
Лауреатами Нобелевской премии по химии 2016 года стали Жан-Пьер Соваж из Страсбургского университета (Франция), Фрейзер Стоддарт из Северо-Западного университета (США) и Бернард Феринга из Гронингенского университета (Голландия). Престижный приз был выдан «за дизайн и синтез молекулярных машин» — отдельных молекул или молекулярных комплексов, которые могут совершать определенные движения при подаче энергии извне. Дальнейшее развитие этой области сулит прорывы во многих областях науки и медицины.
Нобелевский комитет регулярно отмечает работы, в которых, помимо научной ценности, есть еще некоторая дополнительная изюминка. Так, например, в открытии графена Геймом и Новосёловым (см. Нобелевская премия по физике — 2010, «Элементы», 11.10.2010), помимо самого открытия и его использования для наблюдения квантового эффекта Холла при комнатной температуре, были замечательные технические подробности: отслаивание слоев графита простым скотчем. У Шехтмана, открывшего квазикристаллы, была история научного противостояния с другим уважаемым нобелиатом — Полингом, заявлявшим, что «нет никаких квазикристаллов, а есть квазиученые».
В области молекулярных машин, на первый взгляд, никакой подобной изюминки нет, если исключить тот факт, что один из лауреатов, Стоддарт, имеет рыцарское звание (он такой не первый). Но на самом деле важная особенность всё же есть. Синтез молекулярных машин — это чуть ли не единственная область в академической органической химии, которую можно назвать чистой инженерией на молекулярном уровне, где люди делают дизайн молекулы с нуля и не успокаиваются, пока ее не получат. В природе подобные молекулы, конечно, есть (так устроены некоторые белки органических клеток — миозин, кинезины — или, например, рибосомы), но до такого уровня сложности людям еще далеко. Поэтому пока молекулярные машины — плод человеческого разума от начала и до конца, без попыток подражать природе или объяснять наблюдаемые природные явления.
Итак, речь идет о молекулах, в которых одна часть способна двигаться относительно другой контролируемым образом — как правило, используя отчасти внешние воздействия и тепло для перемещения. Для создания таких молекул Соваж, Стоддард и Феринга придумали разные принципы.

Рис. 1. Катенан, состоящий из двух колец,и иона меди, который принимает или отдает электрон. Медь с зарядом +1 (Cu+) «предпочитает» связываться с меньшим количеством атомов азота, чем медь с зарядом +2 (Cu2+). На одном из колец есть два разных региона — в одном лиганд с двумя атомами азота, а в другом — с тремя. Так, при окислении/восстановлении меди кольцо, вращаясь, будет цепляться к ней соответствующим регионом. Вращение может идти в обе стороны. Изображение с сайта nobelprize.org
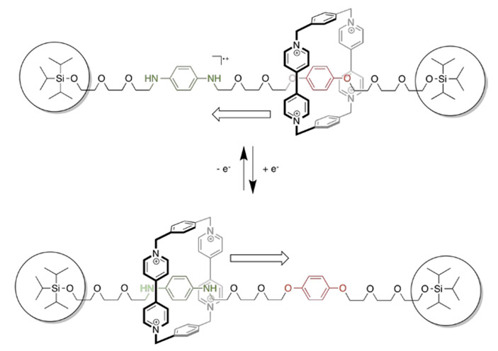
Соваж и Стоддард делали механически сцепленные молекулы: катенаны — два и более сцепленных молекулярных кольца, вращающихся друг относительно друга (рис. 1), и ротаксаны — составные молекулы из двух частей, в которых одна часть (кольцо) может двигаться вдоль другой (прямая основа), имеющей объемные группы (стопперы) по краям, чтобы кольцо «не слетало» (рис. 2).

Рис. 2. Ротаксан («молекулярный поршень»), состоящий из прямой молекулы и положительно заряженного кольца, которое не может соскочить с прямой молекулы из-за объемных кремниевых групп на концах. В прямую молекулу встроены два бензольных кольца: одно между двумя атомами азота, а другое между двумя атомами кислорода. Атомы азота легко окисляются (отдают электрон), тем самым образуя положительно заряженную молекулу. Атомы кислорода так не могут, однако, благодаря своей высокой электроотрицательности, стягивают электронную плотность с бензольного кольца в большей степени, чем нейтральные атомы азота. Положительно заряженное кольцо будет отталкиваться от более положительно заряженного региона на прямой молекуле. Так, когда прямая молекула окислена (сверху) кольцо сдвинется в сторону бензола с атомами кислорода, а когда прямая молекула нейтральна (снизу) — кольцу будет «комфортнее» на бензоле с атомами азота. Изображение с сайта nobelprize.org
С использованием вышеизложенной концепции были созданы «молекулярный лифт», «молекулярные мышцы», различные молекулярные топологические структуры, представляющие теоретический интерес, и даже искусственная рибосома, способная очень медленно синтезировать короткие белки.
Подход Феринги был принципиально другой и очень элегантный (рис. 3). В молекулярном моторе Феринги крутящиеся друг относительно друга части молекулы сцеплены не механически, а самой настоящей ковалентной связью — двойной связью углерод-углерод. Вращение групп вокруг двойной связи без внешнего воздействия невозможно. Таким воздействием может быть облучение ультрафиолетом: образно выражаясь, ультрафиолет селективно рвет одну связь в двойной, разрешая вращение на долю секунды. При этом во всех положениях молекула Феринги структурно напряжена и двойная связь удлинена. Молекула при повороте следует наименьшему сопротивлению, пытаясь найти положение с наименьшим напряжением. Это ей сделать не удается, но зато на каждом этапе она поворачивается почти исключительно в одну сторону.

Рис. 3. Принцип работы молекулярного мотора Феринги. При УФ-облучении каждый раз происходит поворот на 180°, в результате которого двойная связь восстанавливается и получается еще более напряженная молекула. Чтобы сбросить напряжение, молекула вращается еще немного, используя тепловую энергию, и таким образом оставляет только один путь вращения при дальнейшем облучении. Изображение с сайта nobelprize.org
Подобный мотор с небольшими модификациями, как показали в 2014 году, способен делать примерно 12 миллионов оборотов в секунду (J. Vachon et al., 2014. An ultrafast surface-bound photo-active molecular motor). Наиболее красивое использование мотора Феринги было продемонстрировано в «наномашине» на золотой подложке (рис. 4). Четыре мотора, привязанные на манер колес к длинной молекуле, вращаются в одну сторону, и «машина» едет вперед.

Рис. 4. Наномашина на золотой поверхности. Изображение с сайта cen.acs.org
В данный момент идет разработка молекулярного мотора, который можно активировать видимым светом вместо УФ. С помощью такого мотора будет возможно преобразовывать солнечную энергию в механическую совершенно беспрецедентным способом — минуя электричество.
В самой свежей своей работе, опубликованной в журнале Американского химического общества (JACS), Феринга показал дизайн мотора, скорость вращения которого можно контролировать химическим воздействием, как показано на рис. 5. При добавлении молекулы-эффектора (дихлорида металла — цинка Zn, палладия Pd или платины Pt) к молекулярному мотору, последний меняет конформацию, что облегчает вращение. Измерения показали, что при 20°C из трех проверенных эффекторов мотор быстрее всего вращается с платиной (с частотой 0,13 Hz), чуть медленнее — с палладием (0,035 Hz) и еще медленнее — с цинком (0,009 Hz). Максимальная скорость мотора без эффектора — 0,0041 Hz. Наблюдаемое явление было подтверждено квантово-механическими расчетами структур мотора с эффекторами и без. Из расчетов видно, как меняется конформация и насколько облегчается вращение.

Рис. 5. Ускорение вращения молекулярного мотора (молекула L1) путем химической модификации — привязывания молекулы-эффектора, в роли которой выступает дихлорид металла MCl2, где М = Zn (цинк), Pd (палладий) или Pt (платина). Мотор обладает группой с двумя атомами азота, способными связываться с металлом. При добавлении эффектора к молекулярному мотору, последний меняет конформацию, что облегчает вращение. Эффектор можно удалять с мотора путем добавления в раствор других молекул, которые будут связываться с эффектором сильнее, чем мотор. Изображение из статьи A. Faulkner et al., 2016. Allosteric Regulation of the Rotational Speed in a Light-Driven Molecular Motor
В заключение стоит сказать, что молекулярные моторы пока не нашли применения в повседневной жизни, но почти наверняка это дело времени и уже в ближайшем будущем мы увидим их активное использование.
Источники:
1) The Nobel Prize in Chemistry 2016 — официальное сообщение Нобелевского комитета.
2) Molecular Machines — подробный обзор работ лауреатов, подготовленный Нобелевским комитетом.
3) Adele Faulkner, Thomas van Leeuwen, Ben L. Feringa, and Sander J. Wezenberg. Allosteric Regulation of the Rotational Speed in a Light-Driven Molecular Motor // Journal of the American Chemical Society. September 26, 2016. V. 138 (41). P. 13597–13603. DOI: 10.1021/jacs.6b06467.
Григорий Молев




Лауреаты Нобелевской премии по химии 2016 года: Жан-Пьер Соваж (Jean-Pierre Sauvage), Фрейзер Стоддарт (J. Fraser Stoddart) и Бернард Феринга (Bernard L. Feringa). Изображение с сайта cen.acs.org