
Эмоционально насыщенные переживания способствуют закреплению воспоминаний о незначительных предшествующих событиях и стимулах, которые без этих переживаний были бы забыты. Американские ученые показали, что такое ретроспективное закрепление воспоминаний является избирательным. Запоминаются не все детали недавнего опыта, а лишь связанные по смыслу с обстоятельствами последующего эмоционального переживания. Полученные результаты согласуются с гипотезой «синаптических меток», предложенной в 1997 году для объяснения фундаментальных механизмов памяти.
За последние 20–30 лет нейробиологи добились потрясающих успехов в расшифровке механизмов памяти (см. ссылки в конце новости). Впрочем, и нерешенных вопросов осталось много. Одной из актуальных задач является проверка гипотезы «синаптических меток» (см. Synaptic tagging), предложенной в 1997 году Фреем и Моррисом (U. Frey & R. G. M. Morris, 1997. Synaptic tagging and long-term potentiation). Гипотеза объясняет механизм формирования долговременной памяти (см. Долговременная потенциация). Говоря упрощенно, память — это усиление или ослабление определенных синаптических контактов между нейронами (см. Синаптическая пластичность). Кратковременная память основана на преходящих изменениях силы синапса (Synaptic strength), возникающих при его непродолжительном возбуждении и не требующих синтеза белка. Такие изменения могут быть связаны, например, с фосфорилированием уже имеющихся белков и с изменением их конформации. Для закрепления (консолидации) эфемерного воспоминания необходимо устойчивое изменение силы синапса. Для этого в нервном окончании (дендритном шипике или аксонной терминали) должны синтезироваться новые белки. Производство этих белков запускается при достаточно сильном и длительном возбуждении нейрона.
Проблема тут в том, что мРНК, необходимые для синтеза белков, производятся в ядре нейрона, а окончаний и синапсов у каждой нервной клетки могут быть тысячи. Откуда мРНК (или синтезированные на их основе белки) «знают», в какой именно из сотен дендритных шипиков им нужно направиться, чтобы обеспечить долговременную потенциацию? Фрей и Моррис предположили, что в синапсах с временно повышенной проводимостью образуются некие биохимические «метки» (tags), причем производство новых белков для этого не требуется. Эти метки, сохраняющиеся не более 2–3 часов, помогают захватывать нужные мРНК (если нейрон начнет их производить в течение указанного срока) и использовать для синтеза белка в данном дендритном шипике. В результате постсинаптические мембраны, расположенные на этом шипике, претерпевают долговременную потенциацию: воспоминание из эфемерного становится устойчивым.
Из гипотезы синаптических меток следует ряд проверяемых следствий. Например, из нее следует, что если у нейрона есть «помеченные» синапсы, то долговременная потенциация в этих синапсах может сформироваться не только в ответ на повторную передачу сигнала через те же самые синапсы, но и в ответ на сигналы, принимаемые нейроном через другие синапсы. Иными словами, преходящие воспоминания о каких-нибудь несущественных событиях, которые в норме были бы вскоре забыты, могут быть вписаны в долговременную память, если в течение двух-трех часов после этих событий соответствующие нейроны сильно возбудятся по любому другому поводу.
Косвенные подтверждения этого предсказания были получены в поведенческих экспериментах на крысах. Оказалось, что если крыс немного поучить чему-то одному, а спустя недолгое время интенсивно поучить чему-то другому, но обязательно новому для крысы, то и первый навык, который в обычной ситуации был бы забыт, сохраняется надолго. Это явление назвали «поведенческим мечением» (behavioral tagging: см. F. Ballarini et al., 2009. Behavioral tagging is a general mechanism of long-term memory formation). Кроме того, известно, что сильные эмоции у людей иногда способствуют запоминанию множества мелких и, казалось бы, незначительных событий и подробностей обстановки, воспринятых незадолго до сильного переживания. Это может быть следствием механизма «синаптических меток». Впрочем, существование у людей «поведенческого мечения» до сих пор не считалось строго доказанным.
Новое исследование нейробиологов из Нью-Йоркского университета и из Института психиатрических исследований имени Натана Кляйна, результаты которого опубликованы на сайте журнала Nature, добавило к имеющейся картине ряд существенных деталей. Во-первых, авторы убедительно показали, что «поведенческое мечение» характерно не только для крыс, но и для людей. Во-вторых (и это главное), они продемонстрировали избирательность ретроактивного (направленного из настоящего в прошлое) закрепления памяти о недавних событиях последующими переживаниями. Из гипотезы синаптических меток следует, что закреплению воспоминаний должно способствовать последующее возбуждение не любых нейронов, а именно тех, у которых есть помеченные синапсы. Соответственно, можно ожидать, что последующее переживание должно закреплять память не о чем попало, а только о том, что так или иначе ассоциируется с этим переживанием (и поэтому вызывает возбуждение тех же популяций нейронов).
В эксперименте приняли участие 119 добровольцев. Каждый из них сначала выполнил три задания (рис. 1), а потом прошел тест на память. Первое задание состояло в том, что человеку показывали в случайном порядке изображения животных и инструментов (по 30 тех и других), а он должен был разделить картинки на две тематические группы. Испытуемые не знали, что предметом изучения является память; запоминать картинки их никто не просил. Инструменты и животные были выбраны по той причине, что, как показали предыдущие исследования, в обработке информации, относящейся к этим двум категориям, задействованы разные участки коры. Некоторые группы нейронов в затылочно-височной области возбуждаются при виде инструментов или воспоминаниях о них, но не реагируют на демонстрацию животных, и наоборот. Соответственно, можно ожидать, что переживания, связанные с животными, будут взаимодействовать с синаптическими метками, связанными с ними же, но не с инструментами.
Затем демонстрировалась другая серия из 60 изображений орудий и животных. На этот раз к испытуемому присоединяли электроды и с вероятностью 2/3 легонько били его током, когда появлялось изображение одной из двух категорий. «Задание» теперь состояло в том, чтобы предугадать удар током, но это было лишь для отвода глаз. На самом деле авторы проводили выработку классического (павловского) условного рефлекса страха (fear conditioning), приучая одних испытуемых волноваться при виде картинок с животными, а других — при виде картинок с инструментами. Рефлексы у испытуемых действительно выработались. Это было подтверждено измерениями электропроводности кожи: она увеличивалась у «обученных» испытуемых при виде картинок той категории, с которой у них ассоциировалось ожидание удара током (conditioned stimulus, CS+), но не той, которая была для них безопасна (CS–). Наконец, третье задание, выполнявшееся сразу после первых двух (интервалы между заданиями не превышали 5 минут), было повторением первого. Все картинки опять были новые, не использовавшиеся в первых двух заданиях.
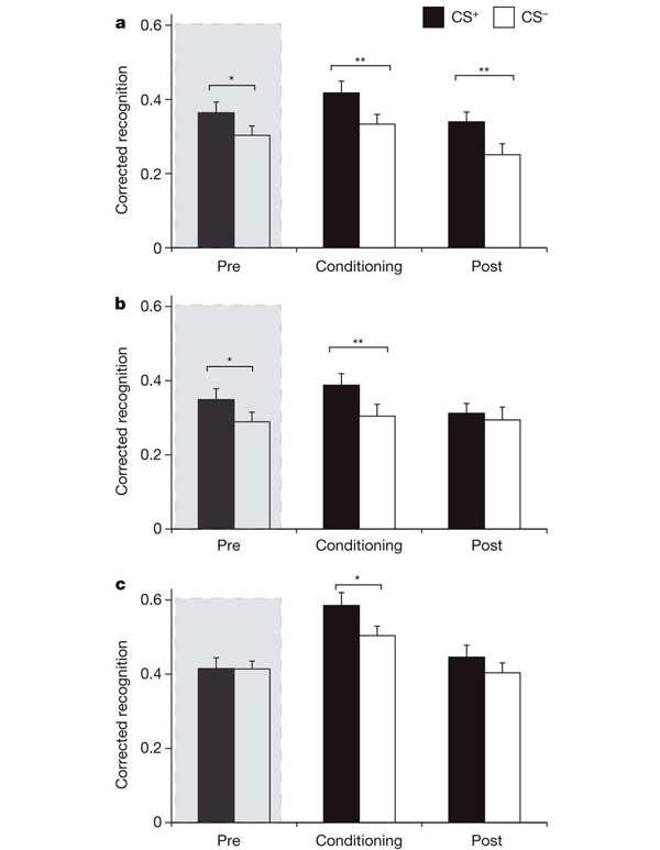
Затем авторы проверяли, сколько картинок запомнил каждый участник. Напомним, что тест на запоминание был неожиданностью для испытуемых: их не предупреждали, что запоминание картинок имеет значение. Участников случайным образом поделили на три группы. Первую группу тестировали сразу после третьего задания, вторую — в тот же день через 6 часов, третью — через 24 часа. Результаты показаны на рис. 2.

Рис. 2. Запоминание испытуемыми картинок в зависимости от категории картинки (черные столбики — категория, на которую был выработан условный рефлекс страха), фазы тестирования, на которой испытуемый видел картинку (Pre — первое задание, проводившееся до опытов с ударами током, Conditioning — второе задание, когда картинки одной из категорий сопровождались неприятными ощущениями, Post — третье задание, проводившееся последним и по своему дизайну повторявшее первое), и времени, прошедшего между выполнением заданий и проверкой памяти (a — 24 часа, b — 6 часов, c — 0 часов). Рисунок из обсуждаемой статьи в Nature
Картинки «опасной» категории CS+, показанные в ходе выполнения второго задания (с ударами током), запомнились лучше, чем «безопасные» картинки CS–. Этот эффект был одинаково хорошо выражен сразу после обучения, через 6 часов и через 24 часа (средние пары столбиков на рис. 2 a–c). Данный результат был ожидаемым: понятно, что стимулы, непосредственно сопровождающиеся неприятными переживаниями, должны запоминаться лучше.
Самый интересный результат касается запоминания картинок, демонстрировавшихся в первой фазе эксперимента, то есть до того, как одна из двух категорий картинок оказалась связана с ударами током. На кратковременную память последующие переживания не повлияли (левые два столбика на рис. 2, c имеют одинаковую высоту). Однако они оказали ретроактивное действие на долговременное запоминание предшествующего опыта: через 6 часов и через 24 часа после «обучения» испытуемые опознали больше картинок категории CS+, показанных при выполнении первого задания, чем картинок CS–.
Проактивное (направленное из прошлого в будущее) влияние эмоционального опыта на запоминание последующих стимулов проявилось только через 24 часа (высота двух правых столбиков достоверно различается только на рис. 2, a, но не на двух нижних диаграммах). Возможно, это означает, что для ретроактивной консолидации памяти нужно время, но не нужен сон, а для проактивной сон обязательно нужен. Авторы допускают, что данный результат может указывать на принципиальное различие механизмов ретроактивной и проактивной консолидации воспоминаний под действием эмоционального опыта. Хотя, конечно, оснований для такого предположения пока не очень много: ведь различия между двумя правыми столбиками на рис. 2, b и c лишь немного не дотягивают до статистической значимости.
Из гипотезы синаптических меток также следует, что ретроактивное усиление воспоминаний последующими переживаниями должно проявляться только в том случае, если изначально впечатления были слабыми — достаточными для записи в кратковременную, но не в долговременную память. Авторы проверили это, проведя еще одну серию экспериментов с дополнительной группой добровольцев. На этот раз при выполнении первого задания испытуемым показывали каждую картинку трижды. Идея была в том, что тройная демонстрация должна обеспечить формирование долговременной памяти и без помощи ретроактивного влияния последующего эмоционального опыта. Действительно, в этом случае ретроактивного избирательного усиления воспоминаний не произошло.
Полученные результаты хорошо согласуются с гипотезой синаптических меток, хотя и не являются ее окончательным доказательством. Впрочем, они интересны и сами по себе, вне связи с этой гипотезой. Авторы подчеркивают, что продемонстрированная ими избирательная ретроактивная консолидация памяти имеет ярко выраженный адаптивный характер: попросту говоря, такой способ обработки информации полезен для выживания. Люди и другие животные постоянно сталкиваются с огромным количеством всевозможных стимулов: зрительных, обонятельных, слуховых и прочих. Большинство из них не несет важной информации, поэтому записывать в долговременную память всё подряд было бы неоправданной тратой нейронных ресурсов. С другой стороны, сразу забывать всё, что показалось несущественным, — тоже не очень разумно. Вдруг какая-то деталь, которой мы поначалу не придали значения, на самом деле важна, и ее следует получше запомнить, чтобы в дальнейшем точнее прогнозировать ситуацию, повышая свои шансы на выживание? Полезно какое-то время подержать все детали текущего опыта в памяти, а уже потом, если не случится чего-то особенного, спокойно их забыть. Но если произойдет что-то действительно важное, вызывающие сильные эмоции, то все недавние впечатления, так или иначе связанные с этим важным событием, очевидно, заслуживают помещения в долговременную память.
Таким образом, обнаруженное явление можно интерпретировать по-разному. С одной стороны, оно может быть специфической адаптацией, предназначенной для оптимизации отбора воспоминаний, отправляемых на долгое хранение. С другой стороны, оно, возможно, является неизбежным побочным эффектом фундаментального механизма формирования долговременной памяти, раз и навсегда вмонтированного в структуру нервной клетки. В какой мере эти интерпретации (или их сочетание) соответствуют действительности, покажут дальнейшие исследования.
Источник: Joseph E. Dunsmoor, Vishnu P. Murty, Lila Davachi & Elizabeth A. Phelps. Emotional learning selectively and retroactively strengthens memories for related events // Nature. Published online 21 January 2015.
См. также об изучении механизмов памяти:
1) Какой же вклад протеинкиназа M-дзета вносит в формирование памяти?, «Элементы», 12.02.2013.
2) Раскрыты молекулярные основы долговременной памяти, «Элементы», 12.03.2012.
3) Нейроны получают эпигенетические метки при формировании ассоциативной памяти, «Элементы», 03.03.2011.
4) Формирование воспоминаний теперь можно увидеть под микроскопом, «Элементы», 01.12.2009.
5) Мозг во сне «проигрывает» дневные события с семикратным ускорением, «Элементы», 19.11.2007.
6) Нейроны соревнуются за право участия в формировании рефлексов, «Элементы», 26.04.2007.
7) Во время фазы медленного сна активно закрепляются новые знания, «Элементы», 21.03.2007.
8) Сергей Саложин. Синаптическая пластичность. 7 фактов о способности связей между нейронами к изменениям.
9) Борис Жуков. Неуловимая энграмма — популярная статья о биологических механизмах памяти.




Рис. 1. Схема эксперимента. В первой фазе обучения (Pre-conditioning) испытуемому показывают в случайном порядке изображения животных и инструментов. Испытуемый должен сортировать картинки по этим двум категориям. Во второй фазе (Pavlovian conditioning) при демонстрации картинок одной из категорий (либо животных, либо инструментов) испытуемый получает слабый удар током. Третья фаза (Post-conditioning) повторяет первую. Наборы картинок каждый раз используются разные. Рисунок из обсуждаемой статьи в Nature