонтали использовалась в метеорологии около полувека. Однако накопление архивов метеоизмерений, рост вычислительных возможностей и разработка новых вычислительных алгоритмов привели к ее пересмотру. Оказалось, что и по горизонтальным переменным анизотропия, например температур, существенно проявляется в тропической зоне (рис. 11). Алгоритм статистической интерполяции, учитывающий анизотропию интерполируемого поля, несколько сложнее изотропной версии.
Пошли хлеб свой по водам, ибо спустя много
дней ты найдешь его.
Экклезиаст
Большие объемы метеорологической информации требуют адекватных вычислительных алгоритмов усвоения. Качество продукции определяется качеством собственно алгоритмов и точностью, ассортиментом и объемом измерений, а также мощностью компьютеров. В результате улучшается и численный прогноз погоды, и наше представление о климате планеты. В свою очередь, знание полей средних и корреляционных функций метеорологических полей позволяет отлаживать численные климатические модели, довольно популярные в последние десятилетия. Пока корреляционные функции, генерируемые этими моделями, не окажутся близки к истинным корреляционным функциям, оцененным по архивам наблюдений, верить таким моделям не стоит.
В этой статье не было возможности объяснить, как именно используются данные ежедневных наблюдений24 для прогноза погоды: какие эволюционные дифференциальные уравнения гидродинамического типа решаются, какие физические процессы они описывают, какие вычислительные алгоритмы используются. Для этого нужна отдельная книга и хорошая математическая подготовка читателя.
Первый численный прогноз погоды произвел шотландец Л. Ричардсон около века назад. Штат вычислителей был вооружен логарифмическими линейками. Вычислительная работа по прогнозу погоды на 6 часов для Европы продолжалась несколько лет и привела к чудовищно ошибочному прогнозу. Еще четверть века потребовала «работа над ошибками Ричардсона», в которой принимали участие и математики (Р. Курант, К. Фридрихс, Г. Леви), и «математики с метеорологическим уклоном» (Г. Россби, И. А. Кибель). Когда в Лос-Аламосе после изготовления атомной бомбы появилось немного свободного времени у ученых (и у их компьютеров), они занялись задачей прогноза погоды. Последние шестьдесят лет качество прогнозов неуклонно росло. Человечество начало пользоваться плодами своих многовековых вложений в метеорологию.
Но это уже другая история...
Литература
1. О. А. Алдухов, В. А. Гордин. Трехмерные корреляционные функции основных аэрологических величин. — «Известия РАН», серия «Физика атмосферы и океана», 2001, 37(1).
2. О. А. Алдухов, В. А. Гордин. Оценки анизотропии корреляционной структуры полем метеорологических величин по наблюдениям глобальной аэрологической сети. — «Известия РАН», серия «Физика атмосферы и океана», 2005, 41(3).
3. А. И. Бедрицкий, Е. П. Борисенков, А. С. Коровченко, В. М. Пасецкий. Очерки по истории Гидрометеорологической службы в России, т.1. — С-П.: Гидрометеоиздат, 1997.
4. В. А. Гордин. «Кулоновский» алгоритм выбора влияющих станций. — «Метеорология и гидрология», 2003, №12.
5. В. А. Гордин. Как это посчитать? Обработка метеорологической информации на компьютере. — М.: МЦНМО, 2005.
6. В. А. Гордин. Математика, компьютер, прогноз погоды и другие сценарии математической физики. — М.: Физматлит, 2010.
7. А. Х. Хргиан. Очерки развития метеорологии. — Л.: Гидрометеоиздат, 1959.
1 Воду отводили в пруд и определяли уровень стоячей воды по высеченной на камне шкале в локтях и пальцах. Важнейшим был водомер на острове Рауда. Каждый день его смотритель докладывал правительству. Если подъем Нила был выше 12 локтей, глашатай возвещал об этом по всему Каиру.
2 Это изобретение немедленно получило медицинское применение: венецианский врач Санторио в 1612 году опубликовал работу о повышении температуры тела при лихорадке.
3 Вот почему лед плавает на поверхности воды, а не тонет. Галилей в 1611 году на торжественном обеде (в честь кардиналов Барберини и Гонзаго) у великого герцога Тосканского Козимо II экспериментально опроверг мнение коллег по Пизанскому университету, утверждавших, что это следствие формы льда, а не его относительной (к воде) легкости. Следствия этого диспута: трактат «Рассуждение о телах, пребывающих на поверхности воды в покое и тех, которые в ней движутся» и враги Галилея среди профессоров Пизы.
4 Неожиданное для Европы ограничение ртути обнаружилось во время Великой северной экспедиции. Казак П. Саломатов писал из Томска студенту С. Крашенинникову: «В данных мне инструментах барометров да термометров от тех великих мразов ртуть смерзается кусками, а в термометрах входит вся вниз из принадлежащих частей в яблоко. Однакож не в большие мразы опять попрежнему становится». Замерзание ртути снова было открыто Брауном и Ломоносовым в 1759 году, а затем Фризом зимой 1786–1787 годов в Великом Устюге.
5 Сам Ломоносов и приборы метеорологические изготовлял, и регулярные измерения проводил. Без длительной подготовительной работы по совершенствованию приборов и техники измерений, по развитию физики, химии, различных технологий, математических методов и вычислительных алгоритмов современный прогресс в прогнозе погоды был бы невозможен. Но цари не желают ждать века — деньги хочется на войны и наряды потратить немедля.
6 Мысль о влиянии на погодные процессы и вообще на окружающую среду посещает начальственные головы регулярно — со времен строительства Вавилонской башни. Пока дело ограничивается загрязнением этой среды и воздействием на облака — с целью предотвращения градобития виноградников и улучшения погоды в отдельных мегаполисах. Впрочем, Ибн Хаукал сообщает со слов некого путешественника о событиях в тогдашней столице Афганистана Зарандже. В 970 году там, вследствие ветра неслыханной силы и постоянства, была полностью занесена песком главная мечеть. Но некий человек за 20 тысяч дирхемов изменил направление ветра.
7 Большой вклад в развитие метеорологических и магнитных измерений в Российской империи и в международное сотрудничество внес А. Я. Купфер, имевший разнообразные научные интересы, пользовавшийся большим авторитетом и у зарубежных коллег, и у российского начальства. В 1849 году была учреждена Главная физическая обсерватория (ГФО). Была развита наблюдательная метеорологическая сеть, составлены наставления по производству наблюдений, поверялись все измерительные приборы, производились инспекции сети. На основе собранных наблюдений издавались метеорологические сборники. Их посылали и наблюдателям, и зарубежным коллегам. Поэтому, когда вопрос о международном телеграфном обмене метеоданными стал реальным, было понятно, с кем именно нужно договариваться о таком обмене. Личные связи ученых играли заметную роль. Смерть Купфера в 1865 году заметно (на несколько лет) затормозила развитие системы. Мешали и войны: Крымская, австро-прусская, австро-итальянская, франко-прусская, русско-турецкая, Гражданская война в США. Приглашенный из Швейцарии для руководства ГФО Г. И. Вильд сделал ее центром российской метеорологии и важным компонентом мирового метеорологического сообщества.
8 Следовательно, при расчете переноса ветром различных примесей (например, выхлопных газов, результатов техногенных катастроф или пепла, выброшенного при извержении вулкана) необходимо знать, как распределится эта примесь по вертикали, на какой высоте она «склонна» пребывать.
9 В России такие запуски регулярно проводились под Москвой в Кучино (поместье Д. А. Рябушинского), где под руководством Н. Е. Жуковского был организован аэродинамический институт, а при нем аэрологическая обсерватория. Владелец поместья в работе принимал участие, и не только финансовое. Современный рекорд подъема змея составляет 9740 м.
10 Организатор и первый руководитель Единой гидрометеорологической службы СССР А. Ф. Вангенгейм в 1934 году был сослан в Соловки, а в 1937 году расстрелян (реабилитирован в 1956 г.). Вообще, повышенный интерес российских правоохранительный органов к метеорологии имеет давнюю традицию. Первые метеонаблюдения стали записывать по указу Алексея Михайловича в 1650 году. Поручено это было Приказу тайных дел.
11 Автоматические метеостанции используются в малонаселенный районах, где трудно найти наблюдателей. Их применение ограничено досадной склонностью некоторых людей ломать найденную аппаратуру. При производстве таких станций нужно обеспечивать их максимальную маскировку.
12 В переводе с греческого ΣΥΝΟΠΤΙΚΟΣ означает «способный видеть все», однако радиозонды, радары и спутники много добавляют к этому «все». Времена меняются, и технологии меняются вместе с ними.
13Здесь речь идет о буях, которые плавают на поверхности океана и передают информацию с границы двух сред: воздуха и воды. В последние несколько лет появилась сеть глубоководных буев (так называемая система ARGO) — настоящее чудо современной техники. Такой буй дрейфует на заданной ему глубине под водой. Раз в 10 суток включается программа, согласно которой он меняет свою общую плотность и начинает двигаться по вертикали, проходя глубины1 от 2 км до поверхности и измеряя температуру и соленость воды с частотой в несколько метров. Оказавшись на поверхности, буй передает накопленную информацию на спутник, причем передает несколько раз, чтобы избежать случайной потери информации. Через несколько часов он погружается на свою штатную глубину. Таких буев сейчас более 3 тысяч, и они довольно равномерно покрывают Мировой океан за исключением полярных морей. Обычно на температуру воздуха непосредственно влияет только температура поверхности воды, но в сильный шторм происходит перемешивание приповерхностных слоев воды, которые включаются в теплообмен.
14 Вот почему во многих странах запуск начинают за 30 минут до синоптического срока — чтобы в соответствующий стандартный момент времени зонд был поближе к середине траектории.
15 Иными словами, проекции вектора скорости ветра в данной точке на меридиан, проходящий через эту точку в экваториальной зоне: полушария как бы разделены марлевой занавеской, которую из-за недостаточной мощности компьютера и ограниченности исходной информации вынужденно представляли каменной стеной.
16 Увеличивается количество частот, на которых спутник измеряет уходящее в космос излучение атмосферы, улучшаются вычислительные алгоритмы решения так называемой обратной задачи: определения профиля температуры T(z) по измеренному распределению излучаемой энергии по частотам.
17 Фактически прогноз начинается через несколько часов после t0: данные измерений в закодированном (для прохождения по каналам) виде поступают в компьютер, где раскодируются по специальной программе. Так что сначала прогноз, вычисленный компьютером, догоняет реальное время, а потом обгоняет.
18 Координаты станции определяются уже в метеорологическом центре по ее индексу. Иногда приборы переносят на новое место, а в справочник координат и высот забывают внести исправление. С помощью уравнения гидростатики нетрудно оценить, к какой систематической ошибке в давлении приведет подъем синоптической станции, скажем, на 20 м.
19 В таком случае хорошо бы из метеоцентра, где производится контроль, «переспросить» отправителя, т. е. автоматически попросить его уточнить подозрительное число. Пока такой системы обратной связи нет.
20 Важный вопрос: как количественно описать вариабельность (отличие от среднего значения) того или иного метеоэлемента в какой-то области в какой-то месяц? Мы обсудим его.
21 Здесь буква р не имеет отношения к давлению, это просто обозначение некоторого числа.
22 Слово «климат» произошло от греческого «наклон». Понятие введено Гиппархом из Никеи (190–120 до н.э.). Земля была им разделена условно на пять широтных зон, на которые солнечные лучи падают под разным наклоном. Там, где наклон силен, солнце слабо нагревает воздух. Греция и Малая Азия лежат во втором (т. е. умеренном) северном климате, каковой наиболее благоприятен для жизни человека. На самом деле основной нагрев воздуха производит свет, не идущий непосредственно от Солнца, а сначала поглощенный и затем излученный поверхностью планеты (в современных прогнозах учитывают альбедо поверхности, определяющее, какая часть светового потока будет поглощена поверхностью суши или воды, а какая будет отражена сразу в атмосферу). В XIX веке А. Гумбольдт (1769–1859) предложил при анализе причин различия климата в разных частях планеты кроме широты местности учитывать также близость океанов и т. п. географические факторы, влияющие на климат в современном его понимании.
23 Поскольку на расстояниях порядка радиуса Земли корреляция близка к нулю, кривизна Земли в данной статистической модели несущественна — Землю можно считать плоской!
24 Нужны не только собственно метеорологические наблюдения, но также наблюдения за альбедо поверхности, за океаном и реками, за свойствами листьев и корней растений, которые, как и почва, испаряют и поглощают влагу. Иначе не получится более точных прогнозов. «Чем дальше в лес, тем больше дров...»