
Мухи традиционно считались малозначимыми опылителями. Однако в последнее время среди исследований экологии опыления растет понимание их важности. Японские экологи изучили эффективность опыления шмелями и мухами в связи с сезонной динамикой цветения в альпийских сообществах на острове Хоккайдо, где эти две группы насекомых являются практически единственными посетителями цветков. Результаты их работы подтвердили, что, несмотря на низкую эффективность посещений (для той же успешности завязывания плодов нужно в три раза больше мух, чем шмелей), они могут вносить значимый вклад в опыление за счет высокого обилия и большей стабильности их численности в течение сезона.
При упоминании насекомых-опылителей большинство неспециалистов, скорее всего, представят пчел и, возможно, бабочек — хотя питаться на цветах и участвовать в переносе пыльцы могут представители и многих других отрядов, среди которых стоит прежде всего упомянуть жуков и двукрылых (мух). Пчелы, про которых, однако, нужно думать в широком смысле — имея в виду все надсемейство Apoidea (сюда относятся медоносные пчелы, шмели, а также множество других общественных и одиночных видов), совершенно справедливо приходят на ум, поскольку они являются наиболее эффективными распространителями пыльцы. Но в последние годы среди экологов растет понимание важности двукрылых как опылителей. Долгое время эти насекомые считались малозначимыми, неспециализированными и неэффективными опылителями. В свое время известный специалист-антэколог Кэрол Энн Кирнс (Carol Ann Kearns) объяснила недооценку мух тем, что «двукрылые в основном маленькие, нехаризматичные и трудноопределимые» (C. A. Kearns, 2001. North American Dipteran Pollinators: Assessing Their Value and Conservation Status). Относительная роль двукрылых возрастает в более холодном климате — в высоких широтах или на больших высотах в горах. В этих условиях практически единственными насекомыми-опылителями остаются шмели и мухи.
Эффективность опыления двукрылыми, как считается, может возрастать за счет более частого посещения (они «берут не качеством, а количеством»), и из-за более стабильной численности в течение сезона. Дело в том, что активность шмелей (да и других общественных пчел) напрямую связана с ритмом жизни их колоний. В начале лета вылетают только относительно немногочисленные перезимовавшие самки, а в середине сезона активность шмелей резко возрастает за счет появления большого числа рабочих особей. В конце лета и начале осени их численность опять снижается — в это время растения посещаются в основном самками и самцами.
Юки Мидзунага (Yuki Mizunaga) и Гаку Кудо (Gaku Kudo) из Университета Хоккайдо изучили, как меняется эффективность опыления растений этими двумя группами насекомых на протяжении всего сезона активности. Работа велась на вулкане Асахи (рис. 1) в национальном парке Дайсецудзан, остров Хоккайдо. Наблюдения проводили на шести опытных площадках размеров 50×50 м. Одна из опытных площадок (О) находилась в высокогорной пустоши, лишенной снега большую часть зимы из-за сильных ветров, а остальные пять (А–Е) — в горной тундре на юго-восточном склоне, на высотах от 1790 до 1910 м над уровнем моря. Площадки были выбраны вдоль градиента высоты и, соответственно, градиента снеготаяния — среднее многолетнее время наступления этого события менялось с начала июня на площадке А до начала августа на площадке Е. Наблюдения, легшие в основу обсуждаемой работы, проводились в 2013 и 2014 годах — это позволило учесть межгодовую изменчивость, очень часто появляющуюся в экологии опыления.
Среди посетителей высокогорных цветов преобладали перепончатокрылые (36% в 2013 году и 24% в 2014 году, за редким исключением это были шмели) и мухи (61% в 2013 году и 72% в 2014 году, в основном — мухи-журчалки). Другие насекомые (бабочки, клопы и жуки) составили менее 5% посетителей. Исходя из такого (в общем-то, ожидаемого) состава антофильных («любящих цветы») насекомых, авторы остановили свое внимание на трех группах: шмелях, мухах-журчалках и мухах, не относящихся к журчалкам.
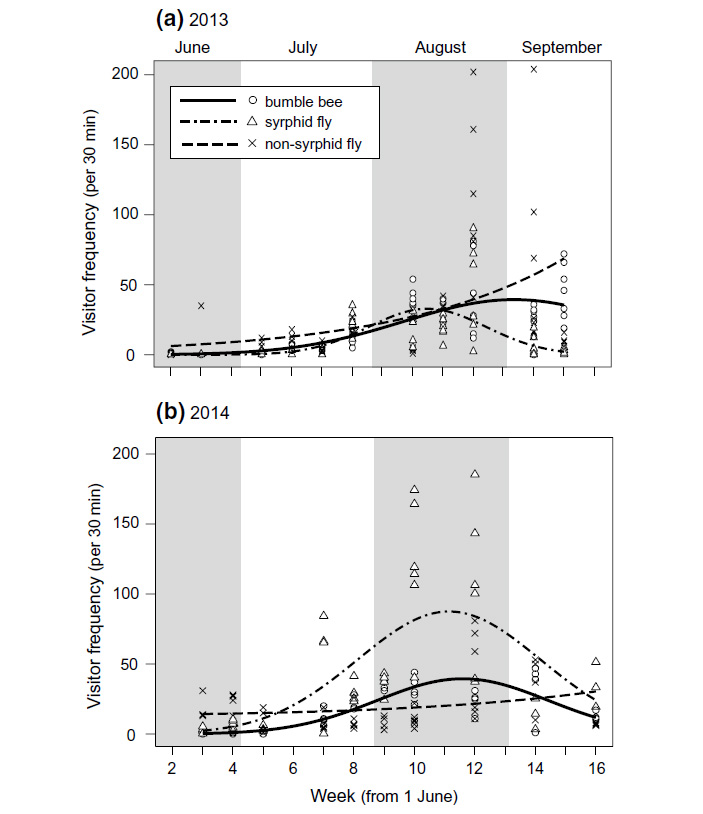
Как и ожидалось, динамика активности насекомых была разной у разных групп: у всех был заметен общий тренд на возрастание активности в течение сезона, однако у шмелей и журчалок также статистически значим оказался пик во второй половине лета (то есть после этого их активность несколько снижалась, хотя и не до таких значений, как в начале сезона), причем у шмелей этот пик был позже (рис. 2). Также оказалось, что у журчалок активность снижалась при уменьшении температуры и сильном ветре — для двух других групп эффекты этих погодных факторов оказались незначимы. Правда, авторы не проводили исследований в дождь, туман и при очень сильном ветре, — то есть могли оценить чувствительность насекомых к погоде только в относительно благоприятных условиях.

Рис. 2. Сезонная динамика посещения цветков (количество раз за 30 минут) шмелями (сплошная линия), мухами-журчалками (штрих-пунктирная линия) и другими мухами (штриховая линия) в 2013 и 2014 годах. По горизонтальной оси — время (в неделях с 1 июня). Рисунок из обсуждаемой статьи в Oecologia
Параллельно с наблюдениями за активностью насекомых исследователи учитывали и доступные им цветочные ресурсы — для этого каждую неделю считали цветущие виды и число открытых цветков на десяти участках 2×2 м внутри каждой из опытных площадок. Так как у зонтичных и сложноцветных отдельные цветки очень малы, а функцию привлечения опылителей играют соцветия, то у этих растений учитывали, соответственно, зонтички и корзинки. В учеты попали 48 видов растений, среди которых выделили мелиттофильные (опыляемые пчелами, таковых было 11 видов), мийофильные (опыляемые мухами, 19 видов) и генералисты (опыляемые пчелами и мухами, 18 видов). Разделение было произведено на основе многолетних данных о том, какая группа насекомых составляла более 70% посетителей этих растений.
Период цветения на уровне всего сообщества был длиннее в 2013 году — с начала июня по конец сентября, в то время как в 2014 году большинство растений отцвело уже к началу сентября. При этом в 2013 году наибольшее число открытых цветов наблюдалось в конце августа–начале сентября, а в 2014 году — в июле (рис. 3). Такой сдвиг цветения авторы связывают с более ранним снеготаянием в 2014 году. Сезонная динамика цветения различалась между годами и для мелиттофильных растений: два отчетливых пика в 2013 году — и постоянно низкое обилие в 2014 году. Это было связано с тем, что в этом году зацвело очень мало альпийской толокнянки (раннецветущий вид высокогорной пустоши), а также — голубой и алеутской филлодоце (позднецветущие виды горной тундры). У мийофильных растений динамика не различалась между годами и их обилие было относительно низким. Интересно, что в 2014 году, «неудачном» для мелиттофильных видов, их динамика цветения не отличалась от динамики мийофильных видов. Авторы заключают, что межгодовые различия в цветочных ресурсах вызываются колебаниями в продукции именно «пчелиных» растений. Возможная причина этого в том, что почти все «пчелиные» растения относятся к одному семейству вересковых, «мушиные» же более разнообразны и поэтому как группа менее склонны одинаково реагировать на изменение внешних условий.

Рис. 3. Сезонная динамика доступных насекомым цветочных ресурсов, выраженных как число открытых цветков или соцветий на квадрате 2×2 м для всех растений (вверху), а также растений, преимущественно опыляемых шмелями (в середине) и мухами (внизу) в 2013 и 2014 годах. Рисунок из обсуждаемой статьи в Oecologia
Наконец, исследователи оценили и эффективность опыления, для чего измерили завязываемость плодов (отношение числа плодов к числу цветков). На второй год наблюдений эффективность опыления была выше. В оба года в среднем успешнее завязывали плоды позднее цветущие растения, при этом у опыляемых шмелями (а также шмелями и мухами) растений эта зависимость была выражена сильнее, чем у опыляемых мухами (рис. 4). Этот результат хорошо согласуется с наблюдаемой сезонной динамикой активности этих насекомых.

Рис. 4. Зависимость завязываемости плодов от срока цветения (учитывался порядковый номер недели, начиная от 1 июня, в которую для данной популяции наблюдалось наибольшее число открытых цветков или соцветий) для мелиттофильных (сплошная линия), генералистов (штрих-пунктирная линия) и мийофильных (штриховая линия) растений в 2013 и 2014 годах. Рисунок из обсуждаемой статьи в Oecologia
Пожалуй, наиболее интересные результаты получились при выявлении влияния активности опылителей на завязываемость плодов. Для этого авторы сопоставили обилие насекомых во время пика цветения и завязываемость плодов — отдельно для шмелей и мелиттофильных растений, отдельно для всех мух и мийофильных растений. В обоих случаях с увеличением посещаемости росла и успешность опыления, но характер зависимости был разный (рис. 5). Если у мийофильных растений это увеличение было постепенным на всем диапазоне значений, то у мелиттофильных завязываемость плодов вначале резко увеличивалась, а где-то после 40 посещений в час выходила на плато — чтобы добиться такой же эффективности опыления мухами, судя по графику, требуется в три раза больше посещений. Это еще раз подтверждает большую эффективность шмелей по сравнению с мухами: если первые довольно быстро достигали предела, опыляя всё, что можно, то мухи даже при самой высокой активности не насыщали популяцию растений пыльцой. Возможно, предполагают авторы, у растений-генералистов репродуктивный успех зависит больше от нескольких посещений шмелями, чем от многих посещений мухами.

Рис. 5. Зависимость завязываемости плодов от активности опылителей для шмелей и мелиттофильных растений (а) и для мух и мийофильных растений (b). Белые круги и сплошная линия — 2013 год, черные круги и штриховая линия — 2014 год. Рисунок из обсуждаемой статьи в Oecologia
Это исследование демонстрирует существенные различия между опылением шмелями и мухами (напомним, что в условиях альпийских сообществ они оказываются главными опылителями), которые не сводятся к традиционно оцениваемым эффективности одного посещения и общего обилия. Для более подробного изучения функционирования взаимоотношений опылителей и растений стоит учитывать и особенности их фенологии. В частности, обсуждаемая работа японских экологов позволяет предположить, что преимущество мух как опылителей — не только в большем обилии, но и в большей стабильности их численности внутри сезона, что находит отражение и в паттерне цветения опыляемых растений.
Источник: Yuki Mizunaga, Gaku Kudo. A linkage between flowering phenology and fruit-set success of alpine plant communities with reference to the seasonality and pollination effectiveness of bees and flies // Oecologia. 2017. V. 185. P. 453–464. DOI: 10.1007/s00442-017-3946-9.
Сергей Лысенков




Рис. 1. Вид на вулкан Асахи, на склонах которого проводилось исследование. Сейчас вулкан не активен (последнее извержение было в 1739 году), но на его склонах продолжается выделение горячих газов из недр. Фото с сайта ja.wikipedia.org