Семен Соломонович Герштейн,
академик, Институт физики высоких энергий (Протвино)
«Природа» №1, 2008
Один из крупнейших физиков прошедшего XX в. Лев Давидович Ландау был в то же время величайшим универсалом, внесшим фундаментальный вклад в самые различные области: квантовую механику, физику твердого тела, теорию магнетизма, теорию фазовых переходов, ядерную физику и физику элементарных частиц, квантовую электродинамику, физику низких температур, гидродинамику, теорию атомных столкновений, теорию химических реакций и ряд других дисциплин.

Способность охватить все разделы физики и глубоко проникнуть в них является характерной чертой его гениальности. Она ярко проявилась в созданном Л. Д. Ландау в сотрудничестве с Е. М. Лифшицем уникальном курсе теоретической физики, последние тома которого были завершены по плану Ландау его учениками Е. М. Лифшицем, Л. П. Питаевским и В.Б. Берестецким. Ничего подобного не существует во всей мировой литературе. Полнота изложения в сочетании с четкостью и оригинальностью, единый подход к проблемам и органическая связь различных томов сделали этот курс настольной книгой для многих поколений физиков различных стран, от студентов до профессоров. Будучи переведен на многие языки, курс оказал огромное влияние на уровень теоретической физики во всем мире. Несомненно, он сохранит свое значение и для ученых будущего. Небольшие дополнения, связанные с новейшими данными, могут вноситься, как это уже делалось, при последующих изданиях.
В короткой статье невозможно упомянуть все результаты, полученные Ландау. Остановлюсь лишь на некоторых из них1.
Еще обучаясь в Ленинградском университете, Ландау и его близкие тогда друзья Георгий Гамов, Дмитрий Иваненко и Матвей Бронштейн с восторгом встретили появление статей В. Гейзенберга и Э. Шрёдингера, в которых содержались основы квантовой механики. И почти сразу же 18-летний Ландау вносит фундаментальный вклад в квантовую теорию — вводит понятие матрицы плотности в качестве метода для полного квантово-механического описания систем, являющихся частью более крупной системы. Это понятие стало основным в квантовой статистике.
Вопросами применения квантовой механики к реальным физическим процессам Ландау занимался в течение всей своей жизни. Так, в 1932 г. он указал, что вероятность переходов при атомных столкновениях определяется пересечением молекулярных термов, и вывел соответствующие выражения для вероятности переходов и предиссоциации молекул (правило Ландау—Зинера—Штюкельберга). В 1944 г. он (совместно с Я. А. Смородинским) разработал теорию «эффективного радиуса», позволяющую описать рассеяние медленных частиц короткодействующими ядерными силами безотносительно конкретной модели последних.
Фундаментальный вклад внесли работы Ландау в физику магнитных явлений. В 1930 г. он установил, что в магнитном поле свободные электроны в металлах имеют, согласно квантовой механике, квазидискретный спектр энергий, и благодаря этому возникает диамагнитная (связанная с орбитальным движением) восприимчивость электронов в металлах2. В малых магнитных полях она составляет одну треть их парамагнитной восприимчивости, определяемой собственным магнитным моментом электрона (связанным со спином). Одновременно он указал, что в реальной кристаллической решетке это соотношение может измениться в пользу диамагнетизма электронов, а в сильных полях при низких температурах должен наблюдаться необычный эффект: осцилляция магнитной восприимчивости. Этот эффект через несколько лет был обнаружен экспериментально; он известен под именем эффекта де Гааза — ван Альфена. Уровни энергии электронов в магнитном поле получили название уровней Ландау.
Определение их при разных ориентациях магнитного поля позволяет найти поверхность Ферми (изоэнергетическую поверхность в пространстве квазимпульсов, отвечающую энергии Ферми) для электронов в металлах и полупроводниках. Общая теория для этих целей была разработана учеником Ландау И. М. Лифшицем и его школой. Таким образом, работа Ландау по электронному диамагнетизму заложила основы для всей современной деятельности по установлению электронных энергетических спектров металлов и полупроводников. Отметим также, что наличие уровней Ландау оказалось решающим для интерпретации квантового эффекта Холла (за открытие и объяснение которого в 1985 и 1998 гг. были присуждены Нобелевские премии).
В 1933 г. Ландау ввел понятие об антиферромагнетизме как особой фазе вещества. Незадолго до него французский физик Л. Неель предположил, что могут существовать вещества, которые при низких температурах состоят из двух спонтанно намагниченных в противоположных направлениях кристаллических подрешеток. Ландау указал, что переход в это состояние при понижении температуры должен происходить не постепенно, а при вполне конкретной температуре как особый фазовый переход, при котором меняется не плотность вещества, а симметрия. Эти идеи были блестяще использованы учеником Ландау И. Е. Дзялошинским для предсказания существования новых типов магнитных структур — слабых ферромагнетиков и пьезомагнетиков — и указания симметрии кристаллов, в которых они должны наблюдаться. Совместно с Е. М. Лифшицем в 1935 г. Ландау развил теорию доменной структуры ферромагнетиков, впервые определил их форму и размеры, описал поведение восприимчивости в переменном магнитном поле и, в частности, явление ферромагнитного резонанса.
Важнейшее значение для теории различных физических явлений в веществах имеет общая теория фазовых переходов II рода, построенная Ландау в 1937 г. Ландау обобщил подход, использованный для антиферромагнетиков: любые фазовые превращения связаны с изменением симметрии вещества и поэтому фазовый переход должен происходить не постепенно, а в определенной точке, где скачком меняется симметрия вещества. Если при этом не меняется плотность и удельная энтропия вещества, фазовый переход не сопровождается выделением скрытой теплоты. В то же время скачком меняется теплоемкость и сжимаемость вещества. Такие переходы и получили название переходов II рода. К ним относятся переходы в ферромагнитную и антиферромагнитную фазу, переходы в сегнетоэлектрик, структурные переходы в кристаллах и переход металла в сверхпроводящее состояние в отсутствие магнитного поля. Ландау показал, что все эти переходы можно описать с помощью некоторого структурного параметра, отличного от нуля в упорядоченной фазе ниже точки перехода и равного нулю выше нее.
В работе В. Л. Гинзбурга и Л. Д. Ландау «К теории сверхпроводимости», выполненной в 1950 г., в качестве такого параметра, характеризующего сверхпроводник, была выбрана функция Ψ, играющая роль некоторой «эффективной» волновой функции сверхпроводящих электронов. Построенная полуфеноменологическая теория позволила вычислить поверхностную энергию на границе нормальной и сверхпроводящей фазы и хорошо согласовалась с экспериментом. Исходя из этой теории, А. А. Абрикосов ввел понятие двух типов сверхпроводников: I рода — с положительной поверхностной энергией — и II рода — с отрицательной. Большинство сплавов оказалось сверхпроводниками II рода. Абрикосов показал, что магнитное поле проникает в сверхпроводники II рода постепенно путем особых квантовых вихрей и поэтому переход в нормальную фазу затягивается до весьма высоких значений напряженности магнитного поля. Именно такие сверхпроводники с критическими параметрами получили широкое применение в науке и технике. После создания макроскопической теории сверхпроводимости Л. П. Горьков показал, что уравнения Гинзбурга–Ландау следуют из микроскопической теории, и выяснил физический смысл использованных в них феноменологических параметров. Общая теория описания сверхпроводимости вошла в мировую науку под аббревиатурой GLAG — Гинзбург–Ландау–Абрикосов–Горьков. В 2004 г. Гинзбургу и Абрикосову была присуждена за нее Нобелевская премия.

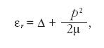
Одной из самых замечательных работ Ландау стала созданная им теория сверхтекучести, объяснившая открытое П. Л. Капицей явление сверхтекучести жидкого гелия-4. По мысли Ландау, атомы жидкого гелия, тесно связанные между собой, образуют при низкой температуре особую квантовую жидкость. Возбуждения этой жидкости представляют собой звуковые волны, которым соответствуют квазичастицы — фононы. Энергия фононов ε представляет энергию всей жидкости, а не отдельных атомов, и должна быть пропорциональна их импульсу р: ε(р) = ср (где с — скорость звука). При температурах вблизи абсолютного нуля эти возбуждения не могут возникнуть, если жидкость течет со скоростью, меньшей скорости звука, и, таким образом, она не будет обладать вязкостью. Вместе с тем, как считал Ландау в 1941 г., наряду с потенциальным течением жидкого гелия возможно вихревое. Спектр вихревых возбуждений должен был быть отделен от нуля некоторой «щелью» Δ и иметь вид

где μ — эффективная масса квазичастицы, соответствующей возбуждению. По предложению И. Е. Тамма Лев Давидович назвал эту частицу ротоном. Используя спектр квазичастиц, он нашел температурную зависимость теплоемкости жидкого гелия и получил уравнения гидродинамики для него. Он показал, что в ряде задач движение гелия эквивалентно движению двух жидкостей: нормальной (вязкой) и сверхтекучей (идеальной). При этом плотность последней обращается в ноль выше точки перехода в сверхтекучее состояние и может служить параметром фазового перехода II рода. Замечательным следствием этой теории было предсказание Ландау существования особых колебаний в жидком гелии, когда нормальная и сверхтекучая жидкости колеблются в противофазе.
Он назвал это вторым звуком и предсказал его скорость. Открытие второго звука в превосходных экспериментах В. П. Пешкова было блестящим подтверждением теории. Однако Ландау насторожило небольшое различие между наблюдаемой и предсказанной им скоростью второго звука. Проведя анализ, он в 1947 г. заключил, что вместо двух ветвей спектра возбуждений — фононной и ротонной — должна существовать единая зависимость энергии возбуждения от импульса квазичастицы, которая при малых импульсах возрастает линейно с импульсом (фононы), а при некотором значении импульса (р0) имеет минимум и может быть представлена вблизи него в виде

При этом, как подчеркнул Лев Давидович, сохраняются все заключения относительно сверхтекучести и макроскопической гидродинамики гелия-2. В последующей работе (1948) Ландау в качестве дополнительного аргумента сослался на то, что Н. Н. Боголюбову в 1947 г. удалось с помощью остроумного приема получить спектр возбуждений слабовзаимодействующего бозе-газа, изображаемый одной кривой с линейной зависимостью при малых импульсах. (Возможно, именно эта работа Боголюбова вместе с данными Пешкова натолкнула Ландау на мысль о единой кривой возбуждений.) Теория сверхтекучести Ландау была блестяще подтверждена в замечательных опытах В. П. Пешкова, Э. Л. Андроникашвили и др. и получила дальнейшее развитие в совместных работах Ландау с И. М. Халатниковым. Спектр возбуждений Ландау был непосредственно подтвержден путем экспериментов по рассеянию рентгеновских лучей и нейтронов (на такую возможность указал Р. Фейнман).
В 1956–1957 гг. Ландау развил теорию ферми-жидкости (квантовой жидкости, в которой элементарные возбуждения обладают полуцелым спином и, соответственно, подчиняются статистике Ферми—Дирака), применимую к широкому кругу объектов (к электронам в металлах, жидкому гелию-3, нуклонам в ядрах). С точки зрения развитого подхода наиболее естественно строится микроскопическая теория сверхпроводимости, предсказывающая новые явления в этой области. Открылись перспективы использования для вычислений в области теории конденсированного состояния методов квантовой теории поля. Дальнейшее развитие теории ферми-жидкости Л. П. Питаевским позволило ему предсказать, что при достаточно низкой температуре гелий-3 станет сверхтекучим. Исключительно красивое нетривиальное явление — отражение электронов на границе сверхпроводника с нормальным металлом — было предсказано А. Ф. Андреевым, последним студентом, которого Ландау принял в свою группу. Это явление получило в мировой литературе название «андреевского отражения» и начинает находить все более широкое применение.
С самого начала деятельности Льва Давидовича интересовали проблемы квантовой теории поля и релятивистской квантовой механики. Вывод формул для рассеяния релятивистских электронов кулоновским полем атомных ядер с учетом запаздывания взаимодействия (так называемого меллеровского рассеяния), как отмечал сам Меллер, был подсказан ему Ландау. В работе с Е. М. Лившицем (1934) Лев Давидович рассмотрел рождение электронов и позитронов при столкновении заряженных частиц. Обобщение полученных в этой работе результатов привело после создания электрон-позитронных коллайдеров к важному направлению экспериментальных исследований — двухфотонной физике. В работе с В. Б. Берестецким (1949) Лев Давидович Ландау обратил внимание на важность так называемого обменного взаимодействия в системе из частиц и античастиц. Важную роль в физике элементарных частиц играет теорема Ландау (установленная также независимо Т. Ли и Ч. Янгом) о невозможности распада частицы со спином 1 на два свободных фотона (справедливая и для распада на два глюона). Эта теорема широко используется в физике элементарных частиц. Она, в сущности, позволила объяснить малую ширину частицы ?/Ψ, вызывавшую вначале недоумение.
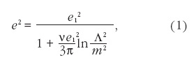
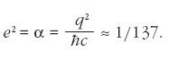
Принципиально важные для физики частиц результаты были получены Львом Давидовичем вместе с его учениками А. А. Абрикосовым, И. М. Халатниковым, И. Я. Померанчуком и др. Основной трудностью квантовой электродинамики (точно так же как квантовой теории других полей) было обращение при теоретических расчетах некоторых физических величин (например, массы) в бесконечность. Новейшее развитие квантовой электродинамики дало рецепт устранения бесконечных выражений. Но это не устраивало Ландау. Он поставил задачу развить теорию, в которой на каждом этапе фигурировали бы конечные величины. Для этого надо было рассмотреть локальное взаимодействие частиц как предел «размазанного» взаимодействия, имеющего конечный, сколь угодно уменьшающийся радиус действия а. Этому значению радиуса отвечала величина «обрезания» бесконечных интегралов в пространстве импульсов: Λ ≈ 1/а и «затравочный» заряд

где ν — число фермионов, которые, помимо электронов, вносят вклад в поляризацию вакуума, т — масса электрона, а заряды е и е1 — безразмерные величины, выраженные в единицах скорости света (с) и постоянной Планка ћ:

Выражение же «затравочного» заряда, согласно (1), имело вид

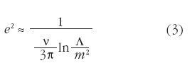
Интересно, что еще до проведения расчетов Ландау полагал, что «затравочный» заряд e1(a) будет уменьшаться и стремиться к нулю с уменьшением радиуса а, и, таким образом, получится самосогласованная теория (поскольку расчеты делались в предположении e12 < 1). Он даже развил общую философию, отвечающую современному принципу «асимптотической свободы» в квантовой хромодинамике. Предварительные расчеты, казалось, подтверждали эту точку зрения. Но в этих расчетах была допущена досадная ошибка в знаке в формулах (1) и соответственно (2). (При неправильном знаке в (2) действительно e1 → 0 при Λ → ∞.) Когда ошибка была замечена, Лев Давидович успел забрать статью из редакции и исправить ее. Вместе с этим из статьи исчезла философия «асимптотической свободы». А жаль. Зная ее, новосибирский теоретик из Института ядерной физики СО РАН Ю. Б. Хриплович, обнаружив в частном примере, что цветовой заряд в квантовой хромодинамике уменьшается с уменьшением расстояния, возможно, мог бы построить общую теорию (за которую американцы Д. Гросс, Д. Политцер и Ф. Вильчек уже в XXI в. получили Нобелевскую премию). Однако в квантовой электродинамике эффективный электрический заряд растет с уменьшением расстояния. Опыты на коллайдерах показали, что эффективный заряд на расстояниях ~2•10-16 см вырос до величины ~1/128 (по сравнению с 1/137 на больших расстояниях). Рост эффективного заряда e1(a) привел Ландау и Померанчука к заключению фундаментальной важности: если второй член в знаменателе формулы (1) становится существенно больше единицы, то заряд е независимо от e1 равен

и обращается в нуль при Λ → ∞ или а ~ 1/Λ → 0. Хотя строгого доказательства такого заключения нет (теория была построена для e1 < 1), Померанчук нашел веские аргументы в пользу того, что выражение (3) сохранится и для значения e1 ≥ 1. Этот вывод (если он правилен) означает, что существующая теория внутренне противоречива, так как она приводит к нулевому значению наблюдаемого заряда электрона. Однако есть и другое решение проблемы «нуль-заряда», заключающееся в том, что величина а (или размеры заряда) имеют не нулевое, а конечное значение. Как заметил Ландау, «кризис» теории наступает как раз при тех значениях Λ, при которых становится сильным гравитационное взаимодействие, т. е. на расстояниях порядка 10-33 см (или энергиях порядка 1019 ГэВ). Другими словами, надежда остается на объединенную теорию, включающую гравитацию и приводящую к элементарной длине порядка 10-33 см. Эта гипотеза предвосхитила широко распространенную в настоящее время точку зрения.
Важнейшее значение для современной физики имеет понятие комбинированной СР-четности, введенной Львом Давидовичем в 1956 г. Когда в 1956 г. в связи с так называемой проблемой Θ—τ возникли идеи о возможном несохранении пространственной четности и, следовательно, нарушении зеркальной симметрии в процессах слабого взаимодействия, Ландау отнесся к ним вначале весьма критически. «Я не могу понять, каким образом при изотропии пространства правое и левое могут различаться», — говорил он. В силу того, что в локальной теории должна соблюдаться симметрия относительно одновременного проведения трех преобразований: пространственного отражения (Р), обращения времени (Т) и зарядового сопряжения (перехода от частиц к античастицам (С)) — так называемая СРТ-теорема, нарушение пространственной симметрии (Р) неизбежно должно было приводить к нарушению каких-либо других симметрии. Сотрудники Померанчука Б. Л. Иоффе и А. П. Рудик полагали вначале, что нарушенной должна была быть Т-симметрия, поскольку сохранение С-симметрии, согласно идее М. Гелл-Манна и А. Пайса, объясняло наличие долгоживущего и коротко-живущего нейтральных каонов. Однако Л. Б. Окунь заметил, что последнее можно объяснить и сохранением Т-симметрии относительно обращения времени. В результате дискуссий, которые Ландау вел с учениками Померанчука, он пришел к выводу, что при полной изотропии пространства нарушение зеркальной симметрии в процессах с какими-либо частицами должно быть связано с различием взаимодействия частиц и античастиц: процессы с античастицами должны выглядеть как зеркальное изображение аналогичных процессов с частицами. Он сравнивал эту ситуацию с тем, что при полной изотропии пространства могут существовать асимметричные «правые» и «левые» модификации кристаллов, являющиеся зеркальными изображениями друг друга. Он ввел на основании этого понятие комбинированной СР-симметрии и сохраняющейся СР-четности. Последующие эксперименты, казалось, блестяще подтверждали сохранение СР-четности до тех пор, пока в 1964 г. не было открыто «миллислабое» нарушение СР-четности (на уровне 10-3 от слабого взаимодействия) в распадах долгоживущих нейтральных каонов. Изучение нарушения СР-четности стало предметом многих теоретических и экспериментальных исследований. В настоящее время нарушение СР-четности хорошо описывается на кварковом уровне и обнаружено также в процессах с b-кварками. По гипотезе А. Д. Сахарова, нарушения СР-симметрии и закона сохранения барионного числа могут привести при эволюции ранней Вселенной к ее барионной асимметрии (т. е. наблюдаемого отсутствия в ней антивещества).

Одновременно с концепцией СР-четности Ландау выдвинул гипотезу о спиральном (двухкомпонентном) нейтрино, у которого спин направлен по (или против) импульса. (Независимо это было сделано в работах А. Салама, Т. Ли и Ч. Янга.) Такое нейтрино отвечало максимально возможному нарушению пространственной и зарядовой четности по отдельности и сохранению СР-четности. Левому нейтрино соответствовало правое антинейтрино, а левого антинейтрино вообще не должно быть. Исходя из этой гипотезы, Лев Давидович предсказал, что электроны в процессе β-распада должны быть практически полностью поляризованы против своего импульса (в случае если нейтрино левое), а две нейтральные легкие частицы, испускаемые в процессе μ-распада (μ- → е- + νν'), должны быть разными нейтрино. (Сейчас мы знаем, что одно из них — мюонное нейтрино, ν = νμ, а второе — электронное антинейтрино, ν' = ν̃e.) Концепция спирального нейтрино казалась Ландау привлекательной еще и потому, что спиральное нейтрино должно было быть безмассовым. Это вроде бы согласовывалось с тем, что эксперименты по мере увеличения точности давали все более низкий верхний предел на массу нейтрино. Идея спирального нейтрино подсказала Фейнману и Гелл-Манну гипотезу о том, что, быть может, и все другие частицы (с ненулевой массой) участвуют в слабом взаимодействии, как и нейтрино, своими левыми спиральными компонентами. (К тому времени было уже установлено, что нейтрино обладают левой спиральностью.) Эта гипотеза привела Фейнмана и Гелл-Манна, а также Р. Маршака и Е. С. Г. Сударшана к открытию фундаментального (V—A) закона слабого взаимодействия, указавшего на аналогию слабых и электромагнитных взаимодействий и стимулировавшего открытие единой природы слабых и электромагнитных взаимодействий.
Ландау всегда быстро реагировал на обнаружение новых неизвестных явлений и их теоретическую интерпретацию. Еще в 1937 г. он совместно с Ю. Б. Румером, отправляясь от физической идеи о каскадном происхождении электромагнитных ливней, наблюдаемых в космических лучах, которую высказали Х. Баба с В. Гайтлером и Дж. Карлсон с Р. Оппенгеймером, создал изящную теорию этого сложного явления. Используя известные из квантовой электродинамики эффективные сечения тормозного излучения жестких гамма-квантов электронами и позитронами и эффективное сечение рождения электрон-позитронных пар гамма-квантами, Ландау и Румер получили уравнения, определяющие развитие ливней. Решая эти уравнения, они нашли число частиц в ливне и их распределение по энергии в зависимости от глубины проникновения ливня в атмосферу. В последующих работах (1940–1941) Лев Давидович определил ширину ливня и угловое распределение частиц в ливне. Он также указал, что ливни, наблюдаемые под землей, могут вызываться более тяжелыми проникающими частицами («жесткой» компонентой космических лучей, которую, как стало известно, составляют мюоны). Методы и результаты этих работ заложили базу всех последующих экспериментальных и теоретических исследований. В настоящее время они имеют важное значение для исследований по физике высоких энергий в двух направлениях. С одной стороны, теория электромагнитных ливней очень важна для определения энергии и типа первичной частицы в космических лучах, особенно при предельных энергиях порядка 1019–1020 эВ. С другой стороны, на этой теории базируется работа электромагнитных калориметров, ставших одним из основных устройств на современных ускорителях-коллайдерах высокой энергии. Для современных экспериментальных исследований при высоких энергиях весьма существенны определение Ландау числа заряженных частиц в максимуме ливня, а также замечательная по изяществу его работа о флуктуации ионизационных потерь быстрыми частицами (1944). К электронно-ливневым процессам Лев Давидович вернулся в 1953 г. в совместных работах с Померанчуком. В этих работах было указано, что длина формирования тормозного излучения γ-квантов быстрым электроном растет пропорционально квадрату энергии электрона: l ~ λγ2 (где λ — длина волны испускаемого γ-кванта, а γ = Е/тс2 — лоренц-фактор быстрого электрона). Поэтому в веществе она может стать больше эффективной длины многократного рассеяния электрона, а это приведет к уменьшению вероятности испускания длинноволнового излучения (эффект Ландау—Померанчука).
Ряд работ Льва Давидовича был посвящен астрофизике. В 1932 г. он независимо от С. Чандрасекара установил верхний предел на массу белых карликов — звезд, состоящих из вырожденного релятивистского ферми-газа электронов. Он заметил, что при массах, больших этого предела (~1,5
) должно было бы происходить катастрофическое сжатие звезды (явление, которое впоследствии послужило основой для идеи существования черных дыр). Для того чтобы избежать таких «абсурдных» (по его словам) тенденций, он даже готов был допустить, что в релятивистской области нарушаются законы квантовой механики. В 1937 г. Ландау указал, что при большом сжатии звезды в ходе ее эволюции становится энергетически выгодным процесс захвата электронов протонами и образование нейтронной звезды. Он даже полагал, что этот процесс может быть источником звездной энергии. Эта работа получила широкую известность как предсказание неизбежности образования нейтронных звезд при эволюции звезд достаточно большой массы (идея о возможности существования которых была высказана астрофизиками В. Бааде и Ф. Цвики почти сразу же после открытия нейтрона).
Важный раздел в творчестве Ландау составляют его работы по гидродинамике и физической кинетике. К последней, помимо работ, связанных с процессами в жидком гелии, относятся работы по кинетическим уравнениям для частиц с кулоновским взаимодействием (1936) и широко известная классическая работа по колебаниям электронной плазмы (1946). В этой работе Лев Давидович, используя уравнение, выведенное А. А. Власовым, показал, что свободные колебания в плазме затухают даже в случае, когда можно пренебречь столкновениями частиц. (Сам Власов изучал другую задачу — стационарные колебания плазмы.) Ландау установил декремент затухания плазмы в зависимости от волнового вектора, а также изучил вопрос о проникновении в плазму внешнего периодического поля. Термин «затухание Ландау» прочно вошел в мировую литературу.
В классической гидродинамике Лев Давидович нашел редко встречающийся случай точного решения уравнений Навье—Стокса, а именно задачу о затопленной струе. Рассматривая процесс возникновения турбулентности, Ландау предложил новый подход к этой проблеме. Целый цикл его работ был посвящен исследованиям ударных волн. В частности, он обнаружил, что при сверхзвуковом движении на большом расстоянии от источника в среде возникают две ударные волны. Ряд задач об ударных волнах, которые Лев Давидович решил в рамках атомного проекта (в том числе с С. Дьяковым), по-видимому, до сих пор остаются не рассекреченными.
В работах с К. П. Станюковичем (1945) Ландау изучил вопрос о детонации конденсированных взрывчатых веществ и вычислил скорость истечения их продуктов. Особую важность этот вопрос приобрел в 1949 г. в связи с готовящимися испытаниями первой советской атомной бомбы. Скорость продуктов детонации обычных взрывчатых веществ имела решающее значение для того, чтобы обжатие ими плутониевого заряда привело к превышению его критической массы. Как стало известно сейчас, измерение скорости продуктов детонации проводилось в начале 1949 г. в Арзамасе-16 двумя разными лабораториями. При этом в одной из лабораторий из-за методической ошибки была получена скорость, существенно меньшая, чем требовалось для обжатия плутониевого заряда. Можно представить, какую тревогу это вызвало у участников атомного проекта. Однако после того как в ошибке разобрались, оказалось, что измеренная скорость продуктов детонации достаточна и очень близка к предсказанной Ландау и Станюковичем.
Зная Льва Давидовича как крупнейшего теоретика-универсала, одинаково хорошо владеющего ядерной физикой, газодинамикой, физической кинетикой, И. В. Курчатов настоял на том, чтобы он с самого начала был привлечен к атомному проекту. О значении работ Ландау в этом проекте можно отчасти судить хотя бы по словам одного из выдающихся его участников академика Л. П. Феоктистова: «...первые формулы для мощности взрыва были выведены в группе Ландау. Они так и назывались — формулы Ландау — и были совсем неплохо сделаны, особенно по тому времени. Используя их, мы предсказывали все результаты. На первых порах ошибки составляли не более двадцати процентов. Никаких счетных машин: это потом девочки приехали, на «мерседесах»3 считали, а мы — на логарифмических линейках. Никакой электроники, никаких уравнений в частных производных. Формула выводилась из общих ядерно-гидродинамических соображений, включала в себя некие параметры, которые надо было подгонять. Так что помощь группы Ландау была очень ощутимой» [1]. Надо сказать, что «ядерное горение в условиях быстро меняющейся геометрии» — так, по словам участника проекта академика В. Н. Михайлова, назывался отчет группы Ландау — представляло исключительно сложную задачу, поскольку при этом, помимо ядерной реакции, требовался учет очень многих факторов: перенос вещества, нейтронов, радиации и пр. Я думаю, что решение таких задач и получение «рабочих» формул было под силу только Ландау и было вместе с тем интересно ему.
Другое дело, когда в начале 50-х годов ему пришлось работать в целях самосохранения по чужим заданиям, связанным с конкретными конструкциями. Но и в этом случае, испытывая по разным причинам отвращение к этой работе, он выполнял ее на свойственном ему высоком уровне, развив эффективные методы численных расчетов.
В короткой заметке трудно остановиться на многих других важных работах Льва Давидовича: по кристаллографии, горению, физической химии, статистической теории ядра, множественному рождению частиц при высоких энергиях и пр. Однако уже изложенного достаточно, чтобы понять, что в лице Ландау мы имеем гениального физика, одного из величайших в истории науки универсалов.
Ландау никогда не был членом партии. «Пламенным коммунистом» назвал его отец американской водородной бомбы Э. Теллер, познакомившийся со Львом Давидовичем во время их совместного пребывания в Копенгагене у Нильса Бора. Объясняя свое намерение работать над водородной бомбой, Теллер в качестве одной из причин сослался на «психологический шок, когда Сталин посадил в тюрьму моего хорошего друга, выдающегося физика Льва Ландау. Он был пламенным коммунистом, и я его знал по Лейпцигу и Копенгагену. Я пришел к заключению, что сталинский коммунизм был ничем не лучше нацистской диктатуры Гитлера» [2. Т.1.С.547].
Теллер имел все основания считать Ландау «пламенным коммунистом». В частных разговорах, выступлении в студенческом обществе, газетных интервью он с восхищением говорил о революционных преобразованиях в Советской России. Он рассказывал о том, что в Советской России средства производства принадлежат государству и самим рабочим и поэтому в СССР нет эксплуатации большинства меньшинством, а каждый человек работает во имя благосостояния всей страны: о том, что огромное внимание уделяется науке и образованию: расширяется система университетов и научных институтов, значительные суммы выделяются на стипендии студентам (см. статьи X. Казимира и Дж. Р. Пеллама [3]). Он искренне верил, что революция уничтожит все буржуазные предрассудки, к которым он относился с большим презрением, а также незаслуженные привилегии. Он наивно считал, что перед людьми открыто светлое будущее и поэтому каждый человек просто обязан организовать свою жизнь так, чтобы быть счастливым. А счастье, утверждал он, заключается в творческой работе и свободной любви, когда оба партнера равноправны и живут без всяких буржуазных пережитков, мещанства, ревности и расстаются, если любовь прошла. Семью, правда, как он считал, нужно сохранять для воспитания детей. Подобные взгляды в 20-е годы активно распространялись некоторыми революционерами-интеллигентами типа известной А. Коллонтай.

Энтузиазм строителя нового общества сохранился у Ландау и после возвращения на Родину, хотя окружающая действительность могла вызывать сомнения. Ведь он переехал в Харьков в 1932 г. и жил там во время страшного голода на Украине. Но именно в это время он поставил задачу сделать советскую теоретическую физику лучшей в мире. Именно для этой цели он задумал и начал писать свой замечательный «Курс», собирать талантливую молодежь и создавать свою знаменитую школу. Тогда же он хотел написать учебник физики для школьников. Это неосуществленное желание он сохранял до конца своей жизни.
Репрессии 37-го он связывал исключительно с диктатурой Сталина и его клики. «Великое дело Октябрьской революции подло предано. Страна затоплена потоками крови и грязи», — так начинается листовка, составленная, как говорится в следственном деле Ландау, при его участии [4]. И далее: «Сталин сравнился с Гитлером и Муссолини. Разрушая ради сохранения своей власти страну, Сталин превращает ее в легкую добычу озверелого немецкого фашизма». Последние слова звучат пророчески. За истребление сталинской системой высших командных кадров Красной Армии, руководителей промышленности и талантливых конструкторов страна заплатила трагедией начального периода Великой Отечественной войны и миллионами человеческих жизней. Листовка призывала рабочий класс и всех трудящихся к решительной борьбе за социализм против сталинского и гитлеровского фашизма.

Листовка, безусловно, отражает убеждения Ландау. Однако некоторые люди, знавшие его, сомневаются в том, что он действительно участвовал в ее составлении. Их аргументы сводятся к тому, что Лев Давидович, достигший больших успехов в науке и считая ее своим призванием, не мог не сознавать смертельной опасности участия в борьбе против сталинского режима. На мой взгляд, это неверно.
Я думаю, что следственное дело в основном правильно отражает историю появления листовки. К Ландау пришел его давний товарищ и бывший ассистент М. А. Корец с текстом, который Ландау поправил, но отказался иметь дело с его дальнейшей судьбой. Хотя текст листовки, предъявленной Ландау на допросе, написан рукой Кореца, но четкость и краткость формулировок в нем свойственна стилю Льва Давидовича и убедительно свидетельствует в пользу его соавторства. Другое дело, имел ли Корец моральное право втягивать Ландау в эту бесперспективную и смертельно опасную авантюру. Сознавал ли он, что ставит под угрозу жизнь гения? Не было ли все это провокацией, в которую попал сам Корец? (Арест Ландау и Кореца произошел через пять дней после написания листовки.)
Пребывание в тюрьме, длившееся ровно год, заставило Льва Давидовича стать более осторожным, но ни в коей мере не изменило его социалистических взглядов и преданности стране. Он активно участвовал в военных разработках во время Великой Отечественной войны (за что получил в 1943 г. свой первый орден). С первой половины 1943 г. (т. е. практически с самого начала атомного проекта) он стал выполнять отдельные работы, связанные с этим проектом [2. T.I. C.31], а в 1944 г. И. В. Курчатов в письме к Л. П. Берии указывает на необходимость полного привлечения Ландау к проекту [2. Т.1. С.44]. В докладной записке А. П. Александрова указывается, что Ландау в марте 1947-го закончил теорию «котлов» и совместно с Лабораторией-2 и Институтом химической физики ведет работу по развитию реакций в критической массе. Отмечено также, что он руководит теоретическим семинаром в Лаборатории-2 [2. Т.2. С.90]. Некоторые историки науки постперестроечного времени полагают, что Ландау вынужден был участвовать в атомном проекте исключительно в целях самосохранения. Это, возможно, справедливо для последних лет перед смертью Сталина, когда нагнеталась напряженность внутри и вне страны, а Лев Давидович должен был работать по чужим заданиям. Но это неверно для первых послевоенных лет. Об этом свидетельствуют выступления самого Ландау, которого никакими силами нельзя было заставить говорить не то, что он думает. В выступлении, подготовленном для центрального радиовещания в июне 1946 г., Лев Давидович, не склонный обычно к риторике, пишет: «Русские ученые внесли свой вклад в решение проблемы атома. Роль советской науки в этих исследованиях непрерывно возрастает. В плане новой пятилетки и восстановления и развития хозяйства намечены экспериментальные и теоретические работы, которые должны привести к практическому использованию атомной энергии на благо нашей Родины и в интересах всего человечества» [5].
После смерти Сталина Ландау надеялся, что в стране будут восстановлены социалистические принципы, в которые он верил. «Мы еще увидим небо в алмазах», — цитировал он Чехова. «Дау, где алмазы?» — поддразнивала его спустя несколько лет сестра Софья Давидовна, прекрасная, умнейшая женщина, истинно ленинградская интеллигентка, окончившая Технологический институт и внесшая свой вклад в производство титана в нашей стране. Ландау поддерживал хрущевскую критику Сталина. Он говорил: «Не надо ругать Хрущева за то, что он не сделал этого раньше, при жизни Сталина, надо хвалить его за то, что он решился сделать это сейчас». На одном из приемов в Кремле А. П. Александров подвел Льва Давидовича к Хрущеву, и они, как рассказывал Дау, наговорили друг другу комплиментов.
Один известный физик, близкий к кругу Ландау, несколько лет назад сказал, что Ландау был «трусоват». Я не мог поверить газетному интервью, посчитав это высказывание за ошибку журналиста. Однако вскоре я услышал ту же оценку, высказанную тем же человеком в телевизионной передаче. Это буквально привело меня в шок. Действительно, Ландау с горечью называл себя трусом. Но знавшие его понимали, какую высокую планку он при этом имеет в виду.
Разве в харьковский период Дау не вступился за осужденного Кореца (и добился его освобождения)? Разве не осмелился прогнать от себя человека, выступившего в суде над Корецом с заявлением о том, что Ландау и Л. В. Шубников составляют в Харьковском физико-техническом институте контрреволюционную группу [6]? (Это заявление в дальнейшем привело к аресту Л. В. Шубникова и Л. В. Розенкевича, а по показаниям, выбитым из них, и к аресту самого Ландау [4].) Много ли найдется примеров просто безрассудной смелости, чтобы участвовать в написании антисталинской листовки в годы массового террора? Конечно, выйдя на свободу, Ландау стал осторожнее. Помимо всего, он знал, что вышел по поручительству П.Л. Капицы и не должен был его подвести.
Тем не менее Лев Давидович делал то, чего старались избегать его более осмотрительные коллеги. Он сам ходил на почту и отправлял деньги ссыльному Румеру, проявлял заботу о вдове Шубникова О. Н. Трапезниковой, регулярно ездил на дачу к опальному Капице. В самый разгар разного рода идеологических кампаний он подписал письма против невежественной критики теории относительности и в защиту коллеги, обвиненного в космополитизме (того самого, который потом назвал его трусоватым). Были и другие поступки, о которых Дау не рассказывал.
«В характере Дау наряду с определенными элементами физической боязливости (он, как, впрочем, и я, боялся собак) была редкая моральная твердость, — вспоминает давний друг Ландау и его сестры академик М. А. Стырикович. — И раньше, и особенно позднее (в трудные времена), если он считал себя правым, его невозможно было убедить идти на компромисс, даже если это было необходимо, чтобы избежать серьезной реальной опасности» [3].
Это качество Дау проявилось и во время его пребывания в тюрьме. Согласно записке следователя, подготовленной, судя по всему, для высокого начальства [7], Ландау на допросах 7 часов стоял, 6 дней сидел в кабинете без разговоров (и, по-видимому, без сна. — СТ.), следователь Литкенс «убеждал» его по 12 часов, следователи «замахивались, но не били», угрожали переводом в Лефортово (где, как знали в камере, пытают), показывали признательные показания его расстрелянных к тому времени харьковских друзей. А он объявлял голодовку и, вопреки утверждению следователя, что «назвал Капицу и Семенова как участников организации, руководивших моей а/с работой», не подписал протокола допроса, прежде чем не внес «уточнения», согласно которым он «лишь рассчитывал на Капицу и Семенова как на антисоветский актив, но не решался на полную откровенность, не будучи с ними достаточно близок, а кроме того, отношения зависимости моей от Капицы не позволяли рисковать». При первой же возможности, на допросе, проводившемся заместителем Берии Кобуловым, «от всех своих показаний как от вымышленных отказался, заявив, однако, что во время следствия мер физического воздействия к нему не применяли» [4]. Невольно вспоминаются слова любимого Львом Давидовичем поэта Гумилева из поэмы «Гондла»: «Да, к его костяному составу подмешала природа и сталь», относящиеся к физически слабому, но сильному духом человеку.
В философских дискуссиях Ландау старался не участвовать и никогда не доходил до обвинений творцов квантовой механики в том, например, что они признают «свободу воли электрона» [8].
Осенью 1953 г., когда еще были живы сталинские порядки, Ландау сильно напугал некоторых близких к нему коллег. После успешного испытания водородной бомбы его представили к званию Героя Социалистического Труда, и по решению правительства ему была назначена охрана. Против этого Дау взбунтовался. Он рассказывал, что написал письмо в правительство, где говорилось: «Моя работа нервная и не выносит постороннего присутствия. В противном случае будут охранять труп, в научном отношении». Окружающие испугались кары, которая могла последовать из-за отказа от охраны. Е. М. Лифшиц даже специально ездил в Ленинград и уговаривал сестру Ландау повлиять на Дау, чтобы он смирился. Но та решительно отказалась. В связи с письмом Льва Давидовича его принял министр среднего машиностроения и заместитель председателя Совмина В. А. Малышев. В узком кругу Дау рассказывал, как проходил разговор. Малышев сказал, что иметь охрану почетно, члены ЦК ее имеют. «Ну, это их личное дело», — ответил Дау. «Но в стране сейчас вспышка бандитизма, вы представляете большую ценность, вас надо охранять». «Предпочитаю, чтобы меня зарезали в темном переулке», — сказал Дау. «Но, может быть, вы опасаетесь, что охрана помешает вам ухаживать за женщинами? Не бойтесь, наоборот...». «Ну, это уже моя личная жизнь, и вас она не должна касаться», — ответил Дау. Слушая этот рассказ, молодой математик из Теплотехнической лаборатории (ТТЛ, ныне ИТЭФ) А. Кронрод воскликнул: «Ну за этот разговор, Дау, вам следовало бы дать не Героя Соцтруда, а Героя Советского Союза».
Протестовал Ландау и против того, что его не выпускали на международные научные конференции. По этому поводу он также писал куда-то «наверх». Его принял Н. А. Мухитдинов (был тогда такой секретарь ЦК КПСС) и обещал уладить вопрос. По-видимому, с этим и был связан запрос отдела науки ЦК в КГБ и получение ныне известной справки [9]. Из показаний агентов — секретных сотрудников в окружении Ландау — и данных прослушки, приведенных в справке КГБ, видно, что, сохраняя некоторые иллюзии, он в конце концов приходит к такому заключению: «Я отвергаю, что наша система является социалистической, потому что средства производства принадлежат никак не народу, а бюрократам».
Он предсказывает неизбежность краха советской системы. И обсуждает пути, какими это может произойти: «Если наша система мирным способом не может рухнуть, то третья мировая война неизбежна... Так что вопрос о мирной ликвидации нашей системы есть вопрос судьбы человечества, по существу». Такие предсказания давал «пламенный коммунист» в 1957 г., за тридцать с лишним лет до того, как рухнул Советский Союз.
Во время моей учебы в МГУ академическая наука была изгнана с физического факультета. Моим дипломным руководителем был профессор Анатолий Александрович Власов — блестящий лектор и замечательный физик с трагической (по моему мнению) научной судьбой. Власов и познакомил меня с Ландау. Это было в 1951 г. на выпускном вечере нашего курса. Я по некоторой причине демонстративно не пошел на торжественное вручение дипломов, которое происходило в так называемой Большой коммунистической аудитории старого здания МГУ на Моховой. Прогуливаясь по балюстраде около этой аудитории, я встретил Власова, который также не пошел на торжественный акт. Мы стояли с ним и моим однокурсником Колей Четвериковым, когда Власов воскликнул: «Вот по лестнице поднимается сам Лев Давидович! Пойдемте, я вас представлю». Оказалось, что группа студентов, выполнявшая дипломные работы в Институте физпроблем, пригласила Ландау на наш выпускной вечер, и он пришел. Власов подвел нас с Колей к нему и представил: «Наши теоретики».
По распределению меня направляли преподавателем гидролизного техникума в г. Канск, Красноярского края. Но там от меня отказались. Власов предпринял много попыток устроить меня куда-нибудь на научную работу, но все было безрезультатно из-за моей анкеты (5-й пункт плюс репрессированные родители). В конце концов я получил направление в сельскую школу Калужской области, в 105 км от Москвы. Близость к Москве оставляла мне надежду на продолжение научной работы с Власовым. Но он решительно заявил: «Я считаю, что вам лучше попытаться начать работу с Ландау». Впоследствии я был очень благодарен Власову за этот совет, который, как я сейчас понимаю, был дан им из-за хорошего отношения ко мне.
Осенью 1951 г., когда я начал работать в сельской школе, меня навестил мой близкий друг по университету Сергей Репин. Он был женихом Натальи Тальниковой, жившей в соседней с Ландау квартире. «Тебе стоит сдать экзамены Ландау, — сказал он, — вот номер его телефона. Позвони ему». С большой нерешительностью, подготовившись к первому экзамену (который, как я думал, будет «Механика»), я позвонил Ландау, представился и сказал, что хотел бы сдавать ему теорминимум. Он согласился и назначил время, спросив, подходит ли оно мне.
В назначенный час, отпросившись в школе, я позвонил в дверь Ландау. Мне открыла очень красивая женщина, как я понял, жена Ландау. Она приветливо встретила меня, сказав, что Лев Давидович скоро придет, и проводила на 2-й этаж в небольшую комнату, которую я навсегда запомнил. Прождав минут пятнадцать, я, к своему ужасу, заметил, что на блестящий паркетный пол натекла лужица от моих ботинок. В то время, когда я пытался ее вытереть своими бумажками, раздались голоса внизу. «Дауленька, что же ты опаздываешь? Мальчик тебя уже давно ждет», — услышал я женский голос и какие-то объяснения, которые давал мужской голос. Поднявшись наверх, Лев Давидович извинился за опоздание и сказал, что первым экзаменом должна быть математика. К ней я специально не готовился, но так как на физфаке она была (в отличие от физики) поставлена очень хорошо, я сказал, что могу сдавать сразу математику.
В какой-то степени было даже хорошо, что я не готовился к математике, так как предложенный Ландау интеграл я взял легко, не используя подстановок Эйлера (за использование их в простых примерах, как я узнал, Лев Давидович прогонял с экзамена). После того, как я решил все задачи, он сказал: «Хорошо, готовьте теперь механику». «А я как раз и приехал ее сдавать», — сказал я. Ландау стал предлагать мне задачи по механике. Надо сказать, что сдавать экзамены Ландау было легко. Ободряло его приветливое отношение и, я сказал бы, сочувствие к экзаменующемуся. Дав очередную задачу, он обычно уходил из комнаты и, изредка заходя и заглядывая в исписанные экзаменующимся листки, говорил: «Так, так, вы все верно делаете. Кончайте скорее». Или: «Вы что-то не то делаете, надо делать все по науке». Я был последним, у кого он принимал все девять экзаменов. У сдававшего после меня теорминимум Л. П. Питаевского — только два: первый — по математике, и второй — по квантовой механике. Остальные Питаевский сдавал Е. М. Лифшицу. Лев Петрович говорил, что Лифшиц интересовался обычно только окончательным ответом, проверяя его правильность.
Сдав успешно «механику», я сказал Льву Давидовичу (не без робости), что заметил довольно много опечаток в его книге. Он нисколько не обиделся, наоборот, поблагодарил меня и отметил в своей тетрадке те из найденных мной опечаток, которые не были замечены ранее. Только после всего этого он стал спрашивать меня, у кого я до этого учился в МГУ. Я ждал этого вопроса и был готов защищать Власова в случае, если Ландау о нем плохо отзовется. К моему удивлению и радости он сказал: «Ну что же, Власов, пожалуй, единственный на физфаке, с кем можно иметь дело. Правда, — добавил он, — последняя идея Власова о кристалле из одной частицы имеет, по-моему, чисто клинический интерес». На это было трудно возразить. В начале 1953 г. я сдал все экзамены теорминимума, и Лев Давидович рекомендовал меня Якову Борисовичу Зельдовичу, сказав мне тогда фразу, которую потом многие приводили: «Я не знаю никого, кроме Зельдовича, у кого было бы так много новых идей, разве что у Ферми».
В августе 1954 г. я, наконец, отработав положенный срок, смог уйти из школы и приехал в Москву, чтобы устраиваться в какое-нибудь научное учреждение или вуз. Но сталинские порядки во многом еще сохранялись. Меня нигде не брали, несмотря на блестящую характеристику, подписанную Ландау и Зельдовичем. Проходив несколько месяцев без работы, я начал впадать в отчаяние. Спасла от этого меня забота со стороны Льва Давидовича и Якова Борисовича и поддержка друзей-однокурсников: семьи В. В. Судакова и семьи А. А. Логунова.
Я стал уже подумывать об отъезде из Москвы. Но в начале 1955 г. Ландау сказал мне: «Потерпите еще. Идут разговоры о возвращении П. Л. Капицы. Я смогу взять тогда вас в аспирантуру». Действительно, весной 1955 г. Петр Леонидович вновь стал директором Института физпроблем, и я после показательного экзамена, устроенного мне Капицей, был принят в аспирантуру. Моим руководителем Ландау назначил А. А. Абрикосова, с которым мы подружились. Меня, правда, не очень привлекала предложенная задача: определение формы и размеров сверхпроводящих областей в промежуточном состоянии в проводнике с током. Меня привлекала физика частиц. Открытие несохранения четности и мюонного катализа дало мне возможность обратиться к этим проблемам. Поскольку сам Ландау занялся проблемами слабого взаимодействия, он стал моим непосредственным руководителем и поручал мне выяснять определенные вопросы. Он, например, сразу же попросил проверить, какова будет степень поляризации электронов в β-распаде.

Тогда считалось, что β-взаимодействие представляет собой симметричную относительно перестановки частиц комбинацию скалярного, псевдоскалярного и тензорного вариантов, а спиральность нейтрино была неизвестна. Для определенности Ландау считал ее правой. Я получил подтверждение тому, что электроны в β-распаде будут поляризованы по направлению своего импульса (в случае правого нейтрино) с величиной +ν/c (отношение скорости электрона к скорости света). Интригующим обстоятельством для меня показалось то, что электрон и протон участвовали в β-взаимодействии только своими левыми компонентами, а нейтрино и нейтрон — правыми. Ландау это тоже показалось любопытным. Но дальше мы не пошли. Лев Давидович поручил мне консультировать по теории экспериментаторов из теперешнего Курчатовского центра, готовившихся измерить поляризацию электронов, и я имел удовольствие обсуждать вопросы с одним из лучших наших экспериментаторов — П. Е. Спиваком.
Мне запомнился следующий эпизод из того времени. Выдвинув гипотезу продольного нейтрино, Ландау сразу же хотел указать ее следствия. Он спросил меня, считал ли я когда-нибудь распад мюона. «Как вы интегрировали по фазовому пространству? В эллиптических координатах?». «Да, в эллиптических», — ответил я. Лев Давидович ничего не сказал. Он, по-видимому, не знал об инвариантной технике расчета, но чувствовал, что старая техника громоздка и не очень красива. Поэтому в своей статье он привел только результат, не приводя самих расчетов. Мне кажется, что и во многих других случаях общий подход к решению различных задач, которым так славился Ландау, возникал у него в результате длительного и кропотливого труда, о чем он умалчивал.
О семинарах Ландау говорится во многих воспоминаниях. Я расскажу только о двух запомнившихся мне. Мой друг математик как-то упомянул, что И. М. Гельфанд решил заняться квантовой теорией поля, поскольку, на его взгляд, все трудности в ней возникают из-за того, что физики плохо знают математику. Через некоторое время мой друг сказал: «Гельфанд все сделал». «Что он сделал?», — спросил я. «Все», — ответил математик. Этот слух широко распространился, и Израиль Моисеевич был приглашен сделать доклад на семинаре Ландау.
Гельфанд допустил невиданную выходку — опоздал на 20 минут. У доски уже выступал другой докладчик. Но Лев Давидович попросил его уступить место Гельфанду. Вопреки обычаям, Ландау не разрешил Абрикосову и Халатникову выступать с возражениями по ходу доклада, а устроил буквально разгром после его окончания. Рассказывали, будто после семинара Израиль Моисеевич сказал, что физики-теоретики далеко не так просты, как он думал, и что теорфизика очень близка к математике, поэтому он займется чем-то другим, скажем, биологией.
Впоследствии, когда Лев Давидович лежал после аварии в Институте нейрохирургии, выяснилось, что там работает Гельфанд. «Чем он тут занимается?» — спросил кто-то из физиков главного врача Егорова. «Вы лучше сами у него спросите», — ответил тот.
Другим, поистине историческим, был семинар, на котором Н. Н. Боголюбов рассказывал о своем объяснении сверхпроводимости. Первый час прошел довольно напряженно. Ландау никак не мог понять физический смысл математических преобразований, которые сделал Николай Николаевич. Однако в перерыве, когда Боголюбов и Ландау, прогуливаясь по коридору, продолжили разговор, Николай Николаевич рассказал Льву Давидовичу об эффекте Купера (спаривания двух электронов вблизи поверхности Ферми), и Ландау сразу все понял. Второй час семинара прошел, как говорится, на ура. Ландау рассыпался в совершенно необычных для него похвалах сделанной работе. В свою очередь, Николай Николаевич похвалил соотношение, которое Лев Давидович написал на доске, и советовал его обязательно опубликовать. Договорились о совместном семинаре.
Я был рад возникшему сотрудничеству, так как не понимал (и до сих пор не понимаю), почему Ландау настороженно относился к Боголюбову. Возможно, это было связано с тем, что Николай Николаевич поддерживал отношения с людьми, которых Лев Давидович не уважал и не любил: «Зачем он оставил на своей кафедре Д. Д. Иваненко и А. А. Соколова?». Но, может быть, это было связано с тем, что Отдел науки ЦК покровительствовал школе Боголюбова, а Ландау и его школу обвинял во многих грехах. Напряженность в отношениях вносили и некоторые участники обеих школ, старавшиеся быть большими роялистами, чем сам король. Поскольку среди учеников Боголюбова были мои друзья, рассказывавшие о нем, я пытался убедить Дау, что Боголюбов по своей природе не может в принципе замышлять ничего плохого ни против него лично, ни против кого-либо другого. Но появилась большая статья академика И. М. Виноградова в «Правде». В ней говорилось, что математик Н. Н. Боголюбов решил проблемы, которые не могли решить физики-теоретики, объясняя сверхтекучесть и сверхпроводимость (причем имя Ландау в связи со сверхтекучестью даже не упоминалось). Совместная работа двух школ не сложилась.
Работа семинара после того, как никто из учеников Ландау не обратил внимания на статью Л. Купера, была перестроена. «Я признаю, что я паразит, что не читаю, а только слушаю, что вы мне рассказываете. Но я вижу, что паразитировал на истощенных организмах. Вы сами ничего не читаете», — говорил Лев Давидович. Теперь каждому участнику отводилась своя специальность, по которой он и должен был рассказывать. Это было значительно легче, чем обозревать два выпуска Phys. Rev., который тогда содержал все разделы физики. Более того, Ландау решил сам внимательно подходить к работам, которые раньше отвергал. Был всплеск интереса к нелинейной теории Гейзенберга. У Ландау была по этому поводу даже переписка с В. Паули и В. Гейзенбергом. (А. Б. Мигдал воспользовался этим для своего очередного розыгрыша. Он сочинил письмо к Ландау от Паули, содержание которого никак не могли понять на семинаре.) Однако, разобравшись, Лев Давидович увидел бесперспективность этой теории Гейзенберга.

У Ландау было совершенно бескомпромиссное отношение к работам и суждениям, которые казались ему неправильными. И он открыто и довольно резко высказывал его, невзирая на лица. Так, нобелевский лауреат В. Раман был взбешен замечаниями Ландау, которые тот делал на его докладе, происходившем на семинаре Капицы, и буквально вытолкал Ландау с семинара.
Я знал только один случай, когда Лев Давидович устранился от критики неправильной работы. Это случилось, когда на семинаре Капицы должен был выступить Н. А. Козырев со своей дикой гипотезой об энергии и времени. Ландау знал, что Козырев, начинавший свою деятельность как талантливый астрофизик, просидел затем много лет в лагере, и жалел его, но слышать чушь он не мог. Поэтому, вопреки своему обычаю, он просто не пошел на семинар. Я слышал, что он в свое время не пошел на доклад своего близкого друга Ю. Б. Румера, устроенный физиками для того, чтобы ходатайствовать о разрешении на его проживание и работу в Москве. Румер был лишен этого права после многолетнего тюремного заключения, проведенного в «шарашке» вместе с А. Н. Туполевым и С. П. Королевым, а затем в ссылке. Поддержка Ландау могла быть существенной. Но Ландау не верил в идею, развиваемую Румером, а говорить неправду он органически не мог.
Были у Льва Давидовича и ошибочные оценки. Он раскритиковал на докладе Боголюбова его работу о слабонеидеальном бозе-газе, т. е. работу, которую впоследствии считал выдающимся достижением. На моей памяти он раскритиковал доклад замечательного физика Ф. Л. Шапиро (дополнившего, исходя из своих опытных данных, теорию эффективного радиуса), но затем, убедившись в правильности результата, извинился перед ним и вставил этот результат в свой курс «Квантовая механика».
Критичный склад ума мешал иногда Ландау воспринять новые идеи до тех пор, пока он полностью не поймет их физическую основу. Так было, например, с ядерными оболочками и новейшим развитием квантовой электродинамики. Помню такой эпизод. Летом 1961 г. я пришел к Якову Борисовичу Зельдовичу, чтобы обсудить проблему второго (мюонного) нейтрино. В пользу этой гипотезы накапливались новые данные. «Давайте пойдем к Дау», — сказал Зельдович после нашего обсуждения. Мы застали его в саду Физпроблем. Он сказал, что наслаждается теплым днем. Беседовать по науке ему, по-видимому, в тот момент не очень хотелось. «Сосчитать аккуратно процессы, которые говорят в пользу двух разных нейтрино, нельзя. Да и зачем умножать число элементарных частиц, их и так предостаточно», — сказал Дау, отметая все наши возражения. «Жаль, что вы не высказывали эти соображения в 1947 г. Это сильно помогло бы братьям Алихановым», — пошутил Яков Борисович. (Братья Алихановы «открыли», благодаря ошибкам в методике эксперимента, большое число нестабильных частиц — «варитронов», за что получили в 1947 г. Сталинскую премию.) Дау ничего не ответил на эту шутку. «А почему Дау поверил Алихановым?» — спросил я у Якова Борисовича, когда мы остались одни. «Дау недоверчиво относился к мезонной теории ядерных сил, — объяснил он, — почти ничего в ней аккуратно сосчитать нельзя, а тут еще Иваненко ее всячески рекламирует. А раз оказалось, что существует много мезонов — варитронов, то, значит, — решил Дау, — они не имеют отношения к ядерным силам».
Из всех современных великих физиков Лев Давидович больше всего напоминал мне Ричарда Фейнмана. Впоследствии я смог в этом убедиться. В 1972 г. на проходившей в Венгрии конференции по слабым взаимодействиям В. Телегди познакомил меня с Фейнманом, который выступил там со знаменитым докладом «Кварки в качестве партонов». После одного из докладов, на котором я сделал замечание о возможности существования третьего лептона (помимо электрона и мюона) и его свойствах, Фейнман подошел ко мне и сказал, что он верит в существование третьего лептона. Он спросил меня также, чем я сейчас занимаюсь. Я рассказал ему о проблеме сверхкритических ядер, которой мы занимались с Зельдовичем несколько лет назад и которую окончательно решили Яков Борисович и В. С. Попов из ИТЭФа. Фейнман заинтересовался этим, и мы проговорили с ним в холле ресторана после обеда до самого ужина. Он даже записал проблему Z > 137 на специальной карточке, которую вынул из своего портмоне. В ходе обсуждения он очень напомнил мне Дау. Я сказал ему об этом. «О, это для меня большой комплимент», — ответил он.
Фейнман очень ценил Ландау. Помню во времена моей аспирантуры разговоры о письме, которое Фейнман ему написал. В этом письме он признался, что, начав заниматься сверхтекучестью, не верил в некоторые результаты Ландау, но чем больше вникал в эту проблему, тем больше убеждался в правоте его интуиции. В связи с этим Фейнман спрашивал Ландау, что он думает по поводу ситуации в квантовой теории поля. Дау в своем ответе писал о нуль-заряде. Фейнман напомнил мне Ландау и по стилю своего поведения. Мне кажется, что у него, как и у Льва Давидовича, эпатаж был средством преодолеть природную застенчивость.
Я порадовался, узнав, что В. Л. Гинзбург также находил их сходство. Однако я совершенно не согласен с мнением Виталия Лазаревича, что Ландау не питал ни к кому теплых дружеских чувств. «Почему-то думаю, хотя в этом и не уверен, что Ландау вообще подобных чувств обычно не питал», — вспоминает Гинзбург [3]. Возможно, что Виталий Лазаревич ничего такого и не наблюдал. А вот его коллега и друг Е. Л. Фейнберг был тронут проявлением этих чувств со стороны Ландау к Румеру [3] и приводит слова Капицы: «Тем, кто знал Ландау близко, было известно, что за этой резкостью в суждениях, по существу, скрывался очень добрый и отзывчивый человек». А мог ли черствый человек, не питающий ни к кому теплых чувств, найти такие пронзительные слова для начала своей статьи: «С глубокой грустью я посылаю эту статью, написанную в честь шестидесятилетия Вольфганга Паули, в сборник, посвященный его памяти. Воспоминания о нем будут свято храниться теми, кому выпало счастье знать его лично». Многие не могли не заметить, с какой теплотой относился Ландау, например, к И. Я. Померанчуку, Н. Бору, которого он почитал как своего учителя, к другу молодости Р. Пайерлсу.

Сочувствие и поддержку Дау я ощущал в самые трудные моменты своей жизни: и когда работал в сельской школе, не имея возможности заниматься наукой, и когда не мог устроиться на работу, вернувшись в Москву, и позже, осенью 1961 г., когда от меня ушла жена, оставив мне по моей просьбе нашего трехлетнего сына. Дау, который всегда интересовался семейной жизнью своих друзей и учеников, был огорчен этим. Он спрашивал, как я справляюсь с ребенком. Я объяснил, что у сына есть няня, а возникшую ситуацию мы, согласно его же теории, решаем как интеллигентные люди. Но его это, по-видимому, не успокоило, и он начал проявлять ко мне особое внимание.
Обычно я старался приезжать в среду на семинар Капицы, чтобы на следующее утро присутствовать на теорсеминаре. Дау стал приглашать меня после семинара Капицы к себе поужинать. До этого я сравнительно редко бывал у него дома. Мы говорили о науке и о жизни. Помню, что Кора беспокоилась из-за того, что Капица хотел написать письмо Хрущеву в связи с тем, что Ландау не выпускают на международные конференции. «Он такое может написать, — говорила она. — Он же написал письмо Сталину с жалобой на Берию!». Дау спорил с ней и всячески хвалил Петра Леонидовича. В среду, 3 января 1962 г., Ю. Д. Прокошкин и я были приглашены сделать доклад на семинаре Капицы о направлении исследований, которое потом назвали «мезонная химия». Мы выступали вторыми. На первом часу выступал знаменитый Лайнус Полинг, дважды лауреат Нобелевской премии: по химии и за мир.
После семинара Капица, как обычно, пригласил докладчиков и ближайших сотрудников в свой кабинет на чай. Он занимал гостя разговорами о политике: о де Голле, о научных советниках Черчилля, о шведском короле и пр. В какой-то момент Дау встал из-за стола, подошел к двери и поманил меня пальцем. Мы вышли в приемную. «Ну, как у вас дела?» — спросил Дау. «Все в порядке, — ответил я, — приезжайте в Дубну. Сейчас там готовят несколько интересных экспериментов. Многим будет очень интересно поговорить с вами». «Ну, я тяжел на подъем и ленюсь», — сказал Дау. И мы вернулись в кабинет Петра Леонидовича.
Однако через день мне позвонила в Дубну моя сокурсница, жена моего друга, одного из самых талантливых молодых учеников Ландау — Владимира Васильевича Судакова: «Дау был в ТТЛ и заходил к нам, — сказала она. — Он говорил, что ты звал его в Дубну, и он решил поехать вместе с нами». Вначале они предполагали ехать на электричке, но потом Дау смутило, что я живу довольно далеко от станции, и они решили ехать на машине (не зная, что я собирался встретить их на станции на институтской машине). Я ждал их в воскресенье, 7 января, и даже, пользуясь советами моей соседки по коттеджу С.М. Шапиро, приготовил обед.
Около часа дня я начал беспокоиться. На улице было ветрено, мела поземка и был гололед. Я пошел в соседний коттедж к А. А. Логунову, у которого стоял прямой телефон в Москву, и позвонил домой Дау. Там было занято. Тогда я позвонил Абрикосову. Он ничего не знал. Мое волнение усиливалось, и я стал непрерывно набирать номер Дау. В какой-то момент он освободился, и Кора сказала: «Дау в больнице, при смерти. Я не могу говорить. Жду звонка» и повесила трубку. Я тотчас же сообщил это Абрикосову, понимая, что он предпримет все возможное, чтобы помочь Дау. Связавшись с Абрикосовым еще раз и узнав, что произошла автомобильная авария и Дау лежит в 50-й больнице, я помчался в Москву.
В больнице было уже несколько приглашенных высококвалифицированных врачей, которых нашел в воскресенье лечащий врач Дау (кажется, Кармазин). К счастью, Судаков знал номер его телефона и сообщил ему о катастрофе. Они оказали Дау срочную помощь. В приемной больницы я узнал о страшных травмах, полученных Дау. На следующее утро больницу заполнила необычно притихшая толпа физиков, узнавших о катастрофе. Приехали кремлевские врачи, которые первым делом начали писать протокол о несовместимости полученных травм с жизнью. О болезни Ландау и усилиях, предпринятых для его спасения, много написано. Я не буду касаться этого. Я помню единение физиков, вовлекшее многих людей, не знавших Дау. Это был момент истины, обнаруживший внутреннюю сущность различных людей.
Я хочу написать только о том, что увидел после того, как Ландау выписали из академической больницы. Летом его увезли на дачу в Мозжинку. Не зная о его состоянии, я поехал туда. За Дау ухаживала сестра Коры. Она рассказала, что Дау, осознав свое положение, приходит в отчаяние от того, что не сможет работать как раньше. Он не спит и говорит, что стал таким ничтожеством, что даже не может покончить с собой. Я невольно вспомнил строки одного из любимых Дау стихотворений Н. Гумилева: «И ни блеск ружья, и ни плеск волны эту цепь порвать ныне не вольны».

В дальнейшем жизнь Дау проходила в основном между домом и академической больницей. Люди, приходившие к нему, пытались рассказывать новости физики, не понимая, что он не может сосредоточиться, как раньше, и это доставляет ему мучение. Зато старые вещи он прекрасно помнил. Говорят, что у него пропала оперативная память. Но это не совсем верно. Оперативная память у него не пропала, как и не пропал юмор, несмотря на боли.
Как-то, вернувшись из путешествия по горам, я пришел навестить Дау в академическую больницу, не сбрив бороды, которую отпустил в горах. А Дау не любил людей с бородой: «Зачем свою глупость носить на лице». Увидев меня, он спросил: «Неужели, Сема, вы записались в кастраты?». «Что вы имеете в виду, Дау?». — «А то, что вы стали последователем Фиделя Кастро», — сказал он. Когда на следующий день, побрившись, я шел к нему, у калитки в больничный сад я столкнулся с Е. М. Лифшицем и В. Вайскопфом, которого Евгений Михайлович привел проведать Дау. Оказывается, Дау сказал им: «Вчера ко мне приходил Семен с отвратительной бородой. Я велел ему немедленно ее сбрить». Мы вместе порадовались тому, что у Дау есть и оперативная память.
Шло время, и многие из тех, кто самоотверженно спасал Льва Давидовича, стали забывать о нем. Как-то раз, навестив его в больнице, я застал его гуляющим по больничному двору вместе с Ираклием Андрониковым, который также был на излечении в больнице и с которым Ландау был дружен. Сзади за ними шла медсестра Таня. Она рассказала мне, что к Дау теперь почти никто не ходит и это его очень огорчает. Один Алеша (Абрикосов) регулярно появляется. Я пытался развлечь Дау разными смешными историями. Затем я допустил оплошность, рассказав, что теоретики Физпроблем хотят организовать специальный теоретический институт в Черноголовке. «Зачем? — сказал Дау. — Теоретики должны работать рядом с экспериментаторами». (Впоследствии я прочитал, что сам Ландау и Георгий Гамов пытались организовать институт теоретической физики. По-видимому, Дау не хотел выделения теоретиков из Института физпроблем, испытывая благодарность к Капице.)
Из больницы я сразу же пошел в Институт физпроблем и упрекнул друзей в том, что они не посещают больного. Типичный ответ: «Для меня невыносимо видеть учителя в таком состоянии». Я не мог понять этого: «А если бы, допустим, твой отец был в таком состоянии, ты тоже не мог бы его видеть?» Халатников упрекнул меня за то, что я рассказал Дау про Черноголовку: «Мы старались ему про это не говорить». Кстати, организованный учениками Ландау Институт теоретической физики стал одним из лучших мировых центров и заслуженно носит имя Ландау. По этому поводу я имел возможность как-то пошутить. Дело в том, что когда Халатников и Абрикосов «пробивали» через Дау одну из своих статей, он несколько раз заворачивал ее и, зайдя в нашу аспирантскую комнату, повторял: «После моей смерти Абрикос и Халат создадут всемирный центр патологии». Поэтому, когда Исаак Маркович сказал мне, что организаторам удалось назвать Институт именем Ландау, я ответил: «Дау много раз предсказывал, что вы с Алешей организуете такой центр, но чего он не додумал (хотя бы и мог), так это то, что назовут этот центр его именем!».
Приближалось шестидесятилетие Ландау. Озабоченный этим, я позвонил А. Б. Мигдалу, прекрасно проведшему празднование 50-летнего юбилея. «Не надо ничего устраивать, — сказал он, — Дау сейчас в плохом состоянии».

22 января 1968 г. Карен Аветович Тер-Мартиросян, Владимир Наумович Грибов и я встретились в Институте физпроблем и после некоторых колебаний решили зайти к Ландау домой, чтобы поздравить его с 60-летием. Он был один с Корой. Мне показалось, что он обрадовался нашему приходу. Мы долго сидели с ним и Корой за столом, пили чай с домашними пирожными и говорили на какие-то общие темы. Дау выглядел спокойным и грустным, изредка улыбался. Одна из последних его семейных фотографий, приведенных здесь, хорошо передает его облик. Заходил поздравить Дау А. К. Кикоин — его друг еще со времен работы в Харькове, брат И. К. Кикоина. Зашел величественный в своей генеральской шинели знаменитый медик и замечательный человек А. А. Вишневский, оказавший большую помощь в лечении Ландау. А мы все сидели и никак не могли уйти. Распрощались только часов в шесть, когда пришел Петр Леонидович Капица с женой Анной Алексеевной. Так встретил Лев Давидович свое шестидесятилетие.
Когда из Индии вернулся Халатников — директор Института Ландау, — то устроил в марте в ИФП празднование юбилея Ландау. Было много народа, присутствовали нобелевские лауреаты, в конференц-зале (а потом в кабинете Капицы) пел Александр Галич. Дау сидел с отрешенным видом, слабо улыбаясь поздравлявшим его.
Менее чем через месяц его не стало.
Литература
1. Феоктистов Л. П. Оружие, которое себя исчерпало. М., 1999.
2. История советского атомного проекта (ИСАП). М., 1997.
3. Воспоминания о Л. Д. Ландау. М., 1988.
4. Известия ЦК КПСС. 1991. №3.
5. Атомный проект СССР. Т. II. С. 529. М.; Саров, 2000.
6. Ранюк Ю. Н. Л. Д. Ландау и Л. М. Пятигорский // ВИЕТ. 1999. №4.
7. Горелик Г. Л. «Моя антисоветская деятельность» // Природа. 1991. №11.
8. Сонин А. С. Физический идеализм: История одной идеологической кампании. М., 1994.
9. Исторический архив. 1993. №3. С. 151–161.
1 Хорошим кратким обзором может служить книга А. А. Абрикосова «Академик Ландау» (М., 1965), а также статьи Е.М.Лифшица в «Собрании трудов Л. Д. Ландау» (М, 1969) и книге «Воспоминания о Л. Д. Ландау» (М, 1988).
2 Классический газ свободных носителей заряда не должен обладать диамагнетизмом.
3 Так называли электрические арифмометры.







